Calculated Maximal Volume Ventilation (cMVV) as a Marker of Early Respiratory Failure in Amyotrophic Lateral Sclerosis (ALS)
Abstract
1. Introduction
2. Materials and Methods
2.1. Descriptive Statistics
2.2. Calculated MVV Definition
2.3. Statistical Analysis
3. Results
3.1. Descriptive Statistics
3.2. Correlations with PFTs, ABGs, ALSFRS-R and Other Clinical Features
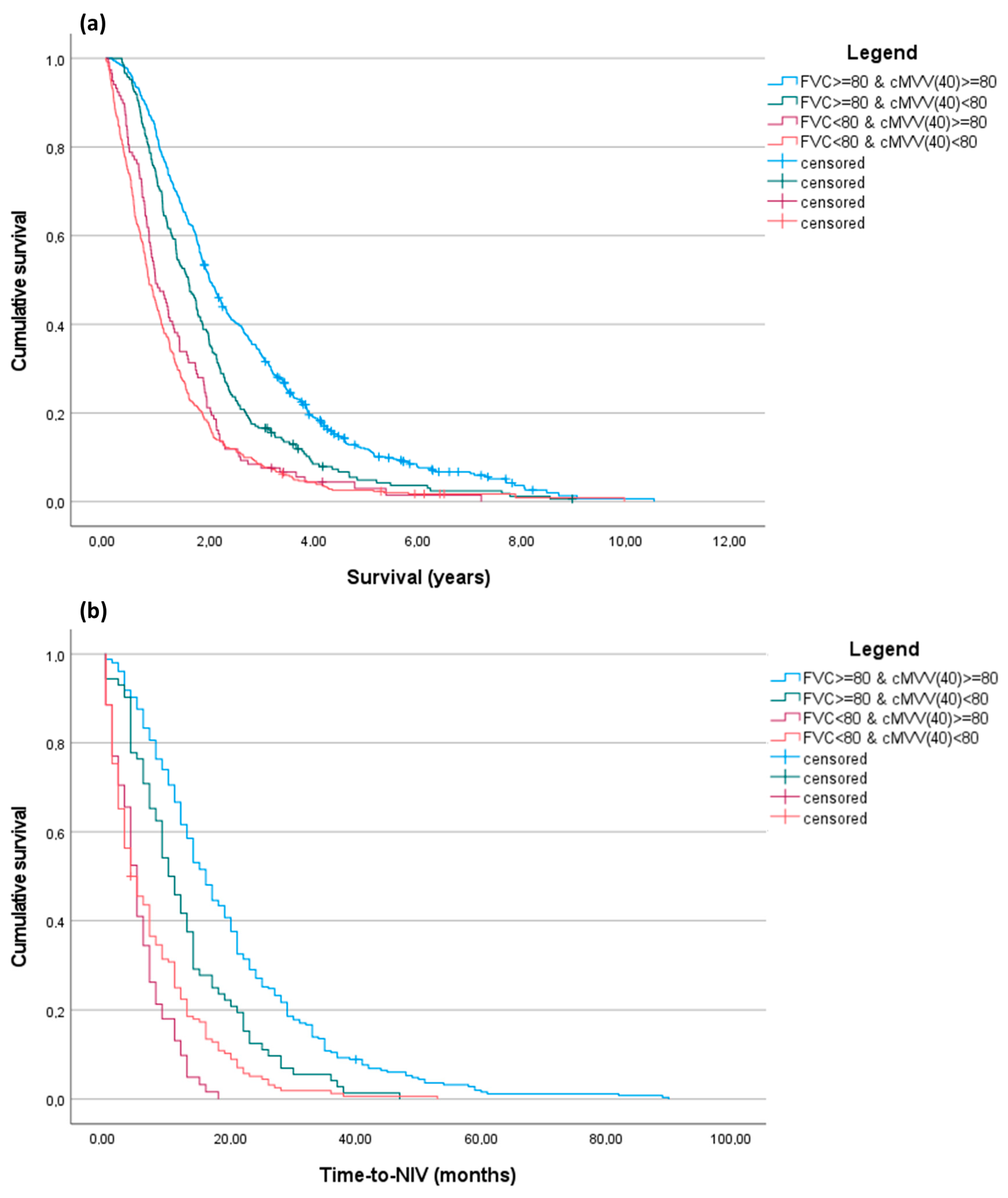
3.3. Time-to-Event and ROC Analysis: Overall Survival and Time-to-NIV
4. Discussion
5. Conclusions
Supplementary Materials
Author Contributions
Funding
Institutional Review Board Statement
Informed Consent Statement
Data Availability Statement
Acknowledgments
Conflicts of Interest
References
- Hardiman, O.; Al-Chalabi, A.; Chio, A.; Corr, E.M.; Logroscino, G.; Robberecht, W.; Shaw, P.J.; Simmons, Z.; van den Berg, L.H. Amyotrophic Lateral Sclerosis. Nat. Rev. Dis. Primers 2017, 3, 17071. [Google Scholar] [CrossRef]
- Manera, U.; D’Ovidio, F.; Sara, C.; Torrieri, M.C.; Canosa, A.; Vasta, R.; Palumbo, F.; Grassano, M.; De Marchi, F.; Mazzini, L.; et al. Amyotrophic Lateral Sclerosis Regional Progression Intervals Change According to Time of Involvement of Different Body Regions. Eur. J. Neurol. 2023, 30, 872–880. [Google Scholar] [CrossRef] [PubMed]
- Chiò, A.; Mora, G.; Moglia, C.; Manera, U.; Canosa, A.; Cammarosano, S.; Ilardi, A.; Bertuzzo, D.; Bersano, E.; Cugnasco, P.; et al. Secular Trends of Amyotrophic Lateral Sclerosis. JAMA Neurol. 2017, 74, 1097. [Google Scholar] [CrossRef] [PubMed]
- Pinto, S.; Oliveira Santos, M.; Gromicho, M.; Swash, M.; de Carvalho, M. Respiratory Phenotypes in Amyotrophic Lateral Sclerosis as Determined by Respiratory Questions on the Amyotrophic Lateral Sclerosis Functional Rating Scale–Revised and Their Relation to Respiratory Tests. Eur. J. Neurol. 2023, 30, 1594–1599. [Google Scholar] [CrossRef] [PubMed]
- Miller, R.G.; Jackson, C.E.; Kasarskis, E.J.; England, J.D.; Forshew, D.; Johnston, W.; Kalra, S.; Katz, J.S.; Mitsumoto, H.; Rosenfeld, J.; et al. Practice Parameter Update: The Care of the Patient with Amyotrophic Lateral Sclerosis: Drug, Nutritional, and Respiratory Therapies (an Evidence-Based Review): Report of the Quality Standards Subcommittee of the American Academy of Neurology. Neurology 2009, 73, 1218–1226. [Google Scholar] [CrossRef] [PubMed]
- Andersen, P.M.; Abrahams, S.; Borasio, G.D.; de Carvalho, M.; Chio, A.; Van Damme, P.; Hardiman, O.; Kollewe, K.; Morrison, K.E.; Petri, S.; et al. EFNS Guidelines on the Clinical Management of Amyotrophic Lateral Sclerosis (MALS)—Revised Report of an EFNS Task Force. Eur. J. Neurol. 2012, 19, 360–375. [Google Scholar] [CrossRef] [PubMed]
- National Institute for Health and Care Excellence. Motor Neurone Disease: Assessment and Management (NICE Guideline No. 42). 2019. Available online: https://www.nice.org.uk/guidance/ng42 (accessed on 15 November 2023).
- Windisch, W.; Geiseler, J.; Simon, K.; Walterspacher, S.; Dreher, M. German National Guideline for Treating Chronic Respiratory Failure with Invasive and Non-Invasive Ventilation: Revised Edition 2017—Part 1. Respiration 2018, 96, 66–97. [Google Scholar] [CrossRef] [PubMed]
- Pinto, A.; de Carvalho, M.; Evangelista, T.; Lopes, A.; Sales-Luís, L. Nocturnal Pulse Oximetry: A New Approach to Establish the Appropriate Time for Non-invasive Ventilation in ALS Patients. Amyotroph. Lateral Scler. Other Mot. Neuron Disord. 2003, 4, 31–35. [Google Scholar] [CrossRef]
- Boentert, M.; Glatz, C.; Helmle, C.; Okegwo, A.; Young, P. Prevalence of Sleep Apnoea and Capnographic Detection of Nocturnal Hypoventilation in Amyotrophic Lateral Sclerosis. J. Neurol. Neurosurg. Psychiatry 2018, 89, 418–424. [Google Scholar] [CrossRef]
- Murray, D.; Rooney, J.; Al-Chalabi, A.; Bunte, T.; Chiwera, T.; Choudhury, M.; Chio, A.; Fenton, L.; Fortune, J.; Maidment, L.; et al. Correlations between Measures of ALS Respiratory Function: Is There an Alternative to FVC? Amyotroph. Lateral. Scler. Frontotemporal. Degener 2021, 22, 495–504. [Google Scholar] [CrossRef]
- Manera, U.; Torrieri, M.C.; Moglia, C.; Viglione, M.; Daviddi, M.A.R.; Matteoni, E.; Solero, L.; Palumbo, F.; Vasta, R.; Canosa, A.; et al. The Role of Arterial Blood Gas Analysis (ABG) in Amyotrophic Lateral Sclerosis Respiratory Monitoring. J. Neurol. Neurosurg. Psychiatry 2020, 91, 810. [Google Scholar] [CrossRef]
- Alarcan, H.; Cotet, C.; Lépine, N.; Morel, J.; Vourc’h, P.; Andres, C.; Corcia, P.; Blasco, H. Evaluation of Arterial Blood Gas Parameters as Prognostic Markers in Amyotrophic Lateral Sclerosis. Eur. J. Neurol. 2023, 30, 1611–1618. [Google Scholar] [CrossRef] [PubMed]
- Miller, M.R. Standardisation of Spirometry. Eur. Respir. J. 2005, 26, 319–338. [Google Scholar] [CrossRef] [PubMed]
- Pellegrino, R. Interpretative Strategies for Lung Function Tests. Eur. Respir. J. 2005, 26, 948–968. [Google Scholar] [CrossRef] [PubMed]
- Suh, M.R.; Kim, D.H.; Jung, J.; Kim, B.; Lee, J.W.; Choi, W.A.; Kang, S.-W. Clinical Implication of Maximal Voluntary Ventilation in Myotonic Muscular Dystrophy. Medicine 2019, 98, e15321. [Google Scholar] [CrossRef] [PubMed]
- Kor, A.C.; Ong, K.C.; Earnest, A.; Wang, Y.T. Prediction of the Maximal Voluntary Ventilation in Healthy Adult Chinese Subjects. Respirology 2004, 9, 76–80. [Google Scholar] [CrossRef] [PubMed]
- Dillard, T.A.; Hnatiuk, O.W.; McCumber, T.R. Maximum Voluntary Ventilation: Spirometric Determinants in Chronic Obstructive Pulmonary Disease Patients and Normal Subjects. Am. Rev. Respir. Dis. 1993, 147, 870–875. [Google Scholar] [CrossRef] [PubMed]
- Campbell, S.C. A Comparison of the Maximum Voluntary Ventilation with the Forced Expiratory Volume in One Second: An Assessment of Subject Cooperation. J. Occup. Med. 1982, 24, 531–533. [Google Scholar] [PubMed]
- de Carvalho, M.; Fernandes, S.R.; Pereira, M.; Gromicho, M.; Santos, M.O.; Alves, I.; Pinto, S.; Swash, M. Respiratory Function Tests in Amyotrophic Lateral Sclerosis: The Role of Maximal Voluntary Ventilation. J. Neurol. Sci. 2022, 434, 120143. [Google Scholar] [CrossRef]
- Keith, W.; Morgan, C. Disability or Disinclination? Chest 1979, 75, 712–715. [Google Scholar] [CrossRef]
- Ferris, B.G. Epidemiology Standardization Project (American Thoracic Society). Am. Rev. Respir Dis. 1978, 118, 1–120. [Google Scholar] [PubMed]
- Stein, R.; Selvadurai, H.; Coates, A.; Wilkes, D.L.; Schneiderman-Walker, J.; Corey, M. Determination of Maximal Voluntary Ventilation in Children with Cystic Fibrosis. Pediatr. Pulmonol. 2003, 35, 467–471. [Google Scholar] [CrossRef] [PubMed]
- Andrello, A.C.; Donaria, L.; de Castro, L.A.; Belo, L.F.; Schneider, L.P.; Machado, F.V.; Ribeiro, M.; Probst, V.S.; Hernandes, N.A.; Pitta, F. Maximum Voluntary Ventilation and Its Relationship with Clinical Outcomes in Subjects with COPD. Respir. Care 2021, 66, 79–86. [Google Scholar] [CrossRef] [PubMed]
- Janssens, J.-P.; Adler, D.; Iancu Ferfoglia, R.; Poncet, A.; Genton Graf, L.; Leuchter, I.; Escher Imhof, M.; Héritier Barras, A.-C. Assessing Inspiratory Muscle Strength for Early Detection of Respiratory Failure in Motor Neuron Disease: Should We Use MIP, SNIP, or Both? Respiration 2019, 98, 114–124. [Google Scholar] [CrossRef] [PubMed]
- Capozzo, R.; Quaranta, V.N.; Pellegrini, F.; Fontana, A.; Copetti, M.; Carratù, P.; Panza, F.; Cassano, A.; Falcone, V.A.; Tortelli, R.; et al. Sniff Nasal Inspiratory Pressure as a Prognostic Factor of Tracheostomy or Death in Amyotrophic Lateral Sclerosis. J. Neurol. 2015, 262, 593–603. [Google Scholar] [CrossRef] [PubMed]
- Polkey, M.I.; Lyall, R.A.; Yang, K.; Johnson, E.; Leigh, P.N.; Moxham, J. Respiratory Muscle Strength as a Predictive Biomarker for Survival in Amyotrophic Lateral Sclerosis. Am. J. Respir. Crit. Care Med. 2017, 195, 86–95. [Google Scholar] [CrossRef]
- Fitting, J.W.; Paillex, R.; Hirt, L.; Aebischer, P.; Schluep, M. Sniff Nasal Pressure: A Sensitive Respiratory Test to Assess Progression of Amyotrophic Lateral Sclerosis. Ann. Neurol. 1999, 46, 887–893. [Google Scholar] [CrossRef]
- Wilson, S.R.; Quantz, M.A.; Strong, M.J.; Ahmad, D. Increasing Peak Expiratory Flow Time in Amyotrophic Lateral Sclerosis. Chest 2005, 127, 156–160. [Google Scholar] [CrossRef][Green Version]
- Zhang, Q.-J.; Huang, J.-C.; Chen, J.; Hu, W.; Xu, L.-Q.; Guo, Q.-F. Peak Expiratory Flow Is a Reliably Household Pulmonary Function Parameter Correlates with Disease Severity and Survival of Patients with Amyotrophic Lateral Sclerosis. BMC Neurol. 2022, 22, 105. [Google Scholar] [CrossRef]
- Manera, U.; Torrieri, M.C.; Moglia, C.; Canosa, A.; Vasta, R.; Ribolla, F.; Palumbo, F.; Solero, L.; Mora, G.; Mattei, A.; et al. Arterial Blood Gas Analysis: Base Excess and Carbonate Are Predictive of Noninvasive Ventilation Adaptation and Survival in Amyotrophic Lateral Sclerosis. Amyotroph. Lateral Scler. Front. Degener. 2021, 22, 33–39. [Google Scholar] [CrossRef]
- Pinto, S.; de Carvalho, M. The R of ALSFRS-R: Does It Really Mirror Functional Respiratory Involvement in Amyotrophic Lateral Sclerosis? Amyotroph. Lateral Scler. Front. Degener. 2015, 16, 120–123. [Google Scholar] [CrossRef]
- Pinto, S.; de Carvalho, M. Correlation between Forced Vital Capacity and Slow Vital Capacity for the Assessment of Respiratory Involvement in Amyotrophic Lateral Sclerosis: A Prospective Study. Amyotroph. Lateral Scler. Front. Degener. 2017, 18, 86–91. [Google Scholar] [CrossRef]
- Crescimanno, G.; Sorano, A.; Greco, F.; Canino, M.; Abbate, A.; Marrone, O. Heterogeneity of Predictors of Nocturnal Hypoventilation in Amyotrophic Lateral Sclerosis. Amyotroph. Lateral Scler. Front. Degener. 2021, 22, 46–52. [Google Scholar] [CrossRef] [PubMed]
- Heiman-Patterson, T.D.; Sherman, M.S.; Yu, D.; Jackson, C.E.; George, A.; Kasarskis, E.J. Use of a New ALS Specific Respiratory Questionnaire: The ARES Score. Amyotroph. Lateral Scler. Front. Degener. 2021, 22, 48–53. [Google Scholar] [CrossRef] [PubMed]
- Heiman-Patterson, T.D.; Khazaal, O.; Yu, D.; Sherman, M.E.; Kasarskis, E.J.; Jackson, C.E. Pulmonary Function Decline in Amyotrophic Lateral Sclerosis. Amyotroph. Lateral Scler. Front. Degener. 2021, 22, 54–61. [Google Scholar] [CrossRef] [PubMed]
- Otto-Yáñez, M.; Sarmento da Nóbrega, A.J.; Torres-Castro, R.; Araújo, P.R.S.; Carvalho de Farias, C.A.; Dornelas De Andrade, A.d.F.; Puppo, H.; Resqueti, V.R.; de Freitas Fregonezi, G.A. Maximal Voluntary Ventilation Should Not Be Estimated from the Forced Expiratory Volume in the First Second in Healthy People and COPD Patients. Front. Physiol. 2020, 11, 537. [Google Scholar] [CrossRef] [PubMed]
- Colwell, K.L.; Bhatia, R. Calculated versus Measured MVV—Surrogate Marker of Ventilatory Capacity in Pediatric CPET. Med. Sci. Sports Exerc. 2017, 49, 1987–1992. [Google Scholar] [CrossRef] [PubMed]
- Shah, J.S.; Pedraza, O.; Festic, E.; Oskarsson, B. The Relationship between Ventilatory Function and Cognitive and Behavioral Impairment in ALS. Amyotroph. Lateral Scler. Front. Degener. 2021, 22, 62–67. [Google Scholar] [CrossRef]

| Whole Cohort (N = 1287) | Cohort with PIF (N = 576) | Cohort with ABGs (N = 484) | Whole vs. PIF Cohort | Whole vs. ABGs Cohort | |
|---|---|---|---|---|---|
| Median (IQR) | Median (IQR) | Median (IQR) | p * | p * | |
| Age at onset (years) | 66.2 (58.9–72.7) | 65.9 (57.9–72.5) | 66.1 (58.8–73.5) | 0.520 | 0.588 |
| Age at PFT performance (years) | 67.4 (60.0–73.8) | 67.2 (59.5–73.6) | 67.6 (60.1–73.5) | 0.487 | 0.941 |
| Onset-PFT interval (months) | 11.0 (6.0–18.0) | 11.0 (7.0–18.0) | 13.5 (8.6–22.2) | 0.893 | <0.001 |
| ALSFRS-R total score | 42.0 (37.0–45.0) | 42.0 (37.0–45.0) | 40.0 (34.0–44.0) | 0.968 | <0.001 |
| ΔALSFRS-R | 0.50 (0.29–1.00) | 0.50 (0.30–0.90) | 0.55 (0.33–1.00) | 0.774 | 0.137 |
| FVC% | 85.9 (66.9–101.2) | 88.7 (70.6–101.9) | 75.6 (58.5–92.0) | 0.069 | <0.001 |
| FEV1% | 86.4 (68.1–102.7) | 89.6 (71.5–102.7) | 77.2 (58.4–95.5) | 0.106 | <0.001 |
| FEV1/FVC ratio | 81.8 (75.9–87.7) | 81.1 (75.6–86.2) | - | 0.054 | - |
| cMVV(40) | 81.6 (59.6–104.8) | 84.0 (63.3–109.4) | 72.2 (53.7–94.9) | 0.084 | <0.001 |
| PEF (L/s) (N = 1115) | 4.3 (3.0–5.7) | 4.3 (3.1–5.7) | - | 0.984 | - |
| PIF (L/s) | - | 2.6 (1.7–3.6) | - | - | - |
| cMVV(Dillard) | - | 85.7 (64.1–110.1) | - | - | - |
| pH | - | - | 7.43 (7.41–7.44) | - | - |
| pO2 (mmHg) | - | - | 81.0 (73.8–87.0) | - | - |
| pCO2 (mmHg) | - | - | 40.0 (34.0–44.0) | - | - |
| BE (mEq/L) | - | - | 1.38 (−0.20–3.12) | - | - |
| HCO3− (mmol/L) | - | - | 25.5 (23.7–27.3) | - | |
| N (%) | N (%) | N (%) | p § | p § | |
| Sex | |||||
| Female | 587 (45.6) | 253 (43.9) | 217 (44.8) | 0.532 | 0.792 |
| Male | 700 (54.4) | 323 (56.1) | 267 (55.2) | ||
| Site of onset | |||||
| Bulbar onset | 427 (33.2) | 184 (31.9) | 162 (33.5) | 0.872 | 0.912 |
| Limbs onset | 849 (66.0) | 387 (67.2) | 316 (65.3) | ||
| Respiratory onset | 11 (0.9) | 5 (0.9) | 6 (1.2) | ||
| Total | 1287 (100.0) | 576 (100.0) | 484 (100.0) |
| Univariate Analysis—Overall Survival | |||||
|---|---|---|---|---|---|
| HR (95% CI) | p | HR (95% CI) | p | ||
| Age at PFT (continuous) | 1.022 (1.016–1.028) | <0.001 | FVC% | 0.983 (0.980–0.985) | <0.001 |
| Sex | 1.132 (1.010–1.269) | 0.033 | FEV1% | 0.985 (0.982–0.987) | <0.001 |
| Site of onset (B/S) | 1.308 (1.166–1.467) | <0.001 | cMVV(40) (continuous) | 0.990 (0.988–0.992) | <0.001 |
| ΔALSFRS | 1.231 (1.176–1.289) | <0.001 | FEV1/FVC ratio | 1.006 (1.000–1.012) | 0.067 |
| Bulbar involvement | 0.699 (0.618–0.791) | <0.001 | PIF (continuous, N = 576) | 0.832 (0.777–0.891) | <0.001 |
| cMVV(Dillard) (continuous, N = 576) | 0.991 (0.988–0.994) | <0.001 | |||
| cMVV(40) (median adj) | cMVV(40) (quartiles adj) | ||||
| <80 | 1 | <60 | 1 | ||
| ≥80 | 0.595 (0.531–0.667) | <0.001 | 60–80 | 0.611 (0.520–0.717) | <0.001 |
| 80–105 | 0.489 (0.417–0.573) | <0.001 | |||
| ≥105 | 0.428 (0.364–0.502) | <0.001 | |||
| cMVV(Dillard) (median adj) | cMVV(Dillard) (quartiles adj) | ||||
| <85 | 1 | <65 | 1 | ||
| ≥85 | 0.677 (0.572–0.802) | <0.001 | 65–85 | 0.611 (0.520–0.717) | <0.001 |
| <80 | 1 | 85–105 | 0.489 (0.417–0.573) | <0.001 | |
| ≥80 | 0.617 (0.520–0.731) | <0.001 | ≥105 | 0.428 (0.364–0.502) | <0.001 |
| Multivariate analysis—Overall survival—cMVV(40) | |||||
| Adjustments | HR (95% CI) | p | |||
| Age at onset (cont), Sex, Site of onset (B/S), ΔALSFRS (N = 1287) | cMVV(40) (continuous) | 0.988 (0.986–0.990) | <0.001 | ||
| cMVV(40) (median adj) | |||||
| <80 | 1 | ||||
| ≥80 | 0.598 (0.517–0.691) | <0.001 | |||
| cMVV(40) (quartiles adj) | |||||
| <60 | 1 | ||||
| 60–80 | 0.633 (0.531–0.755) | <0.001 | |||
| 80–105 | 0.490 (0.409–0.587) | <0.001 | |||
| ≥105 | 0.404 (0.326–0.500) | <0.001 | |||
| Age at onset (cont), Sex, Site of onset (B/S), ΔALSFRS, bulbar involvement (N = 1083) | cMVV(40) (continuous) | 0.989 (0.986–0.991) | <0.001 | ||
| Stratified analysis—Overall survival—cMVV(40) | |||||
| FVC ≥ 80 | Age at onset (cont), Sex, Site of onset (B/S), ΔALSFRS (N = 1287) | cMVV(40) (median adj) | |||
| <80 | 1 | ||||
| ≥80 | 0.785 (0.630–0.979) | 0.032 | |||
| FVC < 80 | Age at onset (cont), Sex, Site of onset (B/S), ΔALSFRS (N = 1287) | cMVV(40) (median adj) | |||
| <80 | 1 | ||||
| ≥80 | 0.931 (0.718–1.206) | 0.586 | |||
| Multivariate analysis—time to NIV—cMVV(40) | |||||
| Adjustments | HR (95% CI) | p | |||
| Age at onset (cont), Sex, Site of onset (B/S), ΔALSFRS (N = 1287) | cMVV(40) (continuous) | 0.983 (0.980–0.987) | <0.001 | ||
| cMVV(40) (median adj) | |||||
| <80 | 1 | ||||
| ≥80 | 0.525 (0.417–0.660) | <0.001 | |||
| cMVV(40) (quartiles adj) | |||||
| <60 | 1 | ||||
| 60–80 | 0.626 (0.472–0.830) | 0.001 | |||
| 80–105 | 0.482 (0.360–0.645) | <0.001 | |||
| ≥105 | 0.278 (0.200–0.388) | <0.001 | |||
Disclaimer/Publisher’s Note: The statements, opinions and data contained in all publications are solely those of the individual author(s) and contributor(s) and not of MDPI and/or the editor(s). MDPI and/or the editor(s) disclaim responsibility for any injury to people or property resulting from any ideas, methods, instructions or products referred to in the content. |
© 2024 by the authors. Licensee MDPI, Basel, Switzerland. This article is an open access article distributed under the terms and conditions of the Creative Commons Attribution (CC BY) license (https://creativecommons.org/licenses/by/4.0/).
Share and Cite
Manera, U.; Torrieri, M.C.; Moglia, C.; Canosa, A.; Vasta, R.; Palumbo, F.; Matteoni, E.; Cabras, S.; Grassano, M.; Bombaci, A.; et al. Calculated Maximal Volume Ventilation (cMVV) as a Marker of Early Respiratory Failure in Amyotrophic Lateral Sclerosis (ALS). Brain Sci. 2024, 14, 157. https://doi.org/10.3390/brainsci14020157
Manera U, Torrieri MC, Moglia C, Canosa A, Vasta R, Palumbo F, Matteoni E, Cabras S, Grassano M, Bombaci A, et al. Calculated Maximal Volume Ventilation (cMVV) as a Marker of Early Respiratory Failure in Amyotrophic Lateral Sclerosis (ALS). Brain Sciences. 2024; 14(2):157. https://doi.org/10.3390/brainsci14020157
Chicago/Turabian StyleManera, Umberto, Maria Claudia Torrieri, Cristina Moglia, Antonio Canosa, Rosario Vasta, Francesca Palumbo, Enrico Matteoni, Sara Cabras, Maurizio Grassano, Alessandro Bombaci, and et al. 2024. "Calculated Maximal Volume Ventilation (cMVV) as a Marker of Early Respiratory Failure in Amyotrophic Lateral Sclerosis (ALS)" Brain Sciences 14, no. 2: 157. https://doi.org/10.3390/brainsci14020157
APA StyleManera, U., Torrieri, M. C., Moglia, C., Canosa, A., Vasta, R., Palumbo, F., Matteoni, E., Cabras, S., Grassano, M., Bombaci, A., Mattei, A., Bellocchia, M., Tabbia, G., Ribolla, F., Chiò, A., & Calvo, A. (2024). Calculated Maximal Volume Ventilation (cMVV) as a Marker of Early Respiratory Failure in Amyotrophic Lateral Sclerosis (ALS). Brain Sciences, 14(2), 157. https://doi.org/10.3390/brainsci14020157

