Circadian Intervention Improves Parkinson’s Disease and May Slow Disease Progression: A Ten Year Retrospective Study
Abstract
1. Introduction
2. Materials and Methods
2.1. Participants
2.2. Treatment Description
2.3. Randomization and Blinding
2.4. Study Design
2.5. Circadian, Sleep and Related Parameters
2.6. RSBD
2.7. Statistical Design and Analysis
2.8. Determination of Responsive Versus Non-Responsive Patients
3. Results
3.1. Time to Sleep and Awaken Before and After LT
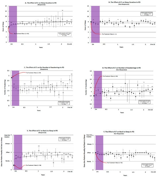
3.2. The Amount of Sleep, Number of Awakenings and Tendancy to Fall Back After LT
3.3. Fatigue
3.4. Timed Motor Tests
3.5. Depression
3.6. Primary Symptoms
3.7. Dyskinesia
3.8. Chronotype as It Related to Sleep and Motor Function
3.9. RSBD, Dreaming, Compliance and Drug Intake
4. Discussion
4.1. Sleep, RSBD and Dreaming
4.2. TMTs and Assessment of Motor Function
4.3. Dyskinesia and Primary Symptoms
4.4. Parkinsonian Depression and Total Drug Burden
4.5. Circadian Function in Parkinson’s Disease
4.6. LT and Compliance
4.7. Limitations, Future Directions and Concluding Remarks
5. Conclusions
Supplementary Materials
Author Contributions
Funding
Institutional Review Board Statement
Informed Consent Statement
Data Availability Statement
Acknowledgments
Conflicts of Interest
References
- Dagan, M.; Herman, T.; Bernad-Elezari, H.; Gazit, E.; Maidan, I.; Giladi, N.; Mirelman, A.; Manor, B.; Hausdorff, J. Dopaminergic therapy and prefrontal activation during waking in individuals with Parkinson’s disease: Does the levodopa overdose hypothesis extend to gait? J. Neurol. 2021, 268, 658–668. [Google Scholar] [CrossRef] [PubMed]
- Colwell, C.S. Defining circadian disruption in neurodegenerative diseases. J. Clin. Investig. 2021, 131, e148288. [Google Scholar] [CrossRef] [PubMed]
- Fifel, K.; Videnovic, A. Light Therapy in Parkinson’s disease: Towards Mechanism-Based Protocols. Trends Neurosci. 2018, 41, 252–254. [Google Scholar] [CrossRef] [PubMed]
- Artemenko, A.R.; Levin, L. The phototherapy for Parkinson’s patients. Zhurnal Nevrologii i Psikhiatrii Imeni SS Korsakova 1996, 96, 63–66. [Google Scholar] [PubMed]
- Paus, S.; Schmitz-Hübsch, T.; Wüllner, U.; Vogel, A.; Klockgether, T.; Abele, M. Bright Light Therapy in Parkinson’s disease: A Pilot Study. Mov. Disord. 2007, 22, 1495–1498. [Google Scholar] [CrossRef]
- Willis, G.L.; Turner, J. Primary and secondary features of Parkinson’s disease improve with strategic exposure to bright light: Case series study. Chronobiol. Int. 2007, 24, 521–537. [Google Scholar] [CrossRef]
- Willis, G.L.; Moore, C.; Armstrong, S.M.A. Historical justification for and retrospective analysis of the systematic application of light therapy in Parkinson’s disease. Rev. Neurosci. 2012, 23, 199–226. [Google Scholar] [CrossRef] [PubMed]
- Willis, G.L.; Boda, J.; Freelance, C.B. Polychromatic Light Exposure as a Therapeutic in the Treatment and Management of Parkinson’s disease: A Controlled Exploratory Trial. Front. Neurol. 2018, 9, 741. [Google Scholar] [CrossRef]
- Smilowska, K.; Wamelon, D.J.; Schoutens, M.C.; Meinders, M.J.; Bloem, B.R. Blue light therapy glasses in Parkinson’s disease: Patients’ experience. Park. Dis. 2019, 2019, 1906271. [Google Scholar] [CrossRef]
- Endo, T.; Matsumura, R.; Tokuda, I.T.; Yoshikawa, T.; Shigeyoshi, Y.; Node, K.; Sakoda, S.; Akashi, M. Bright light improves sleep in patients with Parkinson’s disease: Possible role of circadian restoration. Sci. Rep. 2020, 10, 7982. [Google Scholar] [CrossRef]
- Martino, J.K.; Freelance, C.B.; Willis, G.L. The effect of light exposure on insomnia and nocturnal movement in Parkinson’s disease: An open label, retrospective, longitudinal study. Sleep Med. 2018, 44, 24–31. [Google Scholar] [CrossRef] [PubMed]
- Videnovic, A.; Klerman, E.B.; Wang, W.; Marconi, A.; Kuhta, T.; Zee, P.C. Timed light therapy for sleep and daytime sleepiness associated with Parkinson’s disease: A randomised clinical trial. JAMA Neurol. 2017, 74, 411–418. [Google Scholar] [CrossRef] [PubMed]
- Rutten, S.; Vriend, C.; Smit, J.H.; Berendse, H.W.; van Sommeren, W.; Hoogendoorn, A.W.; Twisk, J.W.R.; van der Werf, Y.D.; van den Heuvel, O.A. Bright light therapy for depression in Parkinson’s disease: A randomised controlled trial. Neurology 2019, 92, e1145–e1156. [Google Scholar] [CrossRef] [PubMed]
- Romenets, S.R.; Creti, L.; Fichten, C.; Bailes, S.; Libman, E.; Pelletier, A.; Postuma, R.B. Doxepin and cognitive behavioural therapy for insomnia in patients with Parkinson’s disease—A randomised study. Park. Relat. Disord. 2013, 19, 670–675. [Google Scholar] [CrossRef]
- Raymackers, J.-M.; Andrade, M.; Baey, E.; Vanneste, M.; Evard, F. Bright light therapy with head-mounted device for anxiety, depression, sleepiness, and fatigue in patients with Parkinson’s disease. Acta Neurol. Belg. 2019, 119, 607–613. [Google Scholar] [CrossRef]
- Horne, J.A.; Östberg, O. A self-assessment questionnaire to determine morningness-eveningness in human circadian rhythms. Int. J. Chronobiol. 1976, 4, 97–100. [Google Scholar]
- Bordet, R.; Devos, D.; Brique, S.; Touitou, Y.; Guieu, J.D.; Libersa, C.; Destee, A. Study of circadian melatonin secretion pattern at different stages of Parkinson’s disease. Clin. Neuropharmacol. 2003, 26, 65–72. [Google Scholar] [CrossRef]
- Fertl, E.; Auff, E.; Dopplebauer, A.; Waldhauser, F. Circadian secretion pattern of melatonin in Parkinson’s disease. J. Neural. Transm. 1991, 3, 41–47. [Google Scholar] [CrossRef]
- Obayashi, K.; Saeki, K.; Yamagami, Y.; Kurumatani, N.; Sugie, K.; Kataoka, H. Circadian activity rhythm in Parkinson’s disease: Findings from the PHASE study. Sleep Med. 2021, 85, 8–14. [Google Scholar] [CrossRef]
- Evers, L.J.W.; Krijthe, J.H.; Meinders, M.J.; Bloeme, B.R.; Heskes, T.M. Measuring Parkinson’s disease over time: The real world within subject reliability of the MDS-UPDRS. Mov. Disord. 2019, 34, 1480–1487. [Google Scholar] [CrossRef]
- Hendricks, R.M.; Khasawneh, M.T. An investigation into the use and meaning of Parkinson’s disease Clinical Scale Scores. Park. Dis. 2021, 2021, 1765220. [Google Scholar] [CrossRef] [PubMed]
- Duvoisin, R.C.; Golbe, L.I.; Lepore, F.E. Progressive Supranuclear Palsy. Can. J. Neurol. Sci. 1987, 14 (Suppl. S3), 547–554. [Google Scholar] [PubMed]
- Mantovani, S.; Smith, S.S.; Gordon, R.; O’Sullivan, J.D. An overview of sleep and circadian dysfunction in Parkinson’s disease. J. Sleep. Res. 2018, 27, e12673. [Google Scholar] [CrossRef] [PubMed]
- Sateia, M.J. International Classification of Sleep Disorders, 3rd ed.; Elsevier: Amsterdam, The Netherlands, 2014. [Google Scholar]
- Postuma, R.B.; Arnulf, I.; Hogl, B.; Iranzo, A.; Miyamoto, T.; Dauvilliers, Y.; Oertel, W.; Ju, Y.E.; Puligheddu, M.; Jennum, P.; et al. A single question screen for rapid eye movement sleep disorder: A multicentre validation study. Mov. Disord. 2012, 27, 913–916. [Google Scholar] [CrossRef] [PubMed]
- Gupta, S.K. Intention-to-treat concept: A review. Perspect. Clin. Res. 2011, 2, 109–112. [Google Scholar] [CrossRef]
- Lewy, A.J.; Sack, R.L.; Singer, C.M. Immediate and delayed effects of bright light on human melatonin production: Shifting “dawn” and “dusk” shifts the dime light melatonin onset (DLMO). Ann. N. Y. Acad. Sci. 1985, 453, 253–259. [Google Scholar] [CrossRef]
- Deeb, W.; Nozile-Firth, K.; Okun, M.S. Parkinson’s disease: Diagnosis and appreciation of comorbidities. Handb. Clin. Neurol. 2019, 167, 257–277. [Google Scholar] [CrossRef]
- Guardiola-Lemaitre, B. Toxicology of Melatonin. J. Biol. Rhythm. 1997, 12, 697–706. [Google Scholar] [CrossRef]
- Lipnicki, D.M. An association between geometric activity and dream bizarreness. Med. Hyp. 2009, 73, 115–117. [Google Scholar] [CrossRef]
- Leng, Y.; Blackwell, T.; Cawthon, P.M.; Ancoli-Israel, S.; Stone, K.L.; Yaffe, K. Association of Circadian Abnormalities in Older Adults with an Increased Risk of Developing Parkinson Disease. JAMA Neurol. 2020, 77, 1270–1278. [Google Scholar] [CrossRef]
- Siciliano, M.; Trojano, L.; Santangelo, G.; De Micco, R.; Tedeschi, G.; Tessitore, A. Fatigue in Parkinson’s disease: A systematic review and meta-analysis. Mov. Disord. 2018, 33, 1712–1723. [Google Scholar] [CrossRef] [PubMed]
- Marsh, L. Depression and Parkinson’s disease: Current Knowledge. Curr. Neurol. Neurosci. Rep. 2013, 13, 409. [Google Scholar] [CrossRef] [PubMed]
- Yalcin, M.; Mundorf, A.; Thiel, F.; Amatrianin-Fernandez, S.; Kalthoff, I.S.; Beucke, J.C.; Budde, H.; Garthus-Niegel, S.; Peterburs, J.; Relogio, A. It’s about time: The circadian network as time-keeper for cognitive functioning, locomotor activity and mental health. Front. Physiol. 2022, 13, 873237. [Google Scholar] [CrossRef] [PubMed]
- Miller, D.B.; O’Callaghan, J.P. Biomarkers of Parkinson’s disease: Present and future. Metabolism 2014, 64 (Suppl. S1), S40–S46. [Google Scholar] [CrossRef] [PubMed]
- Medeiros, C.A.M.; Carvalhedo de Bruin, P.F.; Lopes, L.A.; Magalhaes, M.C.; de Lourdes Sebra, M.; Sales de Bruin, V.M. Effect of endogenous melatonin on sleep and motor dysfunction in Parkinson’s disease. A randomized, double blind, placebo-controlled study. J. Neurol. 2007, 254, 459–464. [Google Scholar] [CrossRef]
- Datieva, V.K.; Rosinskaia, A.V.; Levin, O.S. The use of melatonin in the treatment of chronic fatigue syndrome and circadian rhythm disorders in Parkinson’s disease. Zh. Nevrol. Psikhiatr. Im. S. S. Korsakova. 2013, 113 Pt 2, 77–81. [Google Scholar]
- Kakhaki, R.D.; Ostadmohammadi, V.; Kouchaki, E.; Aghadavod, E.; Bahmani, F.; Tamtaji, O.R.; Reiter, R.J.; Mansournia, M.A.; Asemi, Z. Melatonin supplementation and the effects on clinical and metabolic status in Parkinson’s disease: A randomized, double-blind, placebo-controlled trial. Clin. Neurol. Neurosurg. 2020, 195, 105878. [Google Scholar] [CrossRef]
- Willis, G.L.; Armstrong, S.M. A therapeutic role for melatonin antagonism in experimental models of Parkinson’s disease. Physiol. Behav. 1999, 66, 785–795. [Google Scholar] [CrossRef]
- Willis, G.L. Parkinson’s disease as a neuroendocrine disorder of circadian function: Dopamine-melatonin imbalance and the visual system in the genesis and progression of the degenerative process. Rev. Neurosci. 2008, 19, 245–316. [Google Scholar] [CrossRef]
- Willis, G.L.; Robertson, A.D. Recovery of experimental Parkinson’s disease in the methyl-4-phenyl-1, 2, 3, 6-tetrahydropyridine treated marmoset with the melatonin analogue ML-23. Pharmacol. Biochem. Behav. 2005, 80, 9–26. [Google Scholar] [CrossRef]
- Feigl, B.; Lewis, S.J.; Burr, L.D.; Schweitzer, D.; Gnyawali, S.; Vagenas, D.; Carter, D.D.; Zele, A.J. Efficacy of biologically-directed daylight therapy on sleep and circadian rhythm in Parkinson’s disease: A randomised, double-blind, parallel-group, active-controlled, phase II clinical trial. EClinicalMedicine 2024, 69, 102474. [Google Scholar] [CrossRef] [PubMed]
- Dann, S. Tonic and phasic effects of light in entrainment of circadian rhythms. Ann. N. Y. Acad. Sci. 1977, 290, 51–59. [Google Scholar] [CrossRef] [PubMed]
- Willis, G.L.; Armstrong, S.M. Fine-tuning the circadian system with light treatment for Parkinson’s disease: An in-depth, critical review. Rev. Neurosci. 2023, 35, 57–84. [Google Scholar] [CrossRef] [PubMed]
- Tomlinson, C.L.; Stowe, R.; Patel, S.; Rick, C.; Gray, R.; Clarke, C.E. Systematic review of levodopa dose equivalency reporting in Parkinson’s disease. Mov. Disord. 2010, 25, 2649–2653. [Google Scholar] [CrossRef]









| Parameter | Males | Females |
|---|---|---|
| Number | 75 (63%) | 44 (37%) |
| Age | 68.7 ± 9.1 Years | 68.1 ± 8.8 Years |
| Range | 49–87 Years | 48–83 Years |
| Time Remained in Program | 31.6 ± 26 Months | 30.4 ± 29.7 Months |
| L-Dopa Equivalent Dose on Start | 750.7 mg/Day | 529.6 mg/Day |
| MEQ-SA Patient Sample Size | 19 (72%) | 7 (28%) |
| A. Sleep Diary—Time to Sleep: Over Days 1 to 42 | ||||
| ∆ in Time | Time to Sleep | Time to Sleep | ||
| % of Group | to Sleep | Prior to LT | After LT | |
| Advanced Phase | 43% | 60 m Earlier | 11:25 p.m. ± 18 m | 10:25 p.m. |
| Delayed Phase | 57% | 30 m Later | 10:15 p.m. ± 9 m | 10:45 p.m. |
| B. Sleep Diary—Time to Awaken: Over Days 1 to 42 | ||||
| ∆ in Time | Time to Wake | Time to Wake | ||
| % of Group | to Wake | Prior to LT | After LT | |
| Advanced Phase | 43% | 43 m Earlier | 07:12 a.m. ± 14 m | 6:29 a.m. |
| Delayed Phase | 57% | 54 m Later | 6:02 a.m. ± 12 m | 7:56 a.m. |
| C. Circadian Chart—Time to Sleep: Over 10 Years | ||||
| ∆ in Time | Time to Sleep | Time to Sleep | ||
| % of Group | to Sleep | Prior to LT | After LT | |
| Advanced Phase | 46% | 30 m Earlier | 10:50 p.m. ± 9 m | 10:20 p.m. |
| Delayed Phase | 54% | 27 m Later | 10:00 p.m. ± 10 m | 10:27 p.m. |
| D. Circadian Chart—Time to Awaken: Over 10 Years | ||||
| ∆ in Time | Time to Wake | Time to Wake | ||
| % of Group | to Wake | Prior to LT | After LT | |
| Advanced Phase | 30% | 45 m Earlier | 7:25 a.m. ± 13 m | 6:40 a.m. |
| Delayed Phase | 70% | 53 m Later | 6:00 a.m. ± 11 m | 6:53 a.m. |
| Age of Patients in at Diagnosis | Pre-Trial Dyskinesia | 60.4 ± 10.3 years |
| No Pre-Trial Dyskinesia | 61.2 ±12.6 years | |
| Age at Start of Program | Pre-Trial Dyskinesia | 67.9 ± 8.4 years |
| No Pre-Trial Dyskinesia | 65.8 ± 9.2 years | |
| Years to Enter Program After Diagnosis | Pre-Trial Dyskinesia | 7.6 ± 4.9 years |
| No Pre-Trial Dyskinesia | 2.8 ± 2.9 years | |
| Time to Dyskinesia Onset After Diagnosis | Pre-Trial Dyskinesia | 4 Years (Estimated) |
| No Pre-Trial Dyskinesia | 5.5 Years | |
| Time to Onset of Moderate Dyskinesia After Entering the Program | Pre-Trial Dyskinesia | 0 Years |
| No Pre-Trial Dyskinesia | 7 Years (Nearest Value) | |
| Time to Onset of Moderate Dyskinesia from Diagnosis | Pre-Trial Dyskinesia | 6 Years (Estimated) |
| No Pre-Trial Dyskinesia | 9.8 Years |
| Sleep Diary (40 Days) | Circadian Chart (10 Years) | |||||||||||
|---|---|---|---|---|---|---|---|---|---|---|---|---|
| To Sleep | To Awaken | To Asleep | To Awaken | |||||||||
| MEQ-SA | C TYPE | Advan | Delay | Advan | Delay | Advan | Delay | Advan | Delay | |||
| 73 | D. Morn | |||||||||||
| 70 | D. Morn | |||||||||||
| 70 | D. Morn | |||||||||||
| 69 | M. Morn | |||||||||||
| 68 | M. Morn | |||||||||||
| 67 | M. Morn | |||||||||||
| 67 | M. Morn | |||||||||||
| 67 | M. Morn | |||||||||||
| 66 | M. Morn | |||||||||||
| 66 | M. Morn | |||||||||||
| 65 | M. Morn | |||||||||||
| 64 | M. Morn | |||||||||||
| 60 | M. Morn | |||||||||||
| 59 | M. Morn | |||||||||||
| 58 | M. Morn | |||||||||||
| 58 | M. Morn | |||||||||||
| 57 | M. Morn | |||||||||||
| 55 | Interm. | |||||||||||
| 54 | Interm. | |||||||||||
| 54 | Interm. | |||||||||||
| 54 | Interm. | |||||||||||
| 51 | Interm. | |||||||||||
| 51 | Interm. | |||||||||||
| 50 | Interm. | |||||||||||
| 50 | Interm. | |||||||||||
| 49 | Interm. | |||||||||||
| Percent | 42% | 58% | 23% | 77% | 46% | 54% | 31% | 69% | ||||
| Amount of Sleep | Awakenings | Back to Sleep | |||||||
|---|---|---|---|---|---|---|---|---|---|
| MEQ-SA | C TYPE | More | less | Fewer | More | Better | Worse | ||
| 73 | D. Morn | ||||||||
| 70 | D. Morn | ||||||||
| 70 | D. Morn | ||||||||
| 69 | M. Morn | ||||||||
| 68 | M. Morn | ||||||||
| 67 | M. Morn | ||||||||
| 67 | M. Morn | ||||||||
| 67 | M. Morn | ||||||||
| 66 | M. Morn | ||||||||
| 66 | M. Morn | ||||||||
| 65 | M. Morn | ||||||||
| 64 | M. Morn | ||||||||
| 60 | M. Morn | ||||||||
| 59 | M. Morn | ||||||||
| 58 | M. Morn | ||||||||
| 58 | M. Morn | ||||||||
| 57 | M. Morn | ||||||||
| 55 | Interm. | ||||||||
| 54 | Interm. | ||||||||
| 54 | Interm. | ||||||||
| 54 | Interm. | ||||||||
| 51 | Interm. | ||||||||
| 51 | Interm. | ||||||||
| 50 | Interm. | ||||||||
| 50 | Interm. | ||||||||
| 49 | Interm. | ||||||||
| Percent | 81% | 19% | 58% | 42% | 58% | 42% | |||
| Fatigue | Depression | Dyskinaesia | |||||||
|---|---|---|---|---|---|---|---|---|---|
| MEQ-SA | C TYPE | Better | Worse | Better | Worse | Better | Worse | ||
| 73 | D. Morn | ||||||||
| 70 | D. Morn | ||||||||
| 70 | D. Morn | ||||||||
| 69 | M. Morn | ||||||||
| 68 | M. Morn | ||||||||
| 67 | M. Morn | ||||||||
| 67 | M. Morn | ||||||||
| 67 | M. Morn | ||||||||
| 66 | M. Morn | ||||||||
| 66 | M. Morn | ||||||||
| 65 | M. Morn | ||||||||
| 64 | M. Morn | ||||||||
| 60 | M. Morn | ||||||||
| 59 | M. Morn | ||||||||
| 58 | M. Morn | ||||||||
| 58 | M. Morn | ||||||||
| 57 | M. Morn | ||||||||
| 55 | Interm. | ||||||||
| 54 | Interm. | ||||||||
| 54 | Interm. | ||||||||
| 54 | Interm. | ||||||||
| 51 | Interm. | ||||||||
| 51 | Interm. | ||||||||
| 50 | Interm. | ||||||||
| 50 | Interm. | ||||||||
| 49 | Interm. | ||||||||
| Percent | 92% | 8% | 73% | 27% | 12% | 88% | |||
| TMT ETF | TMT FTK | |||||||||
|---|---|---|---|---|---|---|---|---|---|---|
| Better | Worse | Better | Worse | |||||||
| MEQ-SA | C TYPE | Left | Right | Left | Right | Left | Right | Left | Right | |
| 73 | D. Morn | |||||||||
| 70 | D. Morn | |||||||||
| 70 | D. Morn | |||||||||
| 69 | M. Morn | |||||||||
| 68 | M. Morn | |||||||||
| 67 | M. Morn | |||||||||
| 67 | M. Morn | |||||||||
| 67 | M. Morn | |||||||||
| 66 | M. Morn | |||||||||
| 66 | M. Morn | |||||||||
| 65 | M. Morn | |||||||||
| 64 | M. Morn | |||||||||
| 60 | M. Morn | |||||||||
| 59 | M. Morn | |||||||||
| 59 | M. Morn | |||||||||
| 58 | M. Morn | |||||||||
| 58 | M. Morn | |||||||||
| 57 | Interm. | |||||||||
| 55 | Interm. | |||||||||
| 54 | Interm. | |||||||||
| 54 | Interm. | |||||||||
| 54 | Interm. | |||||||||
| 51 | Interm. | |||||||||
| 50 | Interm. | |||||||||
| 50 | Interm. | |||||||||
| 49 | Interm. | |||||||||
| Percent | 84% | 16% | 79% | 21% | ||||||
| Bradykinaesia | Rigidity | Tremor | ||||||||
|---|---|---|---|---|---|---|---|---|---|---|
| MEQ-SA | C TYPE | Better | Worse | Better | Worse | Better | Worse | N/C | ||
| 73 | D. Morn | R-only | L-only | |||||||
| 70 | D. Morn | L-only | R-NC | |||||||
| 70 | D. Morn | L-only | R-NC | |||||||
| 69 | M. Morn | BILAT | ||||||||
| 68 | M. Morn | L-only | L-NC | |||||||
| 67 | M. Morn | R-Only | L-NC | |||||||
| 67 | M. Morn | R-Only | ||||||||
| 67 | M. Morn | BILAT | ||||||||
| 66 | M. Morn | BILAT | ||||||||
| 66 | M. Morn | R-only | ||||||||
| 65 | M. Morn | BILAT-NC | ||||||||
| 64 | M. Morn | BILAT | ||||||||
| 60 | M. Morn | BILAT | ||||||||
| 59 | M. Morn | BILAT | ||||||||
| 58 | M. Morn | L-only | R-NC | |||||||
| 58 | M. Morn | L-only | R-NC | |||||||
| 57 | M. Morn | R-NC | ||||||||
| 55 | Interm. | R-only | ||||||||
| 54 | Interm. | R-only | ||||||||
| 54 | Interm. | R-only | ||||||||
| 54 | Interm. | L-only | ||||||||
| 51 | Interm. | BILAT-NC | ||||||||
| 51 | Interm. | R-only | ||||||||
| 50 | Interm. | BILAT | ||||||||
| 50 | Interm. | R-only | ||||||||
| 49 | Interm. | L-only | ||||||||
| Percent | 46% | 54% | 58% | 42% | 58% | 42% | N/A | |||
Disclaimer/Publisher’s Note: The statements, opinions and data contained in all publications are solely those of the individual author(s) and contributor(s) and not of MDPI and/or the editor(s). MDPI and/or the editor(s) disclaim responsibility for any injury to people or property resulting from any ideas, methods, instructions or products referred to in the content. |
© 2024 by the authors. Licensee MDPI, Basel, Switzerland. This article is an open access article distributed under the terms and conditions of the Creative Commons Attribution (CC BY) license (https://creativecommons.org/licenses/by/4.0/).
Share and Cite
Willis, G.; Endo, T.; Waldman, M. Circadian Intervention Improves Parkinson’s Disease and May Slow Disease Progression: A Ten Year Retrospective Study. Brain Sci. 2024, 14, 1218. https://doi.org/10.3390/brainsci14121218
Willis G, Endo T, Waldman M. Circadian Intervention Improves Parkinson’s Disease and May Slow Disease Progression: A Ten Year Retrospective Study. Brain Sciences. 2024; 14(12):1218. https://doi.org/10.3390/brainsci14121218
Chicago/Turabian StyleWillis, Gregory, Takuyuki Endo, and Murray Waldman. 2024. "Circadian Intervention Improves Parkinson’s Disease and May Slow Disease Progression: A Ten Year Retrospective Study" Brain Sciences 14, no. 12: 1218. https://doi.org/10.3390/brainsci14121218
APA StyleWillis, G., Endo, T., & Waldman, M. (2024). Circadian Intervention Improves Parkinson’s Disease and May Slow Disease Progression: A Ten Year Retrospective Study. Brain Sciences, 14(12), 1218. https://doi.org/10.3390/brainsci14121218
