From Diabetes to Dementia: Identifying Key Genes in the Progression of Cognitive Impairment
Abstract
1. Introduction
2. Results
2.1. Screening of DEGs and Biological and Functional Enrichment Analysis
2.2. WGCNA Co-Expression Analysis
2.3. Significantly Enriched GO Terms and KEGG Pathways
2.4. PPI Network Construction and Key Genes Screening
2.5. Validation of the Screened Genes
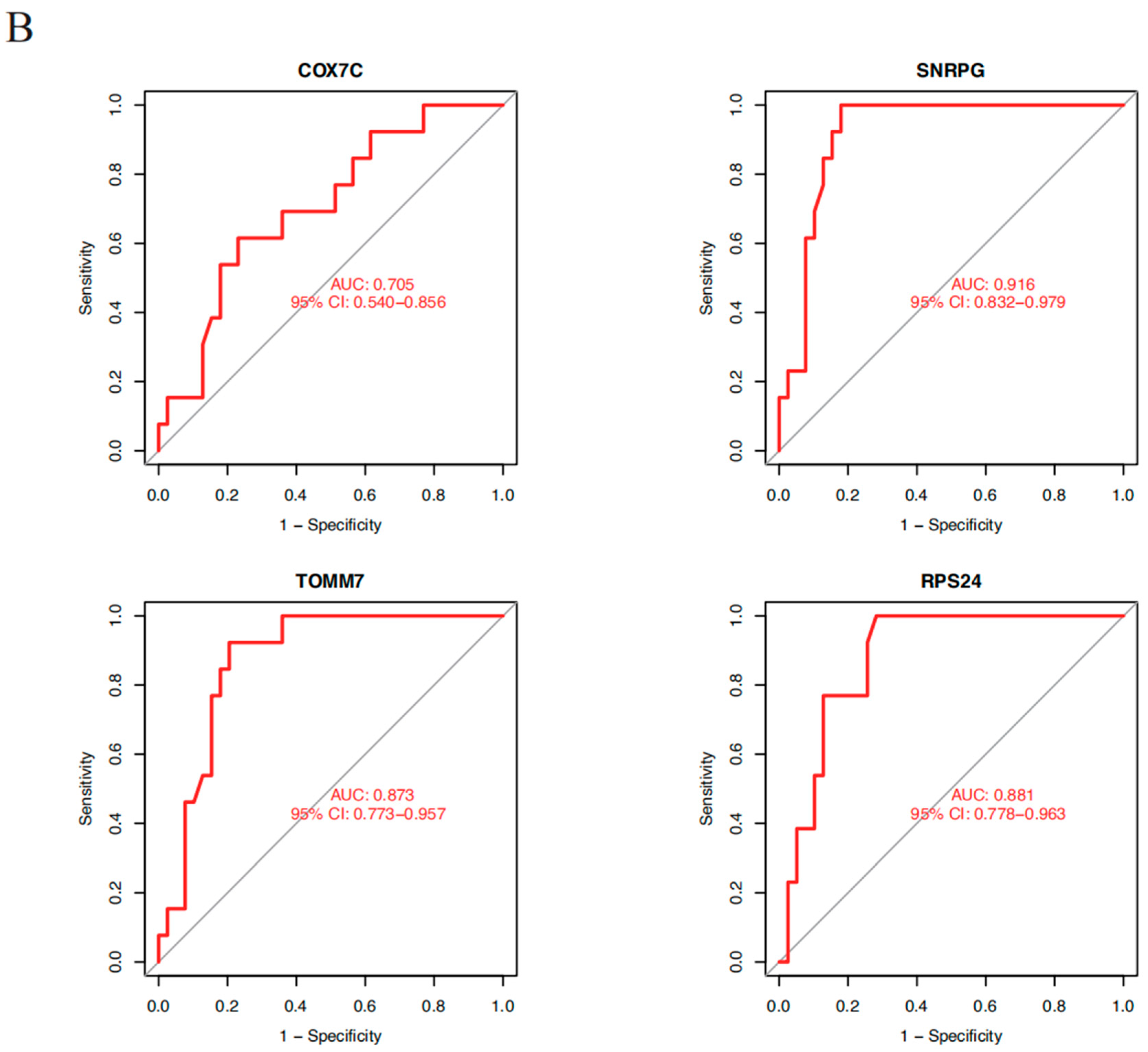
2.6. The Diagnostic Value of MCI Key Genes in Type 2 Diabetes
2.7. Validation of Gene Expression Levels
3. Discussion
4. Materials and Methods
4.1. Data Processing
4.2. Differential Expression Analysis
4.3. Analysis of WGCNA Co-Expression
4.4. Gene Ontology (GO) Functional and Kyoto Encyclopaedia of Genes and Genomes (KEGG) Pathway Analysis
4.5. Protein–Protein Interaction (PPI) Analysis Combined with the LASSO Algorithm for Core Gene Screening and Validation
4.6. Analysis of the Role of MCI Key Eigengenes in Type 2 Diabetes
4.7. Data and Resource Availability
4.8. Ethical Considerations
4.9. Clinical Specimens
4.10. Plasma Protein Extraction and Western Blot
5. Conclusions
Supplementary Materials
Author Contributions
Funding
Institutional Review Board Statement
Informed Consent Statement
Data Availability Statement
Conflicts of Interest
References
- International Diabetes Federation. Diabetes Facts & Figures. 2021. Available online: https://www.idf.org/aboutdiabetes/what-is-diabetes/facts-figures.html (accessed on 4 May 2023).
- Zhou, B.; Lu, Y.; Hajifathalian, K.; Bentham, J.; Di Cesare, M.; Danaei, G.; Bixby, H.; Cowan, M.J.; Ali, M.K.; Taddei, C.; et al. Worldwide trends in diabetes since 1980: A pooled analysis of 751 population-based studies with 44 million participants. Lancet 2016, 387, 1513–1530. [Google Scholar] [CrossRef]
- Marseglia, A.; Dahl Aslan, A.K.; Fratiglioni, L.; Santoni, G.; Pedersen, N.L.; Xu, W. Cognitive Trajectories of Older Adults with Prediabetes and Diabetes: A Population-Based Cohort Study. J. Gerontol. A Biol. Sci. Med. Sci. 2018, 73, 400–406. [Google Scholar] [CrossRef]
- Gregg, E.W.; Sattar, N.; Ali, M.K. The changing face of diabetes complications. Lancet Diabetes Endocrinol. 2016, 4, 537–547. [Google Scholar] [CrossRef]
- Zheng, Y.; Ley, S.H.; Hu, F.B. Global aetiology and epidemiology of type 2 diabetes mellitus and its complications. Nat. Rev. Endocrinol. 2018, 14, 88–98. [Google Scholar] [CrossRef]
- Biessels, G.J.; Despa, F. Cognitive decline and dementia in diabetes mellitus: Mechanisms and clinical implications. Nat. Rev. Endocrinol. 2018, 14, 591–604. [Google Scholar] [CrossRef]
- Liu, Z.Q.; Zhang, M.X.; Wang, J.; Ding, N. Analysis of correlation between the mild cognitive impairment (MCI) and level of adiponectin in elderly patients with type 2 diabetes mellitus (type 2 diabetes). Eur. Rev. Med. Pharmacol. Sci. 2017, 21, 5471–5477. [Google Scholar] [CrossRef]
- You, Y.; Liu, Z.; Chen, Y.; Xu, Y.; Qin, J.; Guo, S.; Huang, J.; Tao, J. The prevalence of mild cognitive impairment in type 2 diabetes mellitus patients: A systematic review and meta-analysis. Acta Diabetol. 2021, 58, 671–685. [Google Scholar] [CrossRef]
- Luo, A.; Xie, Z.; Wang, Y.; Wang, X.; Li, S.; Yan, J.; Zhan, G.; Zhou, Z.; Zhao, Y.; Li, S. Type 2 diabetes mellitus-associated cognitive dysfunction: Advances in potential mechanisms and therapies. Neurosci. Biobehav. Rev. 2022, 137, 104642. [Google Scholar] [CrossRef]
- Nangraj, A.S.; Selvaraj, G.; Kaliamurthi, S.; Kaushik, A.C.; Cho, W.C.; Wei, D.Q. Integrated PPI- and WGCNA-Retrieval of Hub Gene Signatures Shared Between Barrett’s Esophagus and Esophageal Adenocarcinoma. Front. Pharmacol. 2020, 11, 881. [Google Scholar] [CrossRef]
- Chen, X.; Hu, Y.; Cao, Z.; Liu, Q.; Cheng, Y. Cerebrospinal Fluid Inflammatory Cytokine Aberrations in Alzheimer’s Disease, Parkinson’s Disease and Amyotrophic Lateral Sclerosis: A Systematic Review and Meta-Analysis. Front. Immunol. 2018, 9, 2122. [Google Scholar] [CrossRef]
- Zou, D.; Li, R.; Huang, X.; Chen, G.; Liu, Y.; Meng, Y.; Wang, Y.; Wu, Y.; Mao, Y. Identification of molecular correlations of RBM8A with autophagy in Alzheimer’s disease. Aging 2019, 11, 11673–11685. [Google Scholar] [CrossRef] [PubMed]
- Liang, W.; Sun, F.; Zhao, Y.; Shan, L.; Lou, H. Identification of Susceptibility Modules and Genes for Cardiovascular Disease in Diabetic Patients Using WGCNA Analysis. J. Diabetes Res. 2020, 2020, 4178639. [Google Scholar] [CrossRef] [PubMed]
- Ding, M.; Li, F.; Wang, B.; Chi, G.; Liu, H. A comprehensive analysis of WGCNA and serum metabolomics manifests the lung cancer-associated disordered glucose metabolism. J. Cell Biochem. 2019, 120, 10855–10863. [Google Scholar] [CrossRef] [PubMed]
- Murphy, K.E.; Meng, F.W.; Makowski, C.E.; Murphy, P.J. Genome-wide chromatin accessibility is restricted by ANP32E. Nat Commun. 2020, 11, 5063. [Google Scholar] [CrossRef] [PubMed]
- Kuusisto, J.; Koivisto, K.; Mykkänen, L.; Helkala, E.-L.; Vanhanen, M.; Hänninen, T.; Kervinen, K.; Kesäniemi, Y.A.; Riekkinen, P.J.; Laakso, M. Association between features of the insulin resistance syndrome and Alzheimer’s disease independently of apolipoprotein E4 phenotype: Cross sectional population based study. BMJ 1997, 315, 1045–1049. [Google Scholar] [CrossRef]
- Sperling, R.A.; Aisen, P.S.; Beckett, L.A.; Bennett, D.A.; Craft, S.; Fagan, A.M.; Iwatsubo, T.; Jack, C.R., Jr.; Kaye, J.; Montine, T.J.; et al. Toward defining the preclinical stages of Alzheimer’s disease: Recommendations from the National Institute on Aging-Alzheimer’s Association workgroups on diagnostic guidelines for Alzheimer’s disease. Alzheimers Dement. 2011, 7, 280–292. [Google Scholar] [CrossRef]
- Lai, C.Y.; Scarr, E.; Udawela, M.; Everall, I.; Chen, W.J.; Dean, B. Biomarkers in schizophrenia: A focus on blood based diagnostics and theranostics. World J. Psychiatry 2016, 6, 102–117. [Google Scholar] [CrossRef]
- Zhao, H.; Wu, C.; Zhang, X.; Wang, L.; Sun, J.; Zhuge, F. Insulin Resistance Is a Risk Factor for Mild Cognitive Impairment in Elderly Adults with type 2 diabetes. Open Life Sci. 2019, 14, 255–261. [Google Scholar] [CrossRef]
- Zheng, P.F.; Chen, L.Z.; Guan, Y.Z.; Liu, P. Weighted gene co-expression network analysis identifies specific modules and hub genes related to coronary artery disease. Sci. Rep. 2021, 11, 6711. [Google Scholar] [CrossRef]
- Doorduijn, A.S.; De Van Der Schueren, M.A.; Van De Rest, O.; De Leeuw, F.A.; Hendriksen, H.M.; Teunissen, C.E.; Scheltens, P.; Van Der Flier, W.M.; Visser, M. Energy intake and expenditure in patients with Alzheimer’s disease and mild cognitive impairment: The NUDAD project. Alzheimers Res. Ther. 2020, 12, 116. [Google Scholar] [CrossRef]
- Boccardi, V.; Murasecco, I.; Mecocci, P. Diabetes drugs in the fight against Alzheimer’s disease. Ageing Res. Rev. 2019, 54, 100936. [Google Scholar] [CrossRef] [PubMed]
- Leppek, K.; Das, R.; Barna, M. Author Correction: Functional 5’ UTR mRNA structures in eukaryotic translation regulation and how to find them. Nat. Rev. Mol. Cell Biol. 2018, 19, 673. [Google Scholar] [CrossRef] [PubMed]
- Zhang, L.B.; Qiu, T.T.; Yang, W.W. Bioinformatic Analysis Reveals the Distinct Role of 5’UTR-Specific m6A RNA Modification in Mice Developing Cerebral Cortices. Dev. Neurosci. 2022, 44, 67–79. [Google Scholar] [CrossRef] [PubMed]
- Funahashi, Y.; Ariza, A.; Emi, R.; Xu, Y.; Shan, W.; Suzuki, K.; Kozawa, S.; Ahammad, R.U.; Wu, M.; Takano, T.; et al. Phosphorylation of Npas4 by MAPK Regulates Reward-Related Gene Expression and Behaviors. Cell Rep. 2019, 29, 3235–3252.e9. [Google Scholar] [CrossRef] [PubMed]
- Wang, X.; Wang, L.T.; Yu, B. UBE2D1 and COX7C as Potential Biomarkers of Diabetes-Related Sepsis. Biomed. Res. Int. 2022, 2022, 9463717. [Google Scholar] [CrossRef]
- Cohen, B.; Altman, T.; Golani-Armon, A.; Savulescu, A.F.; Ibraheem, A.; Mhlanga, M.M.; Perlson, E.; Arava, Y.S. Co-transport of the nuclear-encoded Cox7c mRNA with mitochondria along axons occurs through a coding-region-dependent mechanism. J. Cell Sci. 2022, 135, jcs259436. [Google Scholar] [CrossRef]
- Wang, H.; Han, X.; Gao, S. Identification of potential biomarkers for pathogenesis of Alzheimer’s disease. Hereditas 2021, 158, 23. [Google Scholar] [CrossRef]
- Rostama, B.; Beauchemin, M.; Bouchard, C.; Bernier, E.; Vary, C.P.H.; May, M.; Houseknecht, K.L. Understanding Mechanisms Underlying Non-Alcoholic Fatty Liver Disease (NAFLD) in Mental Illness: Risperidone and Olanzapine Alter the Hepatic Proteomic Signature in Mice. Int. J. Mol. Sci. 2020, 21, 9362. [Google Scholar] [CrossRef]
- Du, B.; Zhang, Y.; Liang, M.; Du, Z.; Li, H.; Fan, C.; Zhang, H.; Jiang, Y.; Bi, X. N6-methyladenosine (m6A) modification and its clinical relevance in cognitive dysfunctions. Aging 2021, 13, 20716–20737. [Google Scholar] [CrossRef]
- Liu, L.; Chen, L.; Li, Z.; Li, L.; Qu, J.; Xue, J. Association between Gene Polymorphisms of Seven Newly Identified Loci and Type 2 Diabetes and the Correlate Quantitative Traits in Chinese Dong Populations. Iran. J. Public Health 2014, 43, 1345–1355. [Google Scholar]
- Larsen, P.A.; Lutz, M.W.; Hunnicutt, K.E.; Mihovilovic, M.; Saunders, A.M.; Yoder, A.D.; Roses, A.D. The Alu neurodegeneration hypothesis: A primate-specific mechanism for neuronal transcription noise, mitochondrial dysfunction, and manifestation of neurodegenerative disease. Alzheimers Dement. 2017, 13, 828–838. [Google Scholar] [CrossRef] [PubMed]
- Hasson, S.A.; Kane, L.A.; Yamano, K.; Huang, C.-H.; Sliter, D.A.; Buehler, E.; Wang, C.; Heman-Ackah, S.M.; Hessa, T.; Guha, R.; et al. High-content genome-wide RNAi screens identify regulators of parkin upstream of mitophagy. Nature 2013, 504, 291–295. [Google Scholar] [CrossRef] [PubMed]
- Malty, R.H.; Jessulat, M.; Jin, K.; Musso, G.; Vlasblom, J.; Phanse, S.; Zhang, Z.; Babu, M. Mitochondrial targets for pharmacological intervention in human disease. J. Proteome Res. 2015, 14, 5–21. [Google Scholar] [CrossRef] [PubMed]
- Shi, D.; Qi, M.; Zhou, L.; Li, X.; Ni, L.; Li, C.; Yuan, T.; Wang, Y.; Chen, Y.; Hu, C.; et al. Endothelial Mitochondrial Preprotein Translocase Tomm7-Rac1 Signaling Axis Dominates Cerebrovascular Network Homeostasis. Arterioscler. Thromb. Vasc. Biol. 2018, 38, 2665–2677. [Google Scholar] [CrossRef]
- Squires, J.E.; Berry, M.J. Eukaryotic selenoprotein synthesis: Mechanistic insight incorporating new factors and new functions for old factors. IUBMB Life 2008, 60, 232–235. [Google Scholar] [CrossRef]








Disclaimer/Publisher’s Note: The statements, opinions and data contained in all publications are solely those of the individual author(s) and contributor(s) and not of MDPI and/or the editor(s). MDPI and/or the editor(s) disclaim responsibility for any injury to people or property resulting from any ideas, methods, instructions or products referred to in the content. |
© 2024 by the authors. Licensee MDPI, Basel, Switzerland. This article is an open access article distributed under the terms and conditions of the Creative Commons Attribution (CC BY) license (https://creativecommons.org/licenses/by/4.0/).
Share and Cite
Cao, Z.; Du, Y.; Xu, G.; Zhu, H.; Ma, Y.; Wang, Z.; Wang, S.; Lu, Y. From Diabetes to Dementia: Identifying Key Genes in the Progression of Cognitive Impairment. Brain Sci. 2024, 14, 1035. https://doi.org/10.3390/brainsci14101035
Cao Z, Du Y, Xu G, Zhu H, Ma Y, Wang Z, Wang S, Lu Y. From Diabetes to Dementia: Identifying Key Genes in the Progression of Cognitive Impairment. Brain Sciences. 2024; 14(10):1035. https://doi.org/10.3390/brainsci14101035
Chicago/Turabian StyleCao, Zhaoming, Yage Du, Guangyi Xu, He Zhu, Yinchao Ma, Ziyuan Wang, Shaoying Wang, and Yanhui Lu. 2024. "From Diabetes to Dementia: Identifying Key Genes in the Progression of Cognitive Impairment" Brain Sciences 14, no. 10: 1035. https://doi.org/10.3390/brainsci14101035
APA StyleCao, Z., Du, Y., Xu, G., Zhu, H., Ma, Y., Wang, Z., Wang, S., & Lu, Y. (2024). From Diabetes to Dementia: Identifying Key Genes in the Progression of Cognitive Impairment. Brain Sciences, 14(10), 1035. https://doi.org/10.3390/brainsci14101035

