Prediction of 3-Year Survival in Patients with Cognitive Impairment Based on Demographics, Neuropsychological Data, and Comorbidities: A Prospective Cohort Study
Abstract
:1. Introduction
2. Materials and Methods
2.1. Design and Setting
2.2. Ethical Considerations
2.3. Patients
2.4. Neuropsychological Assessment
2.5. Charlson Comorbidity Index (CCI) Calculation
2.6. Data Preparation
2.7. Statistical Analyses
3. Results
3.1. Study Flowchart
3.2. Study Population
3.3. Training of the Prediction Model
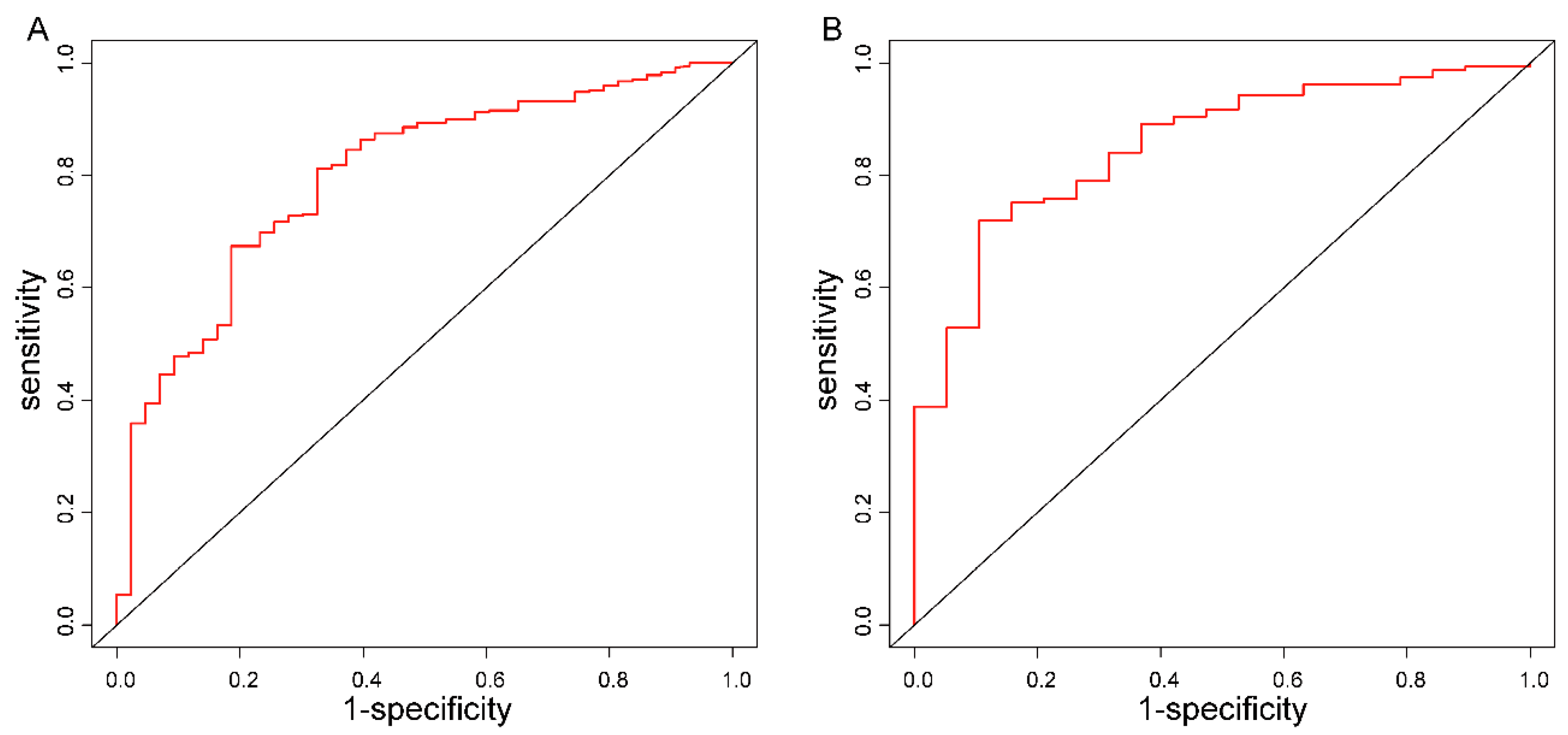
3.4. Validation of the Prediction Model
4. Discussion
5. Conclusions
Author Contributions
Funding
Institutional Review Board Statement
Informed Consent Statement
Data Availability Statement
Acknowledgments
Conflicts of Interest
References
- Livingston, G.; Sommerlad, A.; Orgeta, V.; Costafreda, S.G.; Huntley, J.; Ames, D.; Ballard, C.; Banerjee, S.; Burns, A.; Cohen-Mansfield, J.; et al. Dementia prevention, intervention, and care. Lancet 2017, 390, 2673–2734. [Google Scholar] [CrossRef] [PubMed]
- Huang, K.; Lin, Y.; Yang, L.; Wang, Y.; Cai, S.; Pang, L.; Wu, X.; Huang, L. A multipredictor model to predict the conversion of mild cognitive impairment to Alzheimer’s disease by using a predictive nomogram. Neuropsychopharmacology 2020, 45, 358–366. [Google Scholar] [CrossRef] [PubMed]
- Wolff, R.F.; Moons, K.G.M.; Riley, R.D.; Whiting, P.F.; Westwood, M.; Collins, G.S.; Reitsma, J.B.; Kleijnen, J.; Mallett, S. PROBAST: A Tool to Assess the Risk of Bias and Applicability of Prediction Model Studies. Ann. Intern. Med. 2019, 170, 51–58. [Google Scholar] [CrossRef] [PubMed]
- Shigemizu, D.; Mori, T.; Akiyama, S.; Higaki, S.; Watanabe, H.; Sakurai, T.; Niida, S.; Ozaki, K. Identification of potential blood biomarkers for early diagnosis of Alzheimer’s disease through RNA sequencing analysis. Alzheimer’s Res. Ther. 2020, 12, 87. [Google Scholar] [CrossRef]
- Sörensen, A.; Blazhenets, G.; Rücker, G.; Schiller, F.; Meyer, P.T.; Frings, L. Prognosis of conversion of mild cognitive impairment to Alzheimer’s dementia by voxel-wise Cox regression based on FDG PET data. NeuroImage Clin. 2019, 21, 101637. [Google Scholar] [CrossRef]
- Tombaugh, T.N.; McIntyre, N.J. The mini-mental state examination: A comprehensive review. J. Am. Geriatr. Soc. 1992, 40, 922–935. [Google Scholar] [CrossRef]
- Lawton, M.P.; Brody, E.M. Assessment of older people: Self-maintaining and instrumental activities of daily living. Gerontologist 1969, 9, 179–186. [Google Scholar] [CrossRef]
- Cummings, J.L.; Mega, M.; Gray, K.; Rosenberg-Thompson, S.; Carusi, D.A.; Gornbein, J. The Neuropsychiatric Inventory: Comprehensive assessment of psychopathology in dementia. Neurology 1994, 44, 2308–2314. [Google Scholar] [CrossRef]
- Zeng, Y.; Feng, Q.; Hesketh, T.; Christensen, K.; Vaupel, J.W. Survival, disabilities in activities of daily living, and physical and cognitive functioning among the oldest-old in China: A cohort study. Lancet 2017, 389, 1619–1629. [Google Scholar] [CrossRef]
- Gruber-Baldini, A.L.; Hosseini, M.; Orwig, D.; Grattan, L.; Chiles Shaffer, N.; Hochberg, M.; Magaziner, J. Cognitive Differences between Men and Women who Fracture their Hip and Impact on Six-Month Survival. J. Am. Geriatr. Soc. 2017, 65, e64–e69. [Google Scholar] [CrossRef]
- Artero, S.; Ancelin, M.L.; Portet, F.; Dupuy, A.; Berr, C.; Dartigues, J.F.; Tzourio, C.; Rouaud, O.; Poncet, M.; Pasquier, F.; et al. Risk profiles for mild cognitive impairment and progression to dementia are gender specific. J. Neurol. Neurosurg. Psychiatry 2008, 79, 979–984. [Google Scholar] [CrossRef] [PubMed]
- Cummings, J. The Neuropsychiatric Inventory: Development and Applications. J. Geriatr. Psychiatry Neurol. 2020, 33, 73–84. [Google Scholar] [CrossRef] [PubMed]
- Liew, T.M. Symptom Clusters of Neuropsychiatric Symptoms in Mild Cognitive Impairment and Their Comparative Risks of Dementia: A Cohort Study of 8530 Older Persons. J. Am. Med. Dir. Assoc. 2019, 20, 1054.e1051–1054.e1059. [Google Scholar] [CrossRef] [PubMed]
- Albert, M.S.; DeKosky, S.T.; Dickson, D. The diagnosis of mild cognitive impairment due to Alzheimer’s disease: Recommendations from the National Institute on Aging-Alzheimer’s Association workgroups on diagnostic guidelines for Alzheimer’s disease. Alzheimer’s Dement. 2011, 7, 270–279. [Google Scholar] [CrossRef] [PubMed]
- Sperling, R.A.; Aisen, P.S.; Beckett, L.A.; Bennett, D.A.; Craft, S.; Fagan, A.M.; Iwatsubo, T.; Jack, C.R.; Kaye, J.; Montine, T.J.; et al. Toward defining the preclinical stages of Alzheimer’s disease: Recommendations from the National Institute on Aging-Alzheimer’s Association workgroups on diagnostic guidelines for Alzheimer’s disease. Alzheimer’s Dement. J. Alzheimer’s Assoc. 2011, 7, 280–292. [Google Scholar] [CrossRef] [PubMed]
- McKhann, G.M.; Knopman, D.S.; Chertkow, H.; Hyman, B.T.; Jack, C.R.; Kawas, C.H.; Klunk, W.E.; Koroshetz, W.J.; Manly, J.J.; Mayeux, R.; et al. The diagnosis of dementia due to Alzheimer’s disease: Recommendations from the National Institute on Aging-Alzheimer’s Association workgroups on diagnostic guidelines for Alzheimer’s disease. Alzheimer’s Dement. J. Alzheimer’s Assoc. 2011, 7, 263–269. [Google Scholar] [CrossRef]
- Jia, J.-P.; Wang, Y.-H.; Li, Y.-S. Chinese guidelines for diagnosis and management of cognitive impairment and dementia (II): Dementia subtypes and their criteria. Zhonghua Yi Xue Za Zhi 2011, 91, 651–655. [Google Scholar]
- Wolfson, C.; Wolfson, D.B.; Asgharian, M.; M’Lan, C.E.; Ostbye, T.; Rockwood, K.; Hogan, D.B. A reevaluation of the duration of survival after the onset of dementia. N. Engl. J. Med. 2001, 344, 1111–1116. [Google Scholar] [CrossRef]
- Crum, R.M.; Anthony, J.C.; Bassett, S.S.; Folstein, M.F. Population-based norms for the Mini-Mental State Examination by age and educational level. JAMA 1993, 269, 2386–2391. [Google Scholar] [CrossRef]
- Lv, X.; Li, W.; Ma, Y.; Chen, H.; Zeng, Y.; Yu, X.; Hofman, A.; Wang, H. Cognitive decline and mortality among community-dwelling Chinese older people. BMC Med. 2019, 17, 63. [Google Scholar] [CrossRef]
- Charlson, M.E.; Carrozzino, D.; Guidi, J.; Patierno, C. Charlson Comorbidity Index: A Critical Review of Clinimetric Properties. Psychother. Psychosom. 2022, 91, 8–35. [Google Scholar] [CrossRef] [PubMed]
- Wu, Y.; Zhang, X.; He, Y.; Cui, J.; Ge, X.; Han, H.; Luo, Y.; Liu, L.; Wang, X.; Yu, H. Predicting Alzheimer’s disease based on survival data and longitudinally measured performance on cognitive and functional scales. Psychiatry Res. 2020, 291, 113201. [Google Scholar] [CrossRef] [PubMed]
- Jekel, K.; Damian, M.; Wattmo, C.; Hausner, L.; Bullock, R.; Connelly, P.; Dubois, B.; Eriksdotter, M.; Ewers, M.; Graessel, E.; et al. Mild cognitive impairment and deficits in instrumental activities of daily living: A systematic review. Alzheimer’s Res. Ther. 2015, 7, 17. [Google Scholar] [CrossRef] [PubMed]
- Mitchell, S.L.; Miller, S.C.; Teno, J.M.; Davis, R.B.; Shaffer, M.L. The advanced dementia prognostic tool: A risk score to estimate survival in nursing home residents with advanced dementia. J. Pain Symptom. Manag. 2010, 40, 639–651. [Google Scholar] [CrossRef] [PubMed]
- Wang, L.; Sha, L.; Lakin, J.R.; Bynum, J.; Bates, D.W.; Hong, P.; Zhou, L. Development and Validation of a Deep Learning Algorithm for Mortality Prediction in Selecting Patients With Dementia for Earlier Palliative Care Interventions. JAMA Netw. Open 2019, 2, e196972. [Google Scholar] [CrossRef] [PubMed]
- Jessen, F.; Wiese, B.; Bickel, H.; Eiffländer-Gorfer, S.; Fuchs, A.; Kaduszkiewicz, H.; Köhler, M.; Luck, T.; Mösch, E.; Pentzek, M.; et al. Prediction of dementia in primary care patients. PLoS ONE 2011, 6, e16852. [Google Scholar] [CrossRef]
- Velayudhan, L.; Ryu, S.-H.; Raczek, M.; Philpot, M.; Lindesay, J.; Critchfield, M.; Livingston, G. Review of brief cognitive tests for patients with suspected dementia. Int. Psychogeriatr. 2014, 26, 1247–1262. [Google Scholar] [CrossRef]
- Tsoi, K.K.F.; Chan, J.Y.C.; Hirai, H.W.; Wong, S.Y.S.; Kwok, T.C.Y. Cognitive Tests to Detect Dementia: A Systematic Review and Meta-analysis. JAMA Intern. Med. 2015, 175, 1450–1458. [Google Scholar] [CrossRef]
- Luck, T.; Luppa, M.; Wiese, B.; Maier, W.; van den Bussche, H.; Eisele, M.; Jessen, F.; Weeg, D.; Weyerer, S.; Pentzek, M.; et al. Prediction of incident dementia: Impact of impairment in instrumental activities of daily living and mild cognitive impairment-results from the German study on ageing, cognition, and dementia in primary care patients. Am. J. Geriatr. Psychiatry 2012, 20, 943–954. [Google Scholar] [CrossRef]
- Huang, M.-F.; Lee, W.-J.; Yeh, Y.-C.; Lin, Y.-S.; Lin, H.-F.; Wang, S.-J.; Yang, Y.-H.; Chen, C.-S.; Fuh, J.-L. Neuropsychiatric symptoms and mortality among patients with mild cognitive impairment and dementia due to Alzheimer’s disease. J. Formos. Med. Assoc. 2022, 121, 1705–1713. [Google Scholar] [CrossRef]
- Keszycki, R.M.; Fisher, D.W.; Dong, H. The Hyperactivity-Impulsivity-Irritiability-Disinhibition-Aggression-Agitation Domain in Alzheimer’s Disease: Current Management and Future Directions. Front. Pharmacol. 2019, 10, 1109. [Google Scholar] [CrossRef] [PubMed]
- Chapman, K.R.; Tremont, G.; Malloy, P.; Spitznagel, M.B. The Role of Sexual Disinhibition to Predict Caregiver Burden and Desire to Institutionalize Among Family Dementia Caregivers. J. Geriatr. Psychiatry Neurol. 2020, 33, 42–51. [Google Scholar] [CrossRef]
- Lesser, J.M.; Hughes, S. Psychosis-related disturbances. Psychosis, agitation, and disinhibition in Alzheimer’s disease: Definitions and treatment options. Geriatrics 2006, 61, 14–20. [Google Scholar] [PubMed]
- Gaugler, J.E.; Mittelman, M.S.; Hepburn, K.; Newcomer, R. Predictors of change in caregiver burden and depressive symptoms following nursing home admission. Psychol. Aging 2009, 24, 385–396. [Google Scholar] [CrossRef] [PubMed]
- Zahodne, L.; Ornstein, K.; Cosentino, S.; Devanand, D.; Stern, Y. Longitudinal relationships between Alzheimer disease progression and psychosis, depressed mood, and agitation/aggression. Am. J. Geriatr. Psychiatry 2015, 23, 130–140. [Google Scholar] [CrossRef] [PubMed]
- Lyketsos, C.G.; Lopez, O.; Jones, B.; Fitzpatrick, A.L.; Breitner, J.; DeKosky, S. Prevalence of neuropsychiatric symptoms in dementia and mild cognitive impairment: Results from the cardiovascular health study. JAMA 2002, 288, 1475–1483. [Google Scholar] [CrossRef]
- Zhao, Q.-F.; Tan, L.; Wang, H.-F.; Jiang, T.; Tan, M.-S.; Tan, L.; Xu, W.; Li, J.-Q.; Wang, J.; Lai, T.-J.; et al. The prevalence of neuropsychiatric symptoms in Alzheimer’s disease: Systematic review and meta-analysis. J. Affect. Disord. 2016, 190, 264–271. [Google Scholar] [CrossRef]
- van Engelen, M.-P.E.; Gossink, F.T.; de Vijlder, L.S.; Meursing, J.R.A.; Scheltens, P.; Dols, A.; Pijnenburg, Y.A.L. End Stage Clinical Features and Cause of Death of Behavioral Variant Frontotemporal Dementia and Young-Onset Alzheimer’s Disease. J. Alzheimers Dis. 2020, 77, 1169–1180. [Google Scholar] [CrossRef]
- Tang, P.-L.; Lin, H.-S.; Hsu, C.-J. Predicting in-hospital mortality for dementia patients after hip fracture surgery—A comparison between the Charlson Comorbidity Index (CCI) and the Elixhauser Comorbidity Index. J. Orthop. Sci. 2021, 26, 396–402. [Google Scholar] [CrossRef]
- Charlson, M.E.; Pompei, P.; Ales, K.L.; MacKenzie, C.R. A new method of classifying prognostic comorbidity in longitudinal studies: Development and validation. J. Chronic Dis. 1987, 40, 373–383. [Google Scholar] [CrossRef]
- Kaczynski, A.; Michalowsky, B.; Eichler, T.; Thyrian, J.R.; Wucherer, D.; Zwingmann, I.; Hoffmann, W. Comorbidity in Dementia Diseases and Associated Health Care Resources Utilization and Cost. J. Alzheimers Dis. 2019, 68, 635–646. [Google Scholar] [CrossRef] [PubMed]
- Strand, B.H.; Knapskog, A.-B.; Persson, K.; Edwin, T.H.; Amland, R.; Mjørud, M.; Bjertness, E.; Engedal, K.; Selbæk, G. Survival and years of life lost in various aetiologies of dementia, mild cognitive impairment (MCI) and subjective cognitive decline (SCD) in Norway. PLoS ONE 2018, 13, e0204436. [Google Scholar] [CrossRef] [PubMed]




| Level | Overall | Training | Validation | p | |
|---|---|---|---|---|---|
| n | 587 | 411 | 176 | ||
| Sex (%) | male | 238 (40.5%) | 168 (40.9%) | 70 (39.8%) | 0.88 |
| female | 349 (59.5%) | 243 (59.1%) | 106 (60.2%) | ||
| Survival (%) | deceased | 62 (10.6%) | 43 (10.5%) | 19 (10.8%) | 1.00 |
| living | 525 (89.4%) | 368 (89.5%) | 157 (89.2%) | ||
| Delusion (%) | no | 446 (76.0%) | 313 (76.2%) | 133 (75.6%) | 0.96 |
| yes | 141 (24.0%) | 98 (23.8%) | 43 (24.4%) | ||
| Hallucination (%) | no | 458 (78.0%) | 318 (77.4%) | 140 (79.5%) | 0.64 |
| yes | 129 (22.0%) | 93 (22.6%) | 36 (20.5%) | ||
| Agitation (%) | no | 491 (83.6%) | 337 (82.0%) | 154 (87.5%) | 0.13 |
| yes | 96 (16.4%) | 74 (18.0%) | 22 (12.5%) | ||
| Depression (%) | no | 442 (75.3%) | 308 (74.9%) | 134 (76.1%) | 0.84 |
| yes | 145 (24.7%) | 103 (25.1%) | 42 (23.9%) | ||
| Anxiety (%) | no | 433 (73.8%) | 297 (72.3%) | 136 (77.3%) | 0.25 |
| yes | 154 (26.2%) | 114 (27.7%) | 40 (22.7%) | ||
| Euphoria (%) | no | 568 (96.8%) | 399 (97.1%) | 169 (96.0%) | 0.68 |
| yes | 19 (3.2%) | 12 (2.9%) | 7 (4.0%) | ||
| Apathy (%) | no | 396 (67.5%) | 275 (66.9%) | 121 (68.8%) | 0.73 |
| yes | 191 (32.5%) | 136 (33.1%) | 55 (31.2%) | ||
| Disinhibition (%) | no | 529 (90.1%) | 366 (89.1%) | 163 (92.6%) | 0.24 |
| yes | 58 (9.9%) | 45 (10.9%) | 13 (7.4%) | ||
| Irritability (%) | no | 394 (67.1%) | 276 (67.2%) | 118 (67.0%) | 1.00 |
| yes | 193 (32.9%) | 135 (32.8%) | 58 (33.0%) | ||
| Aberrant motor | no | 510 (86.9%) | 353 (85.9%) | 157 (89.2%) | 0.34 |
| behavior (%) | yes | 77 (13.1%) | 58 (14.1%) | 19 (10.8%) | |
| Night behavior (%) | 0 | 458 (78.0%) | 324 (78.8%) | 134 (76.1%) | 0.54 |
| 1 | 129 (22.0%) | 87 (21.2%) | 42 (23.9%) | ||
| Appetite/eating (%) | 0 | 532 (90.6%) | 367 (89.3%) | 165 (93.8) | 0.12 |
| 1 | 55 (9.4%) | 44 (10.7%) | 11 (6.2%) | ||
| CCI (%) | 0 | 370 (63.0%) | 264 (64.2%) | 106 (60.2%) | 0.41 |
| 1 | 217 (37.0%) | 147 (35.8%) | 70 (39.8%) | ||
| Age (median [IQR]) | 76.00 [68.00, 82.00] | 76.00 [69.00, 82.00] | 75.00 [67.00, 80.00] | 0.13 | |
| MMSE (median [IQR]) | 18.00 [10.00, 25.00] | 18.00 [9.00, 24.00] | 19.00 [11.00, 25.00] | 0.23 | |
| Education years (median [IQR]) | 9.00 [6.00, 12.00] | 9.00 [6.00, 12.00] | 9.00 [6.00, 12.00] | 0.25 | |
| IADL (median [IQR]) | 14.00 [10.00, 21.00] | 14.00 [10.00, 21.00] | 14.00 [10.00, 21.00] | 0.86 |
| Level | Overall | Deceased | Living | p | |
|---|---|---|---|---|---|
| n | 411 | 43 | 368 | ||
| Sex (%) | male | 168 (40.9%) | 20 (46.5%) | 148 (40.2%) | 0.53 |
| female | 243 (59.1%) | 23 (53.5%) | 220 (59.8%) | ||
| Delusion (%) | no | 315 (76.6%) | 30 (69.8%) | 285 (77.4%) | 0.35 |
| yes | 96 (23.4%) | 13 (30.2%) | 83 (22.6%) | ||
| Hallucination (%) | no | 330 (80.3%) | 32 (74.4%) | 298 (81.0%) | 0.41 |
| yes | 81 (19.7%) | 11 (25.6%) | 70 (19.0%) | ||
| Agitation (%) | no | 350 (85.2%) | 34 (79.1%) | 316 (85.9%) | 0.34 |
| yes | 61 (14.8%) | 9 (20.9%) | 52 (14.1%) | ||
| Depression (%) | no | 301 (73.2%) | 33 (76.7%) | 268 (72.8%) | 0.71 |
| yes | 110 (26.8%) | 10 (23.3%) | 100 (27.2%) | ||
| Anxiety (%) | no | 301 (73.2%) | 28 (65.1%) | 273 (74.2%) | 0.28 |
| yes | 110 (26.8%) | 15 (34.9%) | 95 (25.8%) | ||
| Euphoria (%) | no | 399 (97.1%) | 39 (90.7%) | 360 (97.8%) | 0.032 * |
| yes | 12 (2.9%) | 4 (9.3%) | 8 (2.2%) | ||
| Apathy (%) | no | 276 (67.2%) | 25 (58.1%) | 251 (68.2%) | 0.25 |
| yes | 135 (32.8%) | 18 (41.9%) | 117 (31.8%) | ||
| Disinhibition (%) | no | 372 (90.5%) | 30 (69.8%) | 342 (92.9%) | <0.001 *** |
| yes | 39 (9.5%) | 13 (30.2%) | 26 (7.1%) | ||
| Irritability (%) | no | 272 (66.2%) | 29 (67.4%) | 243 (66.0%) | 0.99 |
| yes | 139 (33.8%) | 14 (32.6%) | 125 (34.0%) | ||
| Aberrant motor behavior (%) | no | 357 (86.9%) | 38 (88.4%) | 319 (86.7%) | 0.94 |
| yes | 54 (13.1%) | 5 (11.6%) | 49 (13.3%) | ||
| Night behavior (%) | no | 319 (77.6%) | 31 (72.1%) | 288 (78.3%) | 0.47 |
| yes | 92 (22.4%) | 12 (27.9%) | 80 (21.7%) | ||
| Appetite/eating (%) | no | 375 (91.2%) | 41 (95.3%) | 334 (90.8%) | 0.47 |
| yes | 36 (8.8%) | 2 (4.7%) | 34 (9.2%) | ||
| CCI (%) | ≤1 | 254 (61.8%) | 20 (46.5%) | 234 (63.6%) | 0.044 * |
| >1 | 157 (38.2%) | 23 (53.5%) | 134 (36.4%) | ||
| Age (median [IQR]) | 75.00 [68.00, 80.50] | 79.00 [75.50, 84.50] | 75.00 [67.75, 80.00] | <0.001 *** | |
| MMSE (median [IQR]) | 19.00 [10.00, 25.00] | 9.00 [5.00, 15.00] | 19.00 [11.75, 25.00] | <0.001 *** | |
| Education years (median [IQR]) | 9.00 [6.00, 12.00] | 9.00 [3.00, 9.50] | 9.00 [6.00, 12.00] | 0.12 | |
| IADL (median [IQR]) | 14.00 [10.00, 21.00] | 21.00 [15.50, 27.50] | 13.00 [9.75, 20.00] | <0.001 *** | |
Disclaimer/Publisher’s Note: The statements, opinions and data contained in all publications are solely those of the individual author(s) and contributor(s) and not of MDPI and/or the editor(s). MDPI and/or the editor(s) disclaim responsibility for any injury to people or property resulting from any ideas, methods, instructions or products referred to in the content. |
© 2023 by the authors. Licensee MDPI, Basel, Switzerland. This article is an open access article distributed under the terms and conditions of the Creative Commons Attribution (CC BY) license (https://creativecommons.org/licenses/by/4.0/).
Share and Cite
Xing, D.; Chen, L.; Zhang, W.; Yi, Q.; Huang, H.; Wu, J.; Yu, W.; Lü, Y. Prediction of 3-Year Survival in Patients with Cognitive Impairment Based on Demographics, Neuropsychological Data, and Comorbidities: A Prospective Cohort Study. Brain Sci. 2023, 13, 1220. https://doi.org/10.3390/brainsci13081220
Xing D, Chen L, Zhang W, Yi Q, Huang H, Wu J, Yu W, Lü Y. Prediction of 3-Year Survival in Patients with Cognitive Impairment Based on Demographics, Neuropsychological Data, and Comorbidities: A Prospective Cohort Study. Brain Sciences. 2023; 13(8):1220. https://doi.org/10.3390/brainsci13081220
Chicago/Turabian StyleXing, Dianxia, Lihua Chen, Wenbo Zhang, Qingjie Yi, Hong Huang, Jiani Wu, Weihua Yu, and Yang Lü. 2023. "Prediction of 3-Year Survival in Patients with Cognitive Impairment Based on Demographics, Neuropsychological Data, and Comorbidities: A Prospective Cohort Study" Brain Sciences 13, no. 8: 1220. https://doi.org/10.3390/brainsci13081220
APA StyleXing, D., Chen, L., Zhang, W., Yi, Q., Huang, H., Wu, J., Yu, W., & Lü, Y. (2023). Prediction of 3-Year Survival in Patients with Cognitive Impairment Based on Demographics, Neuropsychological Data, and Comorbidities: A Prospective Cohort Study. Brain Sciences, 13(8), 1220. https://doi.org/10.3390/brainsci13081220

