Convergent Validity of the Timed Walking Tests with Functional Ambulatory Category in Subacute Stroke
Abstract
1. Introduction
2. Materials and Methods
Statistical Analysis
3. Results
3.1. Correlation Analysis
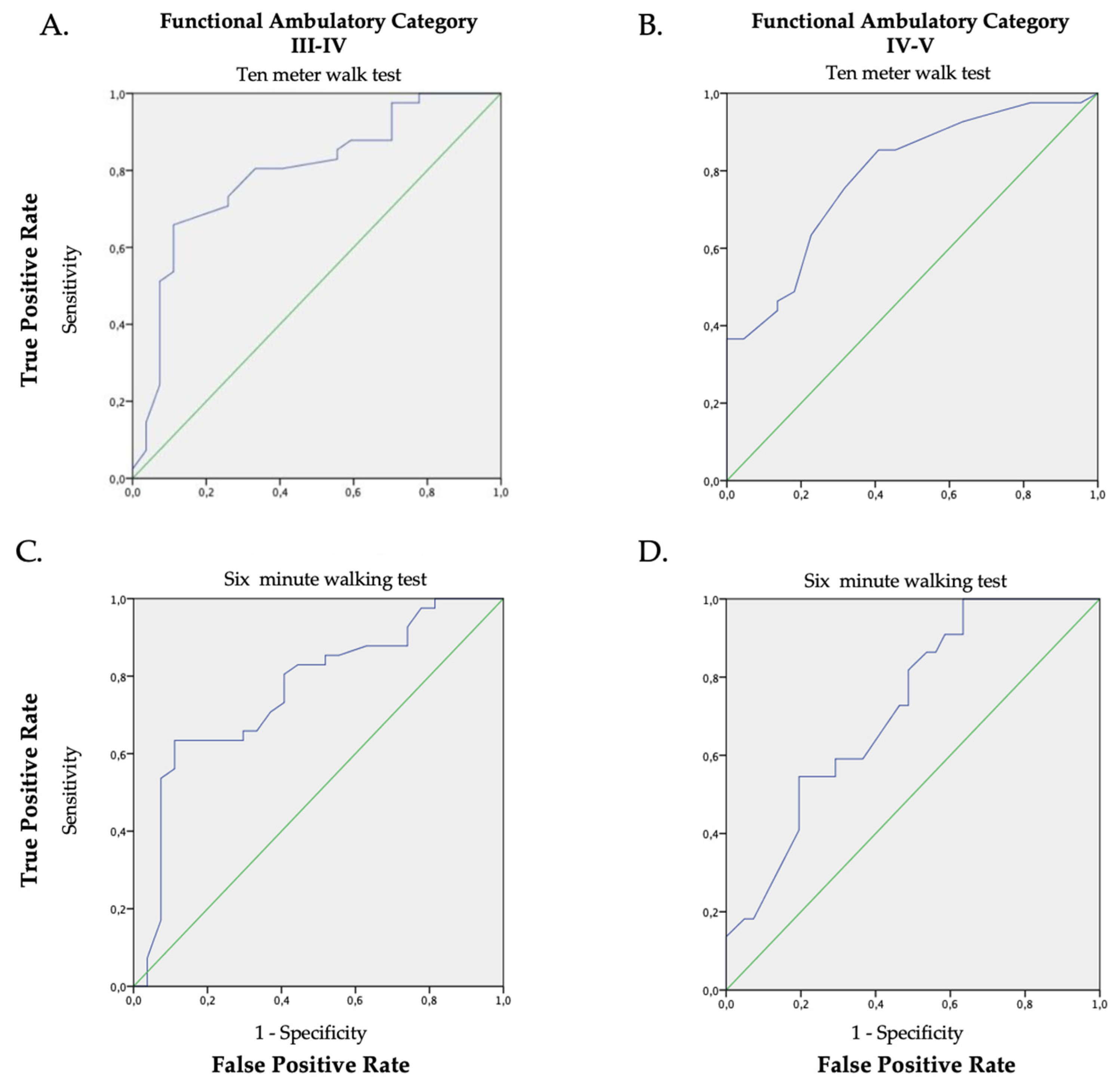
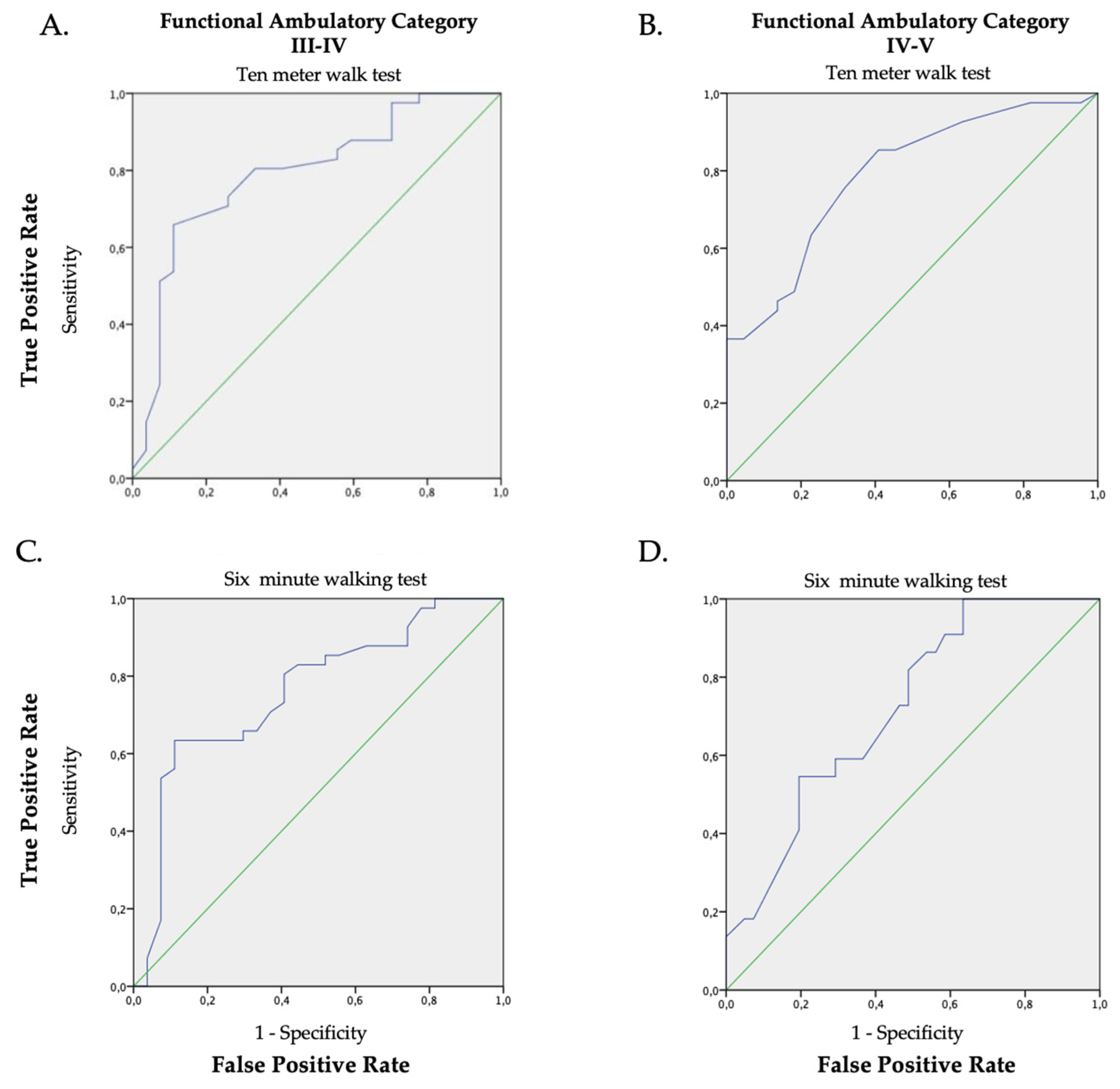
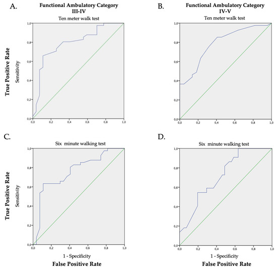
3.2. Receiving Operating Curve and Cut-Off Value
3.3. Ischemic vs. Hemorrhagic
4. Discussion
4.1. Limitations
4.2. Future Perspective
5. Conclusions
Author Contributions
Funding
Institutional Review Board Statement
Informed Consent Statement
Data Availability Statement
Acknowledgments
Conflicts of Interest
References
- Bushnell, C.; Bettger, J.P.; Cockroft, K.M.; Cramer, S.C.; Edelen, M.O.; Hanley, D.; Yenokyan, G. Chronic stroke outcome measures for motor function intervention trials: Expert panel recommendations. Circ. Cardiovasc. Qual. Outcomes 2015, 8 (Suppl. S3), S163–S169. [Google Scholar] [CrossRef] [PubMed]
- Kuriakose, D.; Xiao, Z. Pathophysiology and treatment of stroke: Present status and future perspectives. Int. J. Mol. Sci. 2020, 21, 7609. [Google Scholar] [CrossRef] [PubMed]
- Mendis, S. Stroke disability and rehabilitation of stroke: World Health Organization perspective. Int. J. Stroke 2013, 8, 3–4. [Google Scholar] [CrossRef]
- Pollock, A.; Baer, G.; Campbell, P.; Choo, P.L.; Forster, A.; Morris, J.; Pomeroy, V.M.; Langhorne, P. Physical rehabilitation approaches for the recovery of function and mobility following stroke. Cochrane Database Syst. Rev. 2014, 4, CD001920. [Google Scholar]
- De Bartolo, D.; Morone, G.; Lupo, A.; Aloise, F.; Baricich, A.; Di Francesco, D.; Iosa, M. From paper to informatics: The Post Soft Care-App, an easy-to-use and fast tool to help therapists identify unmet needs in stroke patients. Funct. Neurol. 2018, 33, 200–205. [Google Scholar] [PubMed]
- Kollen, B.; Van De Port, I.; Lindeman, E.; Twisk, J.; Kwakkel, G. Predicting improvement in gait after stroke: A longitudinal prospective study. Stroke 2005, 36, 2676–2680. [Google Scholar] [CrossRef]
- Mohan, D.M.; Khandoker, A.H.; Wasti, S.A.; Ismail Ibrahim Ismail Alali, S.; Jelinek, H.F.; Khalaf, K. Assessment Methods of Post-stroke Gait: A Scoping Review of Technology-Driven Approaches to Gait Characterization and Analysis. Front. Neurol. 2021, 12, 650024. [Google Scholar] [CrossRef]
- Duncan, P.W.; Zorowitz, R.; Bates, B.; Choi, J.Y.; Glasberg, J.J.; Graham, G.D.; Katz, R.C.; Lamberty, K.; Reker, D. Management of Adult Stroke Rehabilitation Care: A clinical practice guideline. Stroke 2005, 36, e100–e143. [Google Scholar] [CrossRef]
- Dimyan, M.A.; Cohen, L.G. Neuroplasticity in the context of motor rehabilitation after stroke. Nat. Rev. Neurol. 2011, 7, 76–85. [Google Scholar] [CrossRef]
- Martino Cinnera, A.; Bonnì, S.; Pellicciari, M.C.; Giorgi, F.; Caltagirone, C.; Koch, G. Health-related quality of life (HRQoL) after stroke: Positive relationship between lower extremity and balance recovery. Top. Stroke Rehabil. 2020, 27, 534–540. [Google Scholar] [CrossRef]
- Schindl, M.R.; Forstner, C.; Kern, H.; Zipko, H.T.; Rupp, M.; Zifko, U.A. Evaluation of a German version of the Rivermead Mobility Index (RMI) in acute and chronic stroke patients. Eur. J. Neurol. 2000, 7, 523–528. [Google Scholar] [CrossRef]
- Van Bloemendaal, M.; Bout, W.; Bus, S.A.; Nollet, F.; Geurts, A.C.; Beelen, A. Validity and reproducibility of the Functional Gait Assessment in persons after stroke. Clin. Rehabil. 2019, 33, 94–103. [Google Scholar] [CrossRef]
- Ohura, T.; Hase, K.; Nakajima, Y.; Nakayama, T. Validity and reliability of a performance evaluation tool based on the modified Barthel Index for stroke patients. BMC Med. Res. Methodol. 2017, 17, 131. [Google Scholar] [CrossRef]
- Lim, J.Y.; An, S.H.; Park, D.S. Walking velocity and modified rivermead mobility index as discriminatory measures for functional ambulation classification of chronic stroke patients. Hong Kong Physiother. J. 2019, 39, 125–132. [Google Scholar] [CrossRef]
- De Bartolo, D.; Belluscio, V.; Vannozzi, G.; Morone, G.; Antonucci, G.; Giordani, G.; Santucci, S.; Resta, F.; Marinozzi, F.; Bini, F.; et al. Sensorized Assessment of Dynamic Locomotor Imagery in People with Stroke and Healthy Subjects. Sensors 2020, 20, 4545. [Google Scholar] [CrossRef]
- Caldas, R.; Mundt, M.; Potthast, W.; de Lima Neto, F.B.; Markert, B. A systematic review of gait analysis methods based on inertial sensors and adaptive algorithms. Gait Posture 2017, 57, 204–210. [Google Scholar] [CrossRef]
- Picerno, P.; Iosa, M.; D’Souza, C.; Benedetti, M.G.; Paolucci, S.; Morone, G. Wearable inertial sensors for human movement analysis: A five-year update. Expert Rev. Med. Devices 2021, 18 (Suppl. S1), 79–94. [Google Scholar] [CrossRef]
- Wade, D.T. Measurement in neurological rehabilitation. Curr. Opin. Neurol. Neurosurg. 1992, 5, 682–686. [Google Scholar]
- Price, R.; Choy, N.L. Investigating the relationship of the functional gait assessment to spatiotemporal parameters of gait and quality of life in individuals with stroke. J. Geriatr. Phys. Ther. 2019, 42, 256–264. [Google Scholar] [CrossRef]
- Collen, F.M.; Wade, D.T.; Bradshaw, C.M. Mobility after stroke: Reliability of measures of impairment and disability. Int. Disabil. Stud. 1990, 12, 6–9. [Google Scholar] [CrossRef]
- Butland, R.J.; Pang, J.; Gross, E.R.; Woodcock, A.A.; Geddes, D.M. Two-, six-, and 12-minute walking tests in respiratory disease. Br. Med. J. (Clin. Res. Ed.) 1982, 284, 1607. [Google Scholar] [CrossRef] [PubMed]
- Morone, G.; Iosa, M.; Pratesi, L.; Paolucci, S. Can overestimation of walking ability increase the risk of falls in people in the subacute stage after stroke on their return home? Gait Posture 2014, 39, 965–970. [Google Scholar] [CrossRef] [PubMed]
- Mehrholz, J.; Wagner, K.; Rutte, K.; Meiβner, D.; Pohl, M. Predictive validity and responsiveness of the functional ambulation category in hemiparetic patients after stroke. Arch. Phys. Med. Rehabil. 2007, 88, 1314–1319. [Google Scholar] [CrossRef] [PubMed]
- Tombaugh, T.N.; McIntyre, N.J. The mini-mental state examination: A comprehensive review. J. Am. Geriatr. Soc. 1992, 40, 922–935. [Google Scholar] [CrossRef] [PubMed]
- Matos Casano, H.A.; Anjum, F. Six-Minute Walk Test. 2023 April 27. In StatPearls; StatPearls Publishing: Treasure Island, FL, USA, 2023; PMID: 35015445. [Google Scholar]
- Middleton, A.; Fritz, S.L.; Lusardi, M. Walking speed: The functional vital sign. J. Aging Phys. Act. 2015, 23, 314–322. [Google Scholar] [CrossRef]
- Lindholm, B.; Nilsson, M.H.; Hansson, O.; Hagell, P. The clinical significance of 10-m walk test standardizations in Parkinson’s disease. J. Neurol. 2018, 265, 1829–1835. [Google Scholar] [CrossRef]
- Regan, E.; Middleton, A.; Stewart, J.C.; Wilcox, S.; Pearson, J.L.; Fritz, S. The six-minute walk test as a fall risk screening tool in community programs for persons with stroke: A cross-sectional analysis. Top. Stroke Rehabil. 2020, 27, 118–126. [Google Scholar] [CrossRef]
- Dunn, A.; Marsden, D.L.; Nugent, E.; Van Vliet, P.; Spratt, N.J.; Attia, J.; Callister, R. Protocol variations and six-minute walk test performance in stroke survivors: A systematic review with meta-analysis. Stroke Res. Treat. 2015, 2015, 484813. [Google Scholar] [CrossRef]
- Lilliefors, H.W. On the Kolmogorov-Smirnov test for normality with mean and variance unknown. J. Am. Stat. Assoc. 1967, 62, 399–402. [Google Scholar] [CrossRef]
- Cohen, J. Set correlation and contingency tables. Appl. Psychol. Meas. 1988, 12, 425–434. [Google Scholar] [CrossRef]
- Greiner, M.; Pfeiffer, D.; Smith, R.D. Principles and practical application of the receiver-operating characteristic analysis for diagnostic tests. Prev. Vet. Med. 2000, 45, 23–41. [Google Scholar] [CrossRef]
- Hamilton, D.M.; Haennel, R.G. Validity and reliability of the 6-minute walk test in a cardiac rehabilitation population. J. Cardiopulm. Rehabil. Prev. 2000, 20, 156–164. [Google Scholar] [CrossRef]
- Lefeber, N.; De Buyzer, S.; Dassen, N.; De Keersmaecker, E.; Kerckhofs, E.; Swinnen, E. Energy consumption and cost during walking with different modalities of assistance after stroke: A systematic review and meta-analysis. Disabil. Rehabil. 2020, 42, 1650–1666. [Google Scholar] [CrossRef]
- Delussu, A.S.; Morone, G.; Iosa, M.; Bragoni, M.; Traballesi, M.; Paolucci, S. Physiological responses and energy cost of walking on the Gait Trainer with and without body weight support in subacute stroke patients. J. Neuroeng. Rehabil. 2014, 11, 54. [Google Scholar] [CrossRef]
- Kołcz, A.; Urbacka-Josek, J.; Kowal, M.; Dymarek, R.; Paprocka-Borowicz, M. Evaluation of postural stability and transverse abdominal muscle activity in overweight post-stroke patients: A prospective, observational study. Diabetes Metab. Syndr. Obes. Targets Ther. 2020, 13, 451. [Google Scholar] [CrossRef]
- Iosa, M.; Morone, G.; Fusco, A.; Pratesi, L.; Bragoni, M.; Coiro, P.; Multari, M.; Venturiero, V.; De Angelis, D.; Paolucci, S. Effects of walking endurance reduction on gait stability in patients with stroke. Stroke Res. Treat. 2012, 2012, 810415. [Google Scholar] [CrossRef]
- Mulder, M.; Nijland, R.H.; van de Port, I.G.; van Wegen, E.E.; Kwakkel, G. Prospectively classifying community walkers after stroke: Who are they? Arch. Phys. Med. Rehabil. 2019, 100, 2113–2118. [Google Scholar] [CrossRef]
- Morone, G.; Martino Cinnera, A.; Paolucci, T.; Beatriz, H.D.R.; Paolucci, S.; Iosa, M. Clinical features of fallers among inpatient subacute stroke: An observational cohort study. Neurol. Sci. 2020, 41, 2599–2604. [Google Scholar] [CrossRef]
- Persson, C.U.; Hansson, P.O.; Sunnerhagen, K.S. Clinical tests performed in acute stroke identify the risk of falling during the first year: Postural stroke study in Gothenburg (POSTGOT). J. Rehabil. Med. 2011, 43, 348–353. [Google Scholar] [CrossRef]
- Obembe, A.O.; Olaogun, M.O.B.; Adedoyin, R.A. Differences in gait between haemorrhagic and ischaemic stroke survivors. J. Med. Med. Sci. 2012, 3, 556–561. [Google Scholar]
- Eng, J.J.; Chu, K.S.; Dawson, A.S.; Kim, C.M.; Hepburn, K.E. Functional walk tests in individuals with stroke: Relation to perceived exertion and myocardial exertion. Stroke 2002, 33, 756–761. [Google Scholar] [CrossRef] [PubMed]
- Liu, B.; Hu, X.; Zhang, Q.; Fan, Y.; Li, J.; Zou, R.; Zhang, M.; Wang, X.; Wang, J. Usual walking speed and all-cause mortality risk in older people: A systematic review and meta-analysis. Gait Posture 2016, 44, 172–177. [Google Scholar] [CrossRef] [PubMed]
- Cramer, S.C.; Sur, M.; Dobkin, B.H.; O’Brien, C.; Sanger, T.D.; Trojanowski, J.Q.; Vinogradov, S. Harnessing neuroplasticity for clinical applications. Brain 2011, 134, 1591–1609. [Google Scholar] [CrossRef] [PubMed]
- Cassel, C.K.; Ek, K. Demography and epidemiology of age-associated neuronal impairment. In Functional Neurobiology of Aging; Academic Press: Cambridge, MA, USA, 2001; pp. 31–50. [Google Scholar]
- Holden, M.K.; Gill, K.M.; Magliozzi, M.R.; Nathan, J.; Piehl-Baker, L. Clinical gait assessment in the neurologically impaired Reliability and meaningfulness. Phys Ther. 1984, 64, 35–40. [Google Scholar] [CrossRef]
- Walsh, K.B. Non-invasive sensor technology for prehospital stroke diagnosis: Current status and future directions. Int. J. Stroke 2019, 14, 592–602. [Google Scholar] [CrossRef]
- Verna, V.; De Bartolo, D.; Iosa, M.; Fadda, L.; Pinto, G.; Caltagirone, C.; De Angelis, S.; Tramontano, M. Te.M.P.O., an app for using temporal musical mismatch in post-stroke neurorehabilitation: A preliminary randomized con-trolled study. NeuroRehabilitation 2020, 47, 201–208. [Google Scholar] [CrossRef]
- De Bartolo, D.; D’amico, I.; Iosa, M.; Aloise, F.; Morone, G.; Marinozzi, F.; Bini, F.; Paolucci, S.; Spadini, E. Validation of SuPerSense, a Sensorized Surface for the Evaluation of Posture Perception in Supine Position. Sensors 2023, 23, 424. [Google Scholar] [CrossRef]
- Jiang, S.; Wu, S.; Zhang, S.; Wu, B. Advances in understanding the pathogenesis of lacunar stroke: From pathology and pathophysiology to neuroimaging. Cerebrovasc. Dis. 2021, 50, 588–596. [Google Scholar] [CrossRef]
- Rudilosso, S.; Rodríguez-Vázquez, A.; Urra, X.; Arboix, A. The potential impact of neuroimaging and translational research on the clinical management of lacunar stroke. Int. J. Mol. Sci. 2022, 23, 1497. [Google Scholar] [CrossRef]


| Total Sample | FAC III | FAC IV | FAC V | |
|---|---|---|---|---|
| Sample (n) | 80 | 24 | 35 | 21 |
| Male/Female (n) | 46/34 | 11/13 | 21/14 | 14/7 |
| Age (years) a | 64.54 ± 13.02 | 66.13 ± 13.36 | 65.03 ±12.85 | 61.95 ± 13.2 |
| Isch./hemor. (n) | 50/30 | 18/6 | 19/16 | 13/8 |
| Side: Right/Left (n) b | 43/37 | 14/10 | 15/20 | 14/7 |
| Onset a | 80.06 ± 35.97 | 108.05 ± 45.05 ** | 71.32 ± 23.96 * | 62.55 ± 19.92 * |
| Barthel Index a | 86.7 ± 18.19 | 70.29 ± 19.82 ** | 91.51 ± 14.43 ** | 97.95 ± 3.73 ** |
| RMI a | 10.57 ± 3.7 | 6.74 ± 3.16 ** | 11.57 ± 2.58 ** | 13.19 ± 1.57 ** |
| FAC a | 3.96 ± 0.75 | 3 | 4 | 5 |
| 10MeWT (s) a | / | 35.46 ± 27.85 ** | 15.94 ± 10.43 ** | 9.87 ± 2.82 ** |
| 10MeWT speed (m/s) a | / | 0.45 ± 0.28 ** | 0.79 ± 0.31 ** | 1.08 ± 0.27 ** |
| 6MWT (m)a | / | 160.71 ± 101.81 ** | 284.35 ± 110.57 ** | 367.24 ± 83.41 ** |
| 6MWT speed (m/s) a | / | 0.45 ± 0.28 ** | 0.79 ± 0.31 ** | 1.02 ± 0.23 ** |
| Cut-Off | AUC | p-Value | Sensitivity | Specificity | ACC | MCC | |
|---|---|---|---|---|---|---|---|
| FAC III vs. FAC IV | |||||||
| 10MeWT (m/s) | 0.59 | 0.79 | <0.001 | 0.89 | 0.34 | 0.75 | 0.54 |
| 6MWT (m/s) | 0.66 | 0.76 | <0.001 | 0.63 | 0.11 | 0.74 | 0.52 |
| FAC IV vs. FAC V | |||||||
| 10MeWT (s); ws (m/s) | 9.76; 1.02 | 0.79 | <0.001 | 0.85 | 0.41 | 0.76 | 0.46 |
| 6MWT (m); ws (m/s) | 216; 0.6 | 0.72 | 0.004 | 1 | 0.63 | 0.58 | 0.40 |
| Ischemic (50) | Hemorrhagic (30) | p-Value | |
|---|---|---|---|
| Male/Female (n) | 31/19 | 15/15 | |
| Age (years) a | 65.98 ± 12.58 | 62.13 ± 13.60 | 0.20 |
| Onset (days) a | 81.12 ± 40.28 | 78.42 ± 28.80 | 0.76 |
| Barthel Index a | 84.5 ± 20.61 | 90.37 ± 12.72 | 0.16 |
| RMI a | 10.24 ± 3.9 | 11.1 ± 2.78 | 0.30 |
| FAC a | 3.9 ± 0.78 | 4.06 ± 0.69 | 0.34 |
| 10MeWT ws a | 0.72 ± 0.38 | 0.87 ± 0.36 | 0.07 |
| 6MWT ws a | 0.69 ± 0.35 | 0.85 ± 0.34 | 0.06 |
| Post-hoc analysis | |||
| FAC III 10MeWT ws a | 0.43 ± 0.31 | 0.51 ± 0.17 | 0.55 |
| FAC III 6MWT ws a | 0.42 ± 0.30 | 0.51 ± 0.19 | 0.51 |
| FAC IV 10MeWT ws a | 0.78 ± 0.33 | 0.81 ± 0.30 | 0.77 |
| FAC IV 6MWT ws a | 0.77 ± 0.31 | 0.80 ± 0.30 | 0.78 |
| FAC V 10MeWT ws a | 1.00 ± 0.25 | 1.24 ± 0.21 | 0.04 * |
| FAC V 6MWT ws a | 0.93 ± 0.18 | 1.17 ± 0.20 | 0.01 * |
Disclaimer/Publisher’s Note: The statements, opinions and data contained in all publications are solely those of the individual author(s) and contributor(s) and not of MDPI and/or the editor(s). MDPI and/or the editor(s) disclaim responsibility for any injury to people or property resulting from any ideas, methods, instructions or products referred to in the content. |
© 2023 by the authors. Licensee MDPI, Basel, Switzerland. This article is an open access article distributed under the terms and conditions of the Creative Commons Attribution (CC BY) license (https://creativecommons.org/licenses/by/4.0/).
Share and Cite
Cinnera, A.M.; Marrano, S.; De Bartolo, D.; Iosa, M.; Bisirri, A.; Leone, E.; Stefani, A.; Koch, G.; Ciancarelli, I.; Paolucci, S.; et al. Convergent Validity of the Timed Walking Tests with Functional Ambulatory Category in Subacute Stroke. Brain Sci. 2023, 13, 1089. https://doi.org/10.3390/brainsci13071089
Cinnera AM, Marrano S, De Bartolo D, Iosa M, Bisirri A, Leone E, Stefani A, Koch G, Ciancarelli I, Paolucci S, et al. Convergent Validity of the Timed Walking Tests with Functional Ambulatory Category in Subacute Stroke. Brain Sciences. 2023; 13(7):1089. https://doi.org/10.3390/brainsci13071089
Chicago/Turabian StyleCinnera, Alex Martino, Serena Marrano, Daniela De Bartolo, Marco Iosa, Alessio Bisirri, Enza Leone, Alessandro Stefani, Giacomo Koch, Irene Ciancarelli, Stefano Paolucci, and et al. 2023. "Convergent Validity of the Timed Walking Tests with Functional Ambulatory Category in Subacute Stroke" Brain Sciences 13, no. 7: 1089. https://doi.org/10.3390/brainsci13071089
APA StyleCinnera, A. M., Marrano, S., De Bartolo, D., Iosa, M., Bisirri, A., Leone, E., Stefani, A., Koch, G., Ciancarelli, I., Paolucci, S., & Morone, G. (2023). Convergent Validity of the Timed Walking Tests with Functional Ambulatory Category in Subacute Stroke. Brain Sciences, 13(7), 1089. https://doi.org/10.3390/brainsci13071089

