Olfactory Impairment Is the Main Predictor of Higher Scores at REM Sleep Behavior Disorder (RBD) Screening Questionnaire in Parkinson’s Disease Patients
Abstract
1. Introduction
2. Materials and Methods
2.1. Study Population
2.2. Assessments
2.3. Statistical Analysis
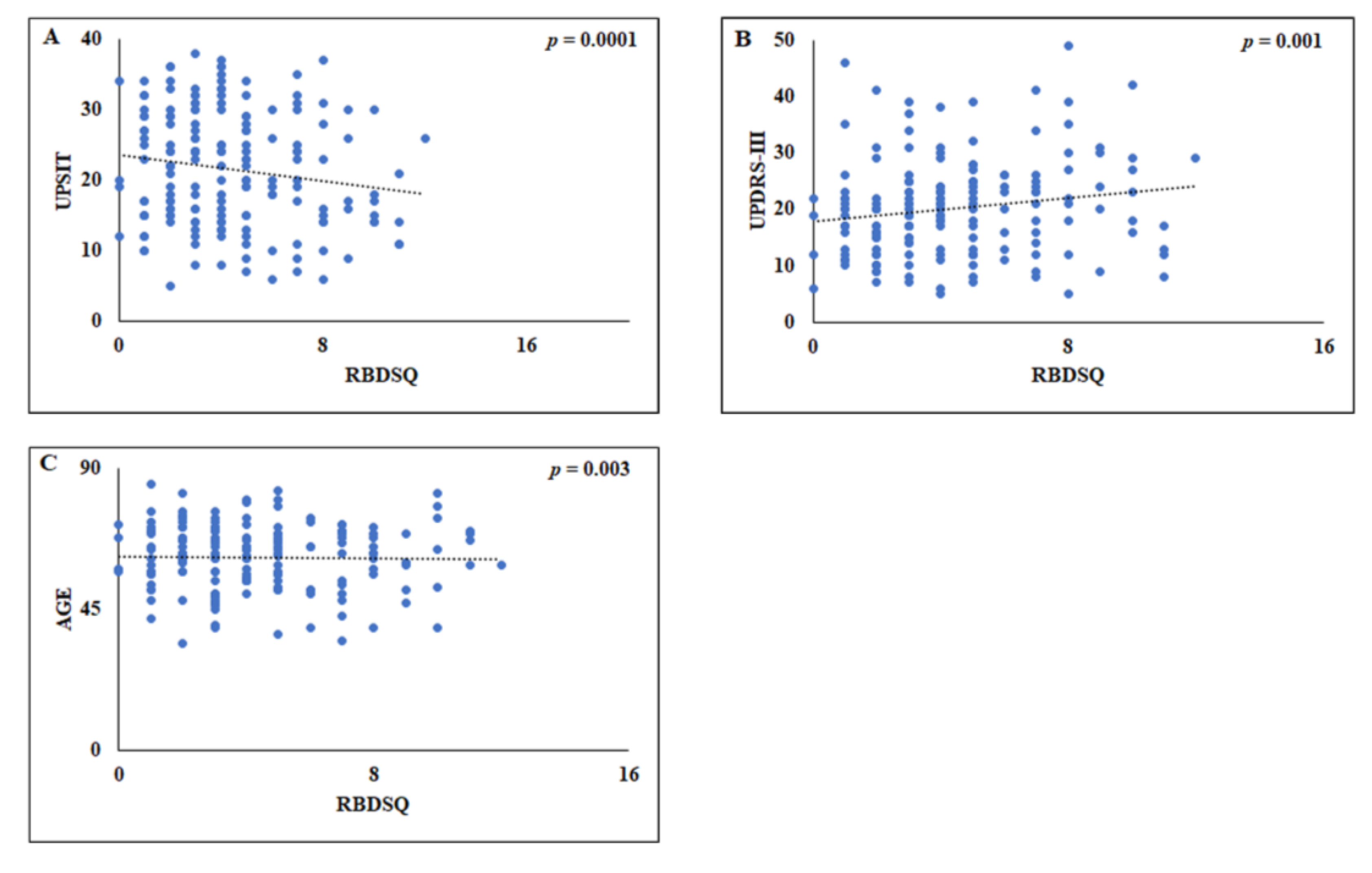
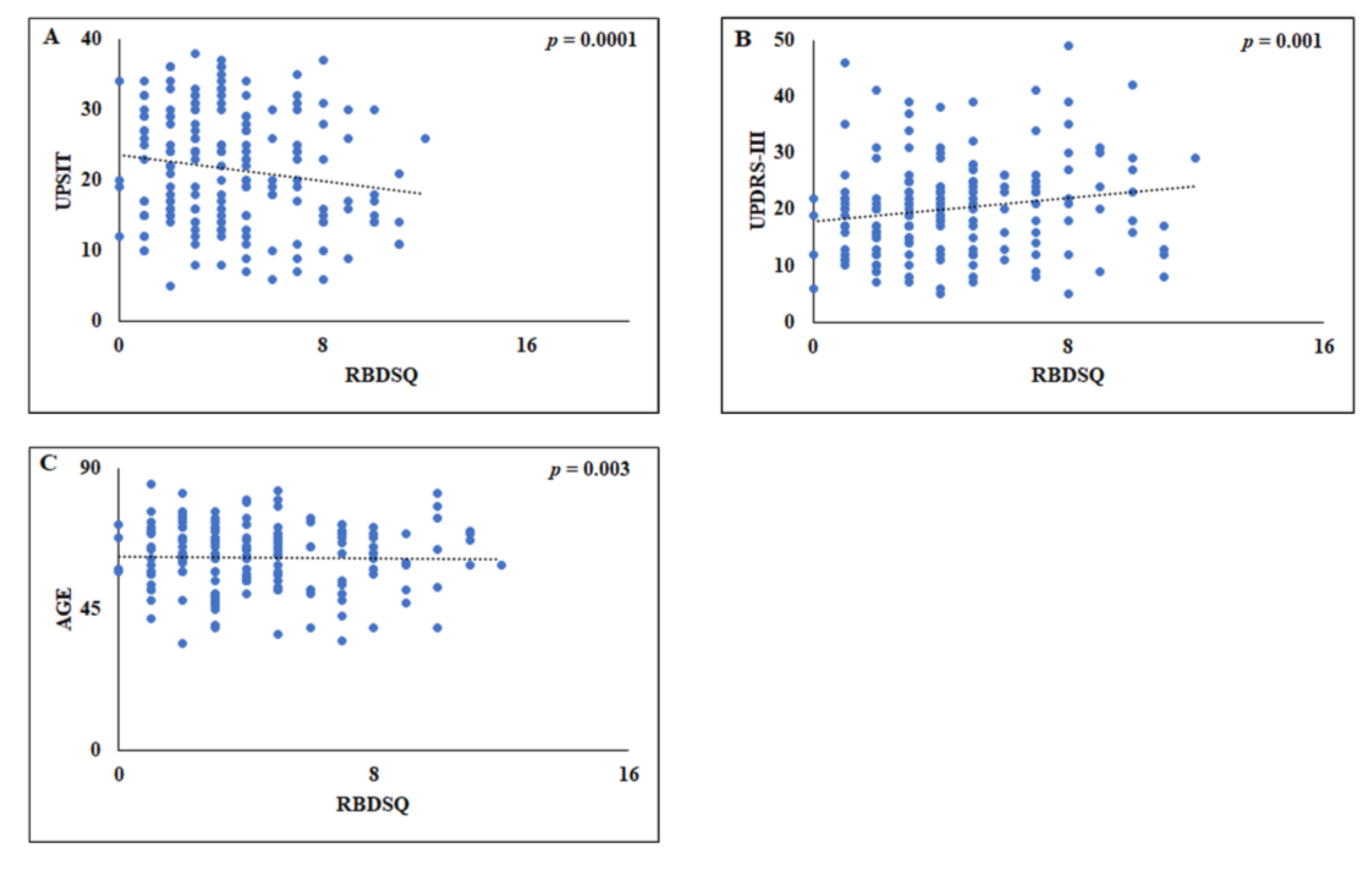
3. Results
4. Discussion
5. Conclusions
Author Contributions
Funding
Institutional Review Board Statement
Informed Consent Statement
Data Availability Statement
Acknowledgments
Conflicts of Interest
References
- Schapira, A.H.V.; Chaudhuri, K.R.; Jenner, P. Non-motor features of Parkinson disease. Nat. Rev. Neurosci. 2017, 18, 435–450. [Google Scholar] [CrossRef] [PubMed]
- Haehner, A.; Boesveldt, S.; Berendse, H.W.; Mackay-Sim, A.; Fleischmann, J.; Silburn, P.A.; Johnston, A.N.; Mellick, G.D.; Herting, B.; Reichmann, H.; et al. Prevalence of smell loss in Parkinson’s disease—A multicenter study. Park. Relat. Disord. 2009, 15, 490–494. [Google Scholar] [CrossRef] [PubMed]
- Haehner, A.; Hummel, T.; Hummel, C.; Sommer, U.; Junghanns, S.; Reichmann, H. Olfactory loss may be a first sign of idiopathic Parkinson’s disease. Mov. Disord. 2007, 22, 839–842. [Google Scholar] [CrossRef] [PubMed]
- Ercoli, T.; Masala, C.; Cadeddu, G.; Mascia, M.M.; Orofino, G.; Gigante, A.F.; Solla, P.; Defazio, G.; Rocchi, L. Does Olfactory Dysfunction Correlate with Disease Progression in Parkinson’s Disease? A Systematic Review of the Current Literature. Brain Sci. 2022, 12, 513. [Google Scholar] [CrossRef] [PubMed]
- Stern, M.B.; Doty, R.L.; Dotti, M.; Corcoran, P.; Crawford, D.; McKeown, D.A.; Adler, C.; Gollomp, S.; Hurtig, H. Olfactory function in Parkinson’s disease subtypes. Neurology 1994, 44, 266–268. [Google Scholar] [CrossRef]
- Iijima, M.; Kobayakawa, T.; Saito, S.; Osawa, M.; Tsutsumi, Y.; Hashimoto, S.; Uchiyama, S. Differences in odor identification among clinical subtypes of Parkinson’s disease. Eur. J. Neurol. 2011, 18, 425–429. [Google Scholar] [CrossRef]
- Solla, P.; Masala, C.; Ercoli, T.; Orofino, G.; Loy, F.; Pinna, I.; Fadda, L.; Defazio, G. Olfactory Impairment in Parkinson’s Disease Patients with Tremor Dominant Subtype Compared to Those with Akinetic Rigid Dominant Subtype: A Pilot Study. Brain Sci. 2022, 12, 196. [Google Scholar] [CrossRef]
- Gelpi, E.; Navarro-Otano, J.; Tolosa, E.; Gaig, C.; Compta, Y.; Rey, M.J.; Marti, M.J.; Hernandez, I.; Valldeoriola, F.; Rene, R.; et al. Multiple organ involvement by alpha-synuclein pathology in Lewy body disorders. Mov. Disord. 2014, 29, 1010–1018. [Google Scholar] [CrossRef]
- Braak, H.; Del Tredici, K.; Bratzke, H.; Hamm-Clement, J.; Sandmann-Keil, D.; Rüb, U. Staging of the intracerebral inclusion body pathology associated with idiopathic Parkinson’s disease (preclinical and clinical stages). J. Neurol. 2002, 249 (Suppl. 3), III/1–III/5. [Google Scholar] [CrossRef]
- Madetko, N.; Migda, B.; Alster, P.; Turski, P.; Koziorowski, D.; Friedman, A. Platelet-to-lymphocyte ratio and neutrophil-tolymphocyte ratio may reflect differences in PD and MSA-P neuroinflammation patterns. Neurol. Neurochir. Pol. 2022, 56, 148–155. [Google Scholar] [CrossRef]
- Morbelli, S.; Chiola, S.; Donegani, M.I.; Arnaldi, D.; Pardini, M.; Mancini, R.; Lanfranchi, F.; D’amico, F.; Bauckneht, M.; Miceli, A.; et al. Metabolic correlates of olfactory dysfunction in COVID-19 and Parkinson’s disease (PD) do not overlap. Eur. J. Nucl. Med. Mol. Imaging 2022, 49, 1939–1950. [Google Scholar] [CrossRef] [PubMed]
- Siderowf, A.; Jennings, D.; Eberly, S.; Oakes, D.; Hawkins, K.A.; Ascherio, A.; Stern, M.B.; Marek, K.; PARS Investigators. Impaired olfaction and other prodromal features in the Parkinson At-Risk Syndrome Study. Mov. Disord. 2012, 27, 406–412. [Google Scholar] [CrossRef] [PubMed]
- Baumgartner, A.; Press, D.; Simon, D. The relationship between olfactory dysfunction and constipation in early Parkinson’s disease. Mov. Disord. 2021, 36, 781–782. [Google Scholar] [CrossRef] [PubMed]
- Reichmann, H. Premotor Diagnosis of Parkinson’s Disease. Neurosci. Bull. 2017, 33, 526–534. [Google Scholar] [CrossRef] [PubMed]
- American Academy of Sleep Medicine. International Classification of Sleep Disorders: Diagnostic and Coding Manual, 2nd ed.; American Academy of Sleep Medicine: Westchester, IL, USA, 2005. [Google Scholar]
- Iranzo, A.; Lomena, F.; Stockner, H.; Valldeoriola, F.; Vilaseca, I.; Salamero, M.; Molinuevo, J.L.; Sarradell, M.; Duch, J.; Pavia, J.; et al. Decreased striatal dopamine transporter uptake and substantia nigra hyperechogenicity as risk markers of synucleinopathy in patients with idiopathic rapid-eye-movement sleep behaviour disorder: A prospective study. Lancet Neurol. 2010, 9, 1070–1077. [Google Scholar] [CrossRef]
- Dauvilliers, Y.; Schenck, C.H.; Postuma, R.B.; Iranzo, A.; Luppi, P.H.; Plazzi, G.; Montplaisir, J.; Boeve, B. REM sleep behaviour disorder. Nat. Rev. Dis. Primers 2018, 4, 19. [Google Scholar] [CrossRef]
- Alster, P.; Madetko-Alster, N.; Migda, A.; Migda, B.; Kutyłowski, M.; Królicki, L.; Friedman, A. Sleep disturbances in progressive supranuclear palsy syndrome (PSPS) and corticobasal syndrome (CBS). Neurol. Neurochir. Pol. 2023, ahead of print. [Google Scholar] [CrossRef]
- Barber, T.R.; Lawton, M.; Rolinski, M.; Evetts, S.; Baig, F.; Ruffmann, C.; Gornall, A.; Klein, J.C.; Lo, C.; Dennis, G.; et al. Prodromal Parkinsonism and Neurodegenerative Risk Stratification in REM Sleep Behavior Disorder. Sleep 2017, 40, zsx071. [Google Scholar] [CrossRef]
- Duarte Folle, A.; Paul, K.C.; Bronstein, J.M.; Keener, A.M.; Ritz, B. Clinical progression in Parkinson’s disease with features of REM sleep behavior disorder: A population-based longitudinal study. Park. Relat. Disord. 2019, 62, 105–111. [Google Scholar] [CrossRef]
- Doty, R.L.; Bromley, S.M.; Stern, M.B. Olfactory testing as an aid in the diagnosis of Parkinson’s disease: Development of optimal discrimination criteria. Neurodegeneration 1995, 4, 93–97. [Google Scholar] [CrossRef]
- Hummel, T.; Kobal, G.; Gudziol, H.; Mackay-Sim, A. Normative data for the “Sniffin’ Sticks” including tests of odor identification, odor discrimination, and olfactory thresholds: An upgrade based on a group of more than 3000 subjects. Eur. Arch. Otorhinolaryngol. 2007, 264, 237–243. [Google Scholar] [CrossRef] [PubMed]
- St Louis, E.K.; Boeve, B.F. REM Sleep Behavior Disorder: Diagnosis, Clinical Implications, and Future Directions. Mayo Clin. Proc. 2017, 92, 1723–1736. [Google Scholar] [CrossRef]
- Stiasny-Kolster, K.; Mayer, G.; Schäfer, S.; Möller, J.C.; Heinzel-Gutenbrunner, M.; Oertel, W.H. The REM sleep behavior disorder screening questionnaire—A new diagnostic instrument. Mov. Disord. 2007, 22, 2386–2393. [Google Scholar] [CrossRef]
- Nomura, T.; Inoue, Y.; Kagimura, T.; Uemura, Y.; Nakashima, K. Utility of the REM sleep behavior disorder screening questionnaire (RBDSQ) in Parkinson’s disease patients. Sleep Med. 2011, 12, 711–713. [Google Scholar] [CrossRef] [PubMed]
- Iijima, M.; Okuma, Y.; Suzuki, K.; Yoshii, F.; Nogawa, S.; Osada, T.; Hirata, K.; Kitagawa, K.; Hattori, N. Associations between probable REM sleep behavior disorder, olfactory disturbance, and clinical symptoms in Parkinson’s disease: A multicenter cross-sectional study. PLoS ONE 2021, 16, e0247443. [Google Scholar] [CrossRef] [PubMed]
- Kang, S.H.; Lee, H.M.; Seo, W.K.; Kim, J.H.; Koh, S.B. The combined effect of REM sleep behavior disorder and hyposmia on cognition and motor phenotype in Parkinson’s disease. J. Neurol. Sci. 2016, 368, 374–378. [Google Scholar] [CrossRef]
- Mahlknecht, P.; Iranzo, A.; Högl, B.; Frauscher, B.; Müller, C.; Santamaría, J.; Tolosa, E.; Serradell, M.; Mitterling, T.; Gschliesser, V.; et al. Sleep Innsbruck Barcelona Group. Olfactory dysfunction predicts early transition to a Lewy body disease in idiopathic RBD. Neurology 2015, 84, 654–658. [Google Scholar] [CrossRef]
- Miyamoto, T.; Miyamoto, M. Odor identification predicts the transition of patients with isolated RBD: A retrospective study. Ann. Clin. Transl. Neurol. 2022, 9, 1177–1185. [Google Scholar] [CrossRef]
- Marek, K.; Jennings, D.; Lasch, S.; Siderowf, A.; Tanner, C.; Simuni, T.; Coffey, C.; Kieburtz, K.; Flagg, E.; Chowdhury, S.; et al. The Parkinson progression marker initiative (PPMI) . Prog. Neurobiol. 2011, 95, 629–635. [Google Scholar]
- Marek, K.; Chowdhury, S.; Siderowf, A.; Lasch, S.; Coffey, C.S.; Caspell-Garcia, C.; Simuni, T.; Jennings, D.; Tanner, C.M.; Trojanowski, J.Q.; et al. The Parkinson’s progression markers initiative (PPMI)—Establishing a PD biomarker cohort. Ann. Clin. Transl. Neurol. 2018, 5, 1460–1477. [Google Scholar] [CrossRef]
- Goetz, C.G.; Tilley, B.C.; Shaftman, S.R.; Stebbins, G.T.; Fahn, S.; Martinez-Martin, P.; Poewe, W.; Sampaio, C.; Stern, M.B.; Dodel, R.; et al. Movement Disorder Society UPDRS Revision Task Force. Movement Disorder Society-sponsored revision of the Unified Parkinson’s Disease Rating Scale (MDS-UPDRS): Scale presentation and clinimetric testing results. Mov. Disord. 2008, 23, 2129–2170. [Google Scholar] [CrossRef] [PubMed]
- Nasreddine, Z.S.; Phillips, N.A.; Bédirian, V.; Charbonneau, S.; Whitehead, V.; Collin, I.; Cummings, J.L.; Chertkow, H. The Montreal Cognitive Assessment, MoCA: A brief screening tool for mild cognitive impairment. J. Am. Geriatr. Soc. 2005, 53, 695–699. [Google Scholar] [CrossRef] [PubMed]
- Saltagi, A.K.; Saltagi, M.Z.; Nag, A.K.; Wu, A.W.; Higgins, T.S.; Knisely, A.; Ting, J.Y.; Illing, E.A. Diagnosis of Anosmia and Hyposmia: A Systematic Review. Allergy Rhinol. 2021, 12, 21526567211026568. [Google Scholar] [CrossRef]
- Sixel-Doring, F.; Trautmann, E.; Mollenhauer, B.; Trenkwalder, C. Associated factors for REM sleep behavior disorder in Parkinson disease. Neurology 2011, 77, 1048–1054. [Google Scholar] [CrossRef]
- Comella, C.L.; Nardine, T.M.; Diederich, N.J.; Stebbins, G.T. Sleep-related violence, injury, and REM sleep behavior disorder in Parkinson’s disease. Neurology 1998, 51, 526–529. [Google Scholar] [CrossRef] [PubMed]
- Sobreira-Neto, M.A.; Pena-Pereira, M.A.; Sobreira, E.S.T.; Chagas, M.H.N.; Fernandes, R.M.F.; Tumas, V.; Eckeli, A.L. High frequency of sleep disorders in Parkinson’s disease and its relationship with quality of life. Eur. Neurol. 2017, 78, 330–337. [Google Scholar] [CrossRef] [PubMed]
- García-Lorenzo, D.; Longo-Dos Santos, C.; Ewenczyk, C.; Leu-Semenescu, S.; Gallea, C.; Quattrocchi, G.; Pita Lobo, P.; Poupon, C.; Benali, H.; Arnulf, I.; et al. The coeruleus/subcoeruleus complex in rapid eye movement sleep behaviour disorders in Parkinson’s disease. Brain 2013, 136, 2120–2129. [Google Scholar] [CrossRef] [PubMed]
- Slow, E.J.; Postuma, R.B.; Lang, A.E. Implications of nocturnal symptoms towards the early diagnosis of Parkinson’s disease. J. Neural Transm. 2014, 121 (Suppl. 1), S49–S57. [Google Scholar] [CrossRef]
- Boeve, B.F.; Silber, M.H.; Saper, C.B.; Ferman, T.J.; Dickson, D.W.; Parisi, J.E.; Benarroch, E.E.; Ahlskog, J.E.; Smith, G.E.; Caselli, R.C.; et al. Pathophysiology of REM sleep behaviour disorder and relevance to neurodegenerative disease. Brain 2007, 130, 2770–2788. [Google Scholar] [CrossRef]
- St Louis, E.K.; Boeve, A.R.; Boeve, B.F. REM Sleep Behavior Disorder in Parkinson’s Disease and Other Synucleinopathies. Mov. Disord. 2017, 32, 645–658. [Google Scholar] [CrossRef]
- Doty, R.L. Olfactory dysfunction in neurodegenerative diseases: Is there a common pathological substrate? Lancet Neurol. 2017, 16, 478–488. [Google Scholar] [CrossRef] [PubMed]
- Stiasny-Kolster, K.; Doerr, Y.; Möller, J.C.; Höffken, H.; Behr, T.M.; Oertel, W.H.; Mayer, G. Combination of ‘idiopathic’ REM sleep behaviour disorder and olfactory dysfunction as possible indicator for alpha-synucleinopathy demonstrated by dopamine transporter FP-CIT-SPECT. Brain 2005, 128, 126–137. [Google Scholar] [CrossRef] [PubMed]
- Postuma, R.B.; Lang, A.E.; Massicotte-Marquez, J.; Montplaisir, J. Potential early markers of Parkinson disease in idiopathic REM sleep behavior disorder. Neurology 2006, 66, 845–851. [Google Scholar] [CrossRef] [PubMed]
- Wong, J.C.; Li, J.; Pavlova, M.; Chen, S.; Wu, A.; Wu, S.; Gao, X. Risk factors for probable REM sleep behavior disorder: A community-based study. Neurology 2016, 86, 1306–1312. [Google Scholar] [CrossRef] [PubMed]
- Kang, S.H.; Yoon, I.Y.; Lee, S.D.; Han, J.W.; Kim, T.H.; Kim, K.W. REM sleep behavior disorder in the Korean elderly population: Prevalence and clinical characteristics. Sleep 2013, 36, 1147–1152. [Google Scholar] [CrossRef]
- Haba-Rubio, J.; Frauscher, B.; Marques-Vidal, P.; Toriel, J.; Tobback, N.; Andries, D.; Preisig, M.; Vollenweider, P.; Postuma, R.; Heinzer, R. Prevalence and determinants of rapid eye movement sleep behavior disorder in the general population. Sleep 2018, 41, zsx197. [Google Scholar] [CrossRef]
- Solla, P.; Cannas, A.; Ibba, F.C.; Loi, F.; Corona, M.; Orofino, G.; Marrosu, M.G.; Marrosu, F. Gender differences in motor and non-motor symptoms among Sardinian patients with Parkinson’s disease. J. Neurol. Sci. 2012, 323, 33–39. [Google Scholar] [CrossRef]
- Martinez-Martin, P.; Falup Pecurariu, C.; Odin, P.; van Hilten, J.J.; Antonini, A.; Rojo-Abuin, J.M.; Borges, V.; Trenkwalder, C.; Aarsland, D.; Brooks, D.J.; et al. Gender-related differences in the burden of non-motor symptoms in Parkinson’s disease. J. Neurol. 2012, 259, 1639–1647. [Google Scholar] [CrossRef]
- Solla, P.; Masala, C.; Liscia, A.; Piras, R.; Ercoli, T.; Fadda, L.; Hummel, T.; Haenher, A.; Defazio, G. Sex-related differences in olfactory function and evaluation of possible confounding factors among patients with Parkinson’s disease. J. Neurol. 2020, 267, 57–63. [Google Scholar] [CrossRef]
- Russillo, M.C.; Andreozzi, V.; Erro, R.; Picillo, M.; Amboni, M.; Cuoco, S.; Barone, P.; Pellecchia, M.T. Sex Differences in Parkinson’s Disease: From Bench to Bedside. Brain Sci. 2022, 12, 917. [Google Scholar] [CrossRef]

| Total PD Patients | PD Patients without RBD | PD Patients with Possible RBD | p Value | |
|---|---|---|---|---|
| Demographics | n = 590 | n = 479 (81.2%) | n = 111 (18.8%) | |
| Age at observation | 61.4 (10.1) | 61.7 (10.1) | 60.1 (10.2) | 0.135 |
| PD duration (years) | 2.7 (3.3) | 2.7 (3.5) | 2.7 (2.2) | 0.948 |
| Sex n, female (%) | 235 (39.8%) | 203 (42.3%) | 32 (28.8%) | 0.011 |
| MDS-UPDRS-III | 20.4 (9.7) | 19.7(9.1) | 23.3 (11.4) | 0.002 |
| RBDSQ | 4.1 (2.8) | 3.0 (1.6) | 8.7 (1.6) | 0.0001 |
| UPSIT | 22.0 (8.1) | 22.6 (8.0) | 19.7 (8.3) | 0.001 |
| MoCA | 26.7 (2.9) | 26.8 (2.8) | 26.7 (2.9) | 0.387 |
| RBDSQ | Age | UPDRS-III | MoCA | UPSIT | PD Duration | ||
|---|---|---|---|---|---|---|---|
| RBDSQ | r | 1 | −0.072 | 0.150 | −0.004 | −0.179 | −0.006 |
| p | 0.081 | 0.001 | 0.921 | 0.001 | 0.883 | ||
| Age | r | −0.072 | 1 | 0.129 | −0.189 | −0.204 | 0.023 |
| p | 0.081 | 0.002 | 0.001 | 0.001 | 0.577 | ||
| UPDRS-III | r | 0.150 | 0.129 | 1 | −0.147 | −0.180 | 0.183 |
| p | 0.001 | 0.002 | 0.001 | 0.001 | 0.001 | ||
| MoCA | r | −0.004 | −0.189 | −0.147 | 1 | 0.121 | −0.086 |
| p | 0.921 | 0.001 | 0.001 | 0.003 | 0.037 | ||
| UPSIT | r | −0.179 | −0.204 | −0.180 | 0.121 | 1 | −0.016 |
| p | 0.001 | 0.001 | 0.001 | 0.003 | 0.702 | ||
| PD duration | r | −0.006 | 0.023 | 0.183 | −0.086 | −0.016 | 1 |
| p | 0.883 | 0.577 | 0.001 | 0.037 | 0.702 |
| Unstandardized Coefficients | Standardized Coefficients | ||||
|---|---|---|---|---|---|
| B | Std Error | β | t | p | |
| (Costant) | 6.276 | 1.455 | 4.314 | 0.000 | |
| UPSIT | −0.060 | 0.014 | −0.175 | −4.183 | 0.0001 |
| UPDRS-III | 0.039 | 0.012 | 0.137 | 3.269 | 0.001 |
| Age | −0.034 | 0.011 | −0.124 | −2.974 | 0.003 |
| Gender | 0.221 | 0.232 | 0.039 | 0.955 | 0.340 |
| MoCA | 0.012 | 0.039 | 0.012 | 0.294 | 0.769 |
| PD duration | −0.021 | 0.035 | −0.025 | −0.603 | 0.547 |
Disclaimer/Publisher’s Note: The statements, opinions and data contained in all publications are solely those of the individual author(s) and contributor(s) and not of MDPI and/or the editor(s). MDPI and/or the editor(s) disclaim responsibility for any injury to people or property resulting from any ideas, methods, instructions or products referred to in the content. |
© 2023 by the authors. Licensee MDPI, Basel, Switzerland. This article is an open access article distributed under the terms and conditions of the Creative Commons Attribution (CC BY) license (https://creativecommons.org/licenses/by/4.0/).
Share and Cite
Solla, P.; Wang, Q.; Frau, C.; Floris, V.; Loy, F.; Sechi, L.A.; Masala, C. Olfactory Impairment Is the Main Predictor of Higher Scores at REM Sleep Behavior Disorder (RBD) Screening Questionnaire in Parkinson’s Disease Patients. Brain Sci. 2023, 13, 599. https://doi.org/10.3390/brainsci13040599
Solla P, Wang Q, Frau C, Floris V, Loy F, Sechi LA, Masala C. Olfactory Impairment Is the Main Predictor of Higher Scores at REM Sleep Behavior Disorder (RBD) Screening Questionnaire in Parkinson’s Disease Patients. Brain Sciences. 2023; 13(4):599. https://doi.org/10.3390/brainsci13040599
Chicago/Turabian StyleSolla, Paolo, Qian Wang, Claudia Frau, Valentina Floris, Francesco Loy, Leonardo Antonio Sechi, and Carla Masala. 2023. "Olfactory Impairment Is the Main Predictor of Higher Scores at REM Sleep Behavior Disorder (RBD) Screening Questionnaire in Parkinson’s Disease Patients" Brain Sciences 13, no. 4: 599. https://doi.org/10.3390/brainsci13040599
APA StyleSolla, P., Wang, Q., Frau, C., Floris, V., Loy, F., Sechi, L. A., & Masala, C. (2023). Olfactory Impairment Is the Main Predictor of Higher Scores at REM Sleep Behavior Disorder (RBD) Screening Questionnaire in Parkinson’s Disease Patients. Brain Sciences, 13(4), 599. https://doi.org/10.3390/brainsci13040599

