Exploring Pragmatic Deficits in Relation to Theory of Mind and Executive Functions: Evidence from Individuals with Right Hemisphere Stroke
Abstract
1. Introduction
2. Methods
2.1. Participants
2.2. Materials
2.2.1. Executive Functions
2.2.2. Pragmatics
2.2.3. Language
2.2.4. Theory of Mind
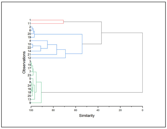
3. Data Analyses
4. Results
5. Discussion
6. Conclusions
Author Contributions
Funding
Institutional Review Board Statement
Informed Consent Statement
Data Availability Statement
Acknowledgments
Conflicts of Interest
References
- Argyriou, P.; Byfield, S.; Kita, S. Semantics is Crucial for the Right-Hemisphere Involvement in Metaphor Processing: Evidence from Mouth Asymmetry During Speaking. Laterality Asymmetries Body Brain Cogn. 2014, 20, 191–210. [Google Scholar] [CrossRef] [PubMed][Green Version]
- Blake, M.L. Right-hemisphere pragmatic disorders. Perspect. Pragmat. Philos. Psychol. 2017, 11, 243–266. [Google Scholar] [CrossRef]
- Levinson, S.C. Pragmatics; Cambridge University Press: Cambridge, UK, 1983. [Google Scholar]
- Mashal, N.; Faust, M.; Hendler, T.; Jung-Beeman, M. An Fmri Investigation of the Neural Correlates Underlying the Processing of Novel Metaphoric Expressions. Brain Lang. 2007, 100, 115–126. [Google Scholar] [CrossRef] [PubMed]
- Wapner, W.; Hamby, S.; Gardner, H. The Role of The Right Hemisphere in The Apprehension of Complex Linguistic Materials. Brain Lang. 1981, 14, 15–33. [Google Scholar] [CrossRef]
- Winner, E.; Gardner, H. The Comprehension of Metaphor in Brain-Damaged Patients. Brain 1977, 100, 717–729. [Google Scholar] [CrossRef]
- Cardillo, E.R.; McQuire, M.; Chatterjee, A. Selective Metaphor Impairments after Left, not Right, Hemisphere Injury. Front. Psychol. 2018, 9, 2308. [Google Scholar] [CrossRef]
- Brownell, H. Surprise but Not Coherence: Sensitivity to Verbal Humor in Right-Hemisphere Patients*1. Brain Lang. 1983, 18, 20–27. [Google Scholar] [CrossRef]
- Shammi, P.; Stuss, D.T. Humour Appreciation: A Role of the Right Frontal Lobe. Brain 1999, 122, 657–666. [Google Scholar] [CrossRef]
- Brownell, H.H.; Potter, H.H.; Michelow, D.; Gardner, H. Sensitivity to Lexical Denotation and Connotation in Brain-Damaged Patients: A Double Dissociation? Brain Lang. 1984, 22, 253–265. [Google Scholar] [CrossRef]
- Barnes, S.; Toocaram, S.; Nickels, L.; Beeke, S.; Best, W.; Bloch, S. Everyday Conversation after Right Hemisphere Damage: A Methodological Demonstration and Some Preliminary Findings. J. Neurolinguistics 2019, 52, 100850. [Google Scholar] [CrossRef]
- Cummings, L. On Making a Sandwich: Procedural Discourse in Adults with Right-Hemisphere Damage. In Further Advances in Pragmatics and Philosophy: Part 2 Theories and Applications; Springer International Publishing: Cham, Switzerland, 2019; pp. 331–355. [Google Scholar] [CrossRef]
- Johns, C.L.; Tooley, K.M.; Traxler, M.J. Discourse Impairments Following Right Hemisphere Brain Damage: A Critical Review: Discourse Impairments Following Right Hemisphere Brain Damage. Lang. Linguist. Compass 2008, 2, 1038–1062. [Google Scholar] [CrossRef] [PubMed]
- Hough, M.S. Narrative Comprehension in Adults with Right and Left Hemisphere Brain-Damage: Theme Organization. Brain Lang. 1990, 38, 253–277. [Google Scholar] [CrossRef] [PubMed]
- Winner, E.; Brownell, H.; Happé, F.; Blum, A.; Pincus, D. Distinguishing Lies from Jokes: Theory of Mind Deficits and Discourse Interpretation in Right Hemisphere Brain-Damaged Patients. Brain Lang. 1998, 62, 89–106. [Google Scholar] [CrossRef] [PubMed]
- McDonald, S. Neuropsychological Studies of Sarcasm. Metaphor Symb. 2000, 15, 85–98. [Google Scholar] [CrossRef]
- Yang, S.-Y. Acoustic Cues Associated with Korean Sarcastic Utterances Produced by Right- And Left-Hemisphere Damaged Individuals. J. Commun. Disord. 2022, 98, 106229. [Google Scholar] [CrossRef]
- Barnes, S.; Beeke, S.; Bloch, S. How is Right Hemisphere Communication Disorder Disabling? Evidence From Response Mobilizing Actions in Conversation. Disabil. Rehabil. 2022, 44, 261–274. [Google Scholar] [CrossRef]
- Benton, E.; Bryan, K. Right Cerebral Hemisphere Damage: Incidence of Language Problems. Int. J. Rehabil. Res. 1996, 19, 47–54. [Google Scholar] [CrossRef]
- Côté, H.; Payer, M.; Giroux, F.; Joanette, Y. Towards A Description ff Clinical Communication Impairment Profiles Following Right-Hemisphere Damage. Aphasiology 2007, 21, 739–749. [Google Scholar] [CrossRef]
- Abusamra, V.; Côté, H.; Joanette, Y.; Ferreres, A. Communication Impairments in Patients with Right Hemisphere Damage. Life Span Disabil. 2009, 12, 67–82. [Google Scholar]
- Chakrabarty, M.; Bhattacharya, K.; Chatterjee, G.; Biswas, A.; Ghosal, M. Pragmatic Deficits in Patients with Schizophrenia and Right Hemisphere Damage: A Pilot Study. Int. J. Lang. Commun. Disord. 2023, 58, 169–188. [Google Scholar] [CrossRef]
- Minga, J.; Sheppard, S.M.; Johnson, M.; Hewetson, R.; Cornwell, P.; Blake, M.L. Apragmatism: The Renewal of a Label for Communication Disorders Associated with Right Hemisphere Brain Damage. Int. J. Lang. Commun. Disord. 2023, 58, 651–666. [Google Scholar] [CrossRef] [PubMed]
- Bosco, F.M.; Gabbatore, I.; Angeleri, R.; Zettin, M.; Parola, A. Do Executive Function and Theory of Mind Predict Pragmatic Abilities Following Traumatic Brain Injury? an analysis of sincere, deceitful and ironic communicative acts. J. Commun. Disord. 2018, 75, 102–117. [Google Scholar] [CrossRef] [PubMed]
- Champagne-Lavau, M.; Joanette, Y. Pragmatics, Theory ff Mind and Executive Functions After A Right-Hemisphere Lesion: Different Patterns Of Deficits. J. Neurolinguistics 2009, 22, 413–426. [Google Scholar] [CrossRef]
- Cordonier, N.; Fossard, M.; Champagne-Lavau, M. Differential Impairments in Irony Comprehension in Brain-Damaged Individuals: Insight from Contextual Processing, Theory Of Mind, And Executive Functions. Neuropsychology 2020, 34, 750–763. [Google Scholar] [CrossRef] [PubMed]
- Martin, I.; McDonald, S. Weak Coherence, No Theory of Mind, or Executive Dysfunction? Solving the Puzzle of Pragmatic Language Disorders. Brain Lang. 2003, 85, 451–466. [Google Scholar] [CrossRef]
- Martin, I.; McDonald, S. That Can’t Be Right! What Causes Pragmatic Language Impairment Following Right Hemisphere Damage? Brain Impair. 2006, 7, 202–211. [Google Scholar] [CrossRef]
- García, E.L.; Ferré, P.; Joanette, Y. Right-Hemisphere Language Disorders. In Handbook of Pragmatic Language Disorders; Springer: Berlin/Heidelberg, Germany, 2021; pp. 313–334. [Google Scholar] [CrossRef]
- Parola, A.; Gabbatore, I.; Bosco, F.M.; Bara, B.G.; Cossa, F.M.; Gindri, P.; Sacco, K. Assessment of Pragmatic Impairment in Right Hemisphere Damage. J. Neurolinguistics 2016, 39, 10–25. [Google Scholar] [CrossRef]
- Baron-Cohen, S.; Leslie, A.M.; Frith, U. Does the Autistic Child Have a “Theory of Mind” ? Cognition 1985, 21, 37–46. [Google Scholar] [CrossRef]
- Premack, D.; Woodruff, G. Does the Chimpanzee Have a Theory of Mind? Behav. Brain Sci. 1978, 1, 515–526. [Google Scholar] [CrossRef]
- Siegal, M.; Carrington, J.; Radel, M. Theory of Mind and Pragmatic Understanding Following Right Hemisphere Damage. Brain Lang. 1996, 53, 40–50. [Google Scholar] [CrossRef]
- Winner, E.; Windmueller, G.; Rosenblatt, E.; Bosco, L.; Best, E.; Gardner, H. Making Sense of Literal and Nonliteral Falsehood. Metaphor Symb. Act. 1987, 2, 13–32. [Google Scholar] [CrossRef]
- Cummings, L. Cognitive Aspects of Pragmatic Disorders. Perspect. Pragmat. Philos. Psychol. 2017, 11, 587–616. [Google Scholar] [CrossRef]
- Frank, C.K. Reviving Pragmatic Theory of Theory of Mind. AIMS Neurosci. 2018, 5, 116–131. [Google Scholar] [CrossRef]
- Westra, E.; Carruthers, P. Pragmatic Development Explains the Theory-of-Mind Scale. Cognition 2017, 158, 165–176. [Google Scholar] [CrossRef]
- Bischetti, L.; Ceccato, I.; Lecce, S.; Cavallini, E.; Bambini, V. Pragmatics and Theory of Mind in Older Adults’ Humor Comprehension. Curr. Psychol. 2023, 42, 16191–16207. [Google Scholar] [CrossRef]
- Lecce, S.; Ronchi, L.; Del Sette, P.; Bischetti, L.; Bambini, V. Interpreting Physical and Mental Metaphors: Is Theory of Mind Associated with Pragmatics in Middle Childhood? J. Child Lang. 2018, 46, 393–407. [Google Scholar] [CrossRef] [PubMed]
- Elliott, R. Executive Functions and Their Disorders. Br. Med. Bull. 2003, 65, 49–59. [Google Scholar] [CrossRef] [PubMed]
- Ownsworth, T.; Shum, D. Relationship between Executive Functions and Productivity Outcomes Following Stroke. Disabil. Rehabil. 2008, 30, 531–540. [Google Scholar] [CrossRef] [PubMed]
- Lipskaya-Velikovsky, L.; Zeilig, G.; Weingarden, H.; Rozental-Iluz, C.; Rand, D. Executive Functioning and Daily Living of Individuals with Chronic Stroke: Measurement and Implications: Measurement and Implications. Int. J. Rehabil. Res. 2018, 41, 122–127. [Google Scholar] [CrossRef]
- Poulin, V.; Korner-Bitensky, N.; Dawson, D.R.; Bherer, L. Efficacy of Executive Function Interventions after Stroke: A Systematic Review. Top. Stroke Rehabil. 2012, 19, 158–171. [Google Scholar] [CrossRef]
- Vataja, R.; Pohjasvaara, T.; Mäntylä, R.; Ylikoski, R.; Leppävuori, A.; Leskelä, M.; Kalska, H.; Hietanen, M.; Aronen, H.J.; Salonen, O.; et al. MRI Correlates of Executive Dysfunction in Patients with Ischaemic Stroke: Executive Dysfunction after Stroke. Eur. J. Neurol. 2003, 10, 625–631. [Google Scholar] [CrossRef] [PubMed]
- Brownell, H.H.; Potter, H.H.; Bihrle, A.M.; Gardner, H. Inference Deficits in Right Brain-Damaged Patients. Brain Lang. 1986, 27, 310–321. [Google Scholar] [CrossRef] [PubMed]
- McDonald, S.; Gowland, A.; Randall, R.; Fisher, A.; Osborne-Crowley, K.; Honan, C. Cognitive Factors Underpinning Poor Expressive Communication Skills after Traumatic Brain Injury: Theory of Mind or Executive Function? Neuropsychology 2014, 28, 801–811. [Google Scholar] [CrossRef] [PubMed]
- Saldert, C.; Ahlsén, E. Inference in Right Hemisphere Damaged Individuals’ Comprehension: The Role of Sustained Attention. Clin. Linguist. Phon. 2007, 21, 637–655. [Google Scholar] [CrossRef]
- Champagne, M.; Desautels, M.; Joanette, Y. Lack of Inhibition Could Contribute to Non-Literal Language Impairments in Right-Hemisphere-Damaged Individuals. Brain Lang. 2004, 91, 172–174. [Google Scholar] [CrossRef]
- Bambini, V.; Van Looy, L.; Demiddele, K.; Schaeken, W. What Is the Contribution of Executive Functions to Communicative-Pragmatic Skills? Insights from Aging and Different Types of Pragmatic Inference. Cogn. Process. 2021, 22, 435–452. [Google Scholar] [CrossRef]
- Feyereisen, P.; Berrewaerts, J.; Hupet, M. Pragmatic Skills in the Early Stages of Alzheimer’s Disease: An Analysis by Means of a Referential Communication Task. Int. J. Lang. Commun. Disord. 2007, 42, 1–17. [Google Scholar] [CrossRef]
- Rapp, A.M.; Leube, D.T.; Erb, M.; Grodd, W.; Kircher, T.T.J. Neural Correlates of Metaphor Processing. Brain Res. Cogn. Brain Res. 2004, 20, 395–402. [Google Scholar] [CrossRef]
- Kasselimis, D.S.; Simos, P.G.; Peppas, C.; Evdokimidis, I.; Potagas, C. The Unbridged Gap between Clinical Diagnosis and Contemporary Research on Aphasia: A Short Discussion on the Validity and Clinical Utility of Taxonomic Categories. Brain Lang. 2017, 164, 63–67. [Google Scholar] [CrossRef]
- Zalonis, I.; Christidi, F.; Bonakis, A.; Kararizou, E.; Triantafyllou, N.I.; Paraskevas, G.; Kapaki, E.; Vasilopoulos, D. The Stroop Effect in Greek Healthy Population: Normative Data for the Stroop Neuropsychological Screening Test. Arch. Clin. Neuropsychol. 2009, 24, 81–88. [Google Scholar] [CrossRef]
- Simos, P.G.; Papastefanakis, E.; Panou, T.; Kasselimis, D. The Greek Memory Scale; Laboratory of Applied Psychology, University of Crete: Rethymno, Greece, 2011. [Google Scholar]
- Smith, A. Symbol Digit Modalities Test. In PsycTESTS Dataset; American Psychological Association: Washington, DC, USA, 1973. [Google Scholar] [CrossRef]
- Constantinidou, F.; Christodoulou, M.; Prokopiou, J. The Effects of Age and Education on Executive Functioning and Oral Naming Performance in Greek Cypriot Adults: The Neurocognitive Study for the Aging. Folia Phoniatr. Logop. 2012, 64, 187–198. [Google Scholar] [CrossRef] [PubMed]
- Zalonis, I.; Kararizou, E.; Triantafyllou, N.I.; Kapaki, E.; Papageorgiou, S.; Sgouropoulos, P.; Vassilopoulos, D. A Normative Study of the Trail Making Test A and B in Greek Adults. Clin. Neuropsychol. 2008, 22, 842–850. [Google Scholar] [CrossRef] [PubMed]
- Christidi, F.; Kararizou, E.; Triantafyllou, N.; Anagnostouli, M.; Zalonis, I. Derived Trail Making Test Indices: Demographics and Cognitive Background Variables across the Adult Life Span. Neuropsychol. Dev. Cogn. B Aging Neuropsychol. Cogn. 2015, 22, 667–678. [Google Scholar] [CrossRef]
- Joanette, Y.; Ska, B.; Côté, H. Protocole Montréal d’Évaluation de la Communication; Ortho Édition: Isbergues, France, 2004. [Google Scholar]
- Simos, P.G.; Kasselimis, D.; Mouzaki, A. Age, Gender, and Education Effects on Vocabulary Measures in Greek. Aphasiology 2011, 25, 475–491. [Google Scholar] [CrossRef]
- Simos, P.G.; Kasselimis, D.; Mouzaki, A. Effects of demographic variables and health status on brief vocabulary measures in Greek. Aphasiology 2011, 25(4), 492–504. [Google Scholar] [CrossRef]
- Simos, P.G.; Kasselimis, D.; Potagas, C.; Evdokimidis, I. Verbal Comprehension Ability in Aphasia: Demographic and Lexical Knowledge Effects. Behav. Neurol. 2014, 2014, 258303. [Google Scholar] [CrossRef] [PubMed][Green Version]
- White, S.J.; Coniston, D.; Rogers, R.; Frith, U. Developing the Frith-Happé Animations: A Quick and Objective Test of Theory of Mind for Adults with Autism. Autism Res. 2011, 4, 149–154. [Google Scholar] [CrossRef]
- Zwickel, J.; White, S.J.; Coniston, D.; Senju, A.; Frith, U. Exploring the Building Blocks of Social Cognition: Spontaneous Agency Perception and Visual Perspective Taking in Autism. Soc. Cogn. Affect. Neurosci. 2011, 6, 564–571. [Google Scholar] [CrossRef]
- Stone, V.E.; Baron-Cohen, S.; Knight, R.T. Frontal Lobe Contributions to Theory of Mind. J. Cogn. Neurosci. 1998, 10, 640–656. [Google Scholar] [CrossRef]
- Altani, A.; Protopapas, A.; Georgiou, G.K. The Contribution of Executive Functions to Naming Digits, Objects, and Words. Read. Writ. 2016, 30, 121–141. [Google Scholar] [CrossRef]
- Brown-Schmidt, S. The Role of Executive Function in Perspective Taking during Online Language Comprehension. Psychon. Bull. Rev. 2009, 16, 893–900. [Google Scholar] [CrossRef]
- Higby, E.; Cahana-Amitay, D.; Vogel-Eyny, A.; Spiro, A., 3rd; Albert, M.L.; Obler, L.K. The Role of Executive Functions in Object- and Action-Naming among Older Adults. Exp. Aging Res. 2019, 45, 306–330. [Google Scholar] [CrossRef]
- Schwering, S.C.; MacDonald, M.C. Verbal Working Memory as Emergent from Language Comprehension and Production. Front. Hum. Neurosci. 2020, 14, 68. [Google Scholar] [CrossRef] [PubMed]
- Carotenuto, A.; Arcara, G.; Orefice, G.; Cerillo, I.; Giannino, V.; Rasulo, M.; Iodice, R.; Bambini, V. Communication in Multiple Sclerosis: Pragmatic Deficit and Its Relation with Cognition and Social Cognition. Arch. Clin. Neuropsychol. 2018, 33, 194–205. [Google Scholar] [CrossRef] [PubMed]
- Geurts, H.M.; Broeders, M.; Nieuwland, M.S. Thinking Outside the Executive Functions Box: Theory of Mind and Pragmatic Abilities in Attention Deficit/Hyperactivity Disorder. Eur. J. Dev. Psychol. 2010, 7, 135–151. [Google Scholar] [CrossRef]
- Zanini, S.; Bryan, K.; De Luca, G.; Bava, A. The Effects of Age and Education on Pragmatic Features of Verbal Communication: Evidence from the Italian Version of the Right Hemisphere Language Battery (I-RHLB). Aphasiology 2005, 19, 1107–1133. [Google Scholar] [CrossRef][Green Version]
- Citron, F.M.M.; Güsten, J.; Michaelis, N.; Goldberg, A.E. Conventional Metaphors in Longer Passages Evoke Affective Brain Response. Neuroimage 2016, 139, 218–230. [Google Scholar] [CrossRef]
- Bowes, A.; Katz, A. Metaphor Creates Intimacy and Temporarily Enhances Theory of Mind. Mem. Cognit. 2015, 43, 953–963. [Google Scholar] [CrossRef]
- Mohammad, S.; Shutova, E.; Turney, P. Metaphor as a Medium for Emotion: An Empirical Study. In Proceedings of the Fifth Joint Conference on Lexical and Computational Semantics, Berlin, Germany, 11–12 August 2016. [Google Scholar] [CrossRef]
- Aloairdhi, N.M.; Kahlaoui, N. Linguistic, Cognitive, and Psycholinguistic Perspectives on Metaphors. Theory Pr. Lang. Stud. 2020, 10, 1078. [Google Scholar] [CrossRef]
- Marocchini, E.; Di Paola, S.; Mazzaggio, G.; Domaneschi, F. Understanding Indirect Requests for Information in High-Functioning Autism. Cogn. Process. 2022, 23, 129–153. [Google Scholar] [CrossRef]
- Vanhalle, C.; Lemieux, S.; Joubert, S.; Goulet, P.; Ska, B.; Joanettee, Y. Processing of Speech Acts by Right Hemisphere Brain-Damaged Patients: An Ecological Approach. Aphasiology 2000, 14, 1127–1141. [Google Scholar] [CrossRef]
- Powell, J.L.; Furlong, J.; de Bézenac, C.E.; O’Sullivan, N.; Corcoran, R. The Pragmatics of Pragmatic Language and the Curse of Ambiguity: An FMRI Study. Neuroscience 2019, 418, 96–109. [Google Scholar] [CrossRef] [PubMed]
- Schmidt, G.L.; Seger, C.A. Neural Correlates of Metaphor Processing: The Roles of Figurativeness, Familiarity and Difficulty. Brain Cogn. 2009, 71, 375–386. [Google Scholar] [CrossRef] [PubMed]
- Carrington, S.J.; Bailey, A.J. Are There Theory of Mind Regions in the Brain? A Review of the Neuroimaging Literature. Hum. Brain Mapp. 2009, 30, 2313–2335. [Google Scholar] [CrossRef]
- Saxe, R.; Kanwisher, N. People thinking about thinking people. The role of the temporo-parietal junction in “theory of mind”. NeuroImage 2003, 19, 1835–1842. [Google Scholar] [CrossRef]
- Fassbender, C.; Murphy, K.; Foxe, J.J.; Wylie, G.R.; Javitt, D.C.; Robertson, I.H.; Garavan, H. A Topography of Executive Functions and Their Interactions Revealed by Functional Magnetic Resonance Imaging. Brain Res. Cogn. Brain Res. 2004, 20, 132–143. [Google Scholar] [CrossRef]
- Cristofori, I.; Cohen-Zimerman, S.; Grafman, J. Executive Functions. In The Frontal Lobes; Elsevier: Amsterdam, The Netherlands, 2019; pp. 197–219. [Google Scholar] [CrossRef]
- Nee, D.E.; Wager, T.D.; Jonides, J. Interference Resolution: Insights from a Meta-Analysis of Neuroimaging Tasks. Cogn. Affect. Behav. Neurosci. 2007, 7, 1–17. [Google Scholar] [CrossRef]
- Ruby, P.; Decety, J. Effect of Subjective Perspective Taking during Simulation of Action: A PET Investigation of Agency. Nat. Neurosci. 2001, 4, 546–550. [Google Scholar] [CrossRef]
- Grabowski, T.J., Jr. Perisylvian Language Networks of the Human Brain. Year B. Neurol. Neurosurg. 2006, 2006, 141–142. [Google Scholar] [CrossRef]
- Bottini, G.; Corcoran, R.; Sterzi, R.; Paulesu, E.; Schenone, P.; Scarpa, P.; Frackowiak, R.S.J.; Frith, D. The Role of the Right Hemisphere in the Interpretation of Figurative Aspects of Language A Positron Emission Tomography Activation Study. Brain 1994, 117, 1241–1253. [Google Scholar] [CrossRef]
- Zempleni, M.-Z.; Haverkort, M.; Renken, R.; Stowe, L.A. Evidence for Bilateral Involvement in Idiom Comprehension: An FMRI Study. Neuroimage 2007, 34, 1280–1291. [Google Scholar] [CrossRef] [PubMed]
- Hertrich, I.; Dietrich, S.; Ackermann, H. The Margins of the Language Network in the Brain. Front. Commun. 2020, 5, 519955. [Google Scholar] [CrossRef]
- Kotila, A.; Hyvärinen, A.; Mäkinen, L.; Leinonen, E.; Hurtig, T.; Ebeling, H.; Korhonen, V.; Kiviniemi, V.J.; Loukusa, S. Processing of Pragmatic Communication in ASD: A Video-Based Brain Imaging Study. Sci. Rep. 2020, 10, 21739. [Google Scholar] [CrossRef] [PubMed]
- Kristensen, L.B.; Wang, L.; Petersson, K.M.; Hagoort, P. The Interface between Language and Attention: Prosodic Focus Marking Recruits a General Attention Network in Spoken Language Comprehension. Cereb. Cortex 2013, 23, 1836–1848. [Google Scholar] [CrossRef] [PubMed]
- Padmanabhan, A.; Lynch, C.J.; Schaer, M.; Menon, V. The Default Mode Network in Autism. Biol. Psychiatry Cogn. Neurosci. Neuroimaging 2017, 2, 476–486. [Google Scholar] [CrossRef] [PubMed]


| Patient | Gender | Age | Education | Lesion Loci |
|---|---|---|---|---|
| 1 | M | 48 | 12 | PrG |
| 2 | M | 50 | 12 | IC |
| 3 | M | 76 | 16 | Missing |
| 4 | M | 74 | 12 | Missing |
| 5 | F | 61 | 6 | IPL, STG/MTG |
| 6 | F | 20 | 15 | IC, Th |
| 7 | M | 51 | 12 | IC, Ins, Pt-Po, IPL, STG/MTG |
| 8 | F | 58 | 14 | SMA, PrG, MFG |
| 9 | M | 64 | 17 | PrG, Ins, Pt-Po, MFG |
| 10 | F | 64 | 14 | IPL |
| 11 | M | 65 | 9 | IC, EC, GP, Ptm, CN, Th, PrG, Ins, Pt-Po, MFG, IPL, STG/MFG |
| 12 | M | 59 | 24 | IC, EC, Ptm, Th, SMA, Ins, Pt-Po, MFG, IPL |
| 13 | M | 81 | 9 | SMA, PrG, Ins, IPL |
| 14 | F | 55 | 12 | IC, EC, Th |
| 15 | F | 55 | 16 | Missing |
| 16 | F | 53 | 14 | PrG, Pt-Po, MFG, IPL |
| 17 | M | 58 | 14 | SMA, PrG, Ins, Pt-Po, MFG, IPL |
| 18 | M | 47 | 9 | EC, SMA, Ins, IPL |
| 19 | M | 45 | 18 | Missing |
| 20 | F | 53 | 12 | GP, Ptm, Th, SMA, PrG, IPL |
| 21 | M | 70 | 12 | IC, EC, GP, Ptm, CN, Th, IPL |
| 22 | M | 62 | 16 | GP), Ptm, CN, SMA, PrG, Pt-Po, MFG, IPL, STG/MFG |
| 23 | F | 69 | 16 | IC, CN, Th |
| 24 | F | 55 | 6 | PrG, MFG, STG/MTG |
| 25 | M | 67 | 12 | IC, EC, GP, Ptm, CN, Th, SMA, PrG, Ins, Pt-Po, MFG, IPL |
| Patient | Cluster | Pragmatics 1 | Verbal ToM 1 | Non-Verbal ToM 1 | Executive Functions 3 | |||||||
|---|---|---|---|---|---|---|---|---|---|---|---|---|
| Met 2 | IR 2 | Cog 2 | Aff 2 | Cog 2 | Aff 2 | Inhibition 2 | STM 4 | WM 4 | CogFlx 5 | PrSp 6 | ||
| 1 | 1 | 0.8 | 1 | 0.7 | 0.8 | 0.8 | 0.8 | 0.4 * | 5 | 4 | 69 | 25 * |
| 11 | 0.6 * | 0.8 * | 0.3 * | 0.6 | 0.3 * | 0.6 | 0.2 * | 3 * | 3 * | 300 * | 29 | |
| 2 | 2 | 0.8 | 0.9 | 0.2 * | 0.6 | 0.8 | 1 | 1 | 6 | 5 | 50 | 46 |
| 6 | 0.9 | 0.9 | 0.9 | 1 | 0.6 | 1 | 1 | 6 | 6 | 46 | 55 | |
| 20 | 0.8 | 0.9 | 0.7 | 0.8 | 0.6 | 1 | 0.9 | 7 | 4 | 54 | 43 | |
| 19 | 0.9 | 1 | 0.8 | 0.8 | 0.9 | 0.6 | 0.9 | 7 | 5 | 77 | 35 * | |
| 4 | 0.7 * | 1 | 0.5 | 0.6 | 0.8 | 0.5 * | 0.8 | 7 | 6 | 155 | 27 | |
| 10 | 0.8 | 0.9 | 0.2 * | 0.8 | 0.3 * | 0.5 * | 0.7 | 5 | 3 | 157 * | 26 * | |
| 22 | 0.8 | 0.9 | 0.6 | 1 | 0.7 | 0.4 * | 0.9 | 5 | 5 | 116 * | 23 * | |
| 14 | 0.8 | 0.8 * | 0.5 | 0.6 | 0.7 | 0.8 | 0.7 | 5 | 3 | 102 | 42 | |
| 21 | 8 | 0.9 | 0.4 | 1 | 0.6 | 0.5 * | 0.3 * | 5 | 3 | 111 | 30 | |
| 12 | 0.8 | 0.9 | 0.6 | 1 | 0.9 | 0.5 * | 0.7 | 5 | 4 | 70 | 0 * | |
| 3 | 3 | 0.7 * | 0.9 | 0.7 | 1 | 0.7 | 0.9 | 0.6 | 4 * | 3 * | 231 * | 38 |
| 15 | 0.8 | 1 | 0.4 | 0.6 | 0.7 | 0.6 | 0.7 | 5 * | 4 * | 300 * | 42 | |
| 17 | 0.8 | 0.7 * | 0.4 | 0.8 | 0.4 * | 0.4 * | 0.8 | 4 * | 2 * | 300 * | 34 | |
| 7 | 0.7 * | 0.9 | 0.6 | 1 | 0.6 | 0.6 | 0.5 | 6 | 4 | 175 * | 27 | |
| 23 | 0.8 | 0.8 * | 0.6 | 0.6 | 0.6 | 0.5 * | 0.8 | 4 * | 3 | 300 * | 26 * | |
| 5 | 0.7 * | 0.8 * | 0.1 * | 0.2 * | 0.8 | 0.4 * | 0.6 | 5 | 3 | 300 * | 7 * | |
| 8 | 0.6 * | 0.9 | 0.7 | 1 | 0.7 | 0.6 | 0.4 | 4 | 3 * | 300 * | 11 * | |
| 24 | 0.4 * | 0.9 | 0.6 | 0.8 | 0.6 | 0.1 * | 0.4 * | 4 * | 4 | 300 * | 13 * | |
| 16 | 0.7 * | 1 | 0.2 * | 0.2 * | 0.5 * | 0.8 | 0.3 * | 5 * | 4 | 300 * | 10 * | |
| 18 | 0.7 * | 0.9 | 0.1 * | 0.4 * | 0.6 | 0.8 | 0.4 * | 4 | 3 | 300 * | 8 * | |
| 25 | 0.5 * | 0.8 * | 0.4 | 0.6 | 0.6 | 0.5 * | 0.4 * | 4 * | 4 | 300 * | 24 | |
| 13 | 0.6 * | 1 | 0.2 * | 0.2 * | 0.7 | 0.5 * | 0.3 * | 6 | 3 * | 300 * | 38 | |
| 9 | 0.7 * | 0.9 | 0.2 * | 0.6 | 0.7 | 0.3 * | 0.3 * | 5 * | 4 * | 134 * | 29 | |
| IR 1 | Met 2 | Non-Verbal ToM Cog 3 | Non-Verbal ToM Aff 4 | Inhibition | STM 5 | WM 6 | Processing Speed | Verbal ToM Cog 7 | Verbal ToM Aff 8 | Cog Flex 9 | |
|---|---|---|---|---|---|---|---|---|---|---|---|
| IR 1 | 1.000 | ||||||||||
| Met 2 | 0.051 | 1.000 | |||||||||
| Non-Verbal ToM Cog 3 | 0.443 * | 0.162 | 1.000 | . | |||||||
| Non-Verbal ToM Aff 4 | 0.227 | 0.532 * | −0.027 | 1.000 | |||||||
| Inhibition | −0.128 | 0.629 ** | 0.095 | 0.350 | 1.000 | ||||||
| STM 5 | 0.359 | 0.489 * | 0.304 | 0.366 | 0.545 ** | 1.000 | |||||
| WM 6 | 0.349 | 0.246 | 0.316 | 0.261 | 0.479 * | 0.712 *** | 1.000 | ||||
| Processing Speed | −0.019 | 0.390 | −0.199 | 0.503 * | 0.478 * | 0.412 | 0.175 | 1.000 | |||
| Verbal ToM Cog 7 | −0.007 | 0.035 | 0.133 | 0.240 | 0.265 | 0.140 | 0.294 | 0.256 | 1.000 | ||
| Verbal ToM Aff 8 | −0.126 | −0.070 | −0.080 | 0.073 | 0.239 | 0.107 | 0.240 | 0.160 | 0.753 *** | 1.000 | |
| Cog Flex 9 | −0.028 | −0.327 | −0.047 | −0.320 | −0.244 | −0.397 | −0.455 * | −0.282 | −0.267 | −0.381 | 1.000 |
| Models | B | SE B | β | p | |
|---|---|---|---|---|---|
| 1. | Constant | 32.506 | 1.768 | <0.001 | |
| Education | 0.320 | 0.120 | 0.326 | 0.010 | |
| 2. | Constant | 29.913 | 1.810 | <0.001 | |
| Education | 0.176 | 0.119 | 0.179 | 0.145 | |
| Frith–Happé cognitive condition of ToM | 0.509 | 0.152 | 0.405 | <0.001 |
| Models | B | SE B | β | p | |
|---|---|---|---|---|---|
| 1. | Constant | 28.974 | 2.986 | <0.001 | |
| Education | 0.878 | 0.202 | 0.493 | <0.001 | |
| 2. | Constant | 25.025 | 3.287 | <0.001 | |
| Education | 0.786 | 0.197 | 0.442 | <0.001 | |
| Frith–Happé affective condition of ToM | 1.007 | 0.410 | 0.272 | 0.017 | |
| 3. | Constant | 24.747 | 3.212 | <0.001 | |
| Education | 0.572 | 0.214 | 0.321 | 0.010 | |
| Frith–Happé affective condition of ToM | 0.695 | 0.431 | 0.188 | 0.112 | |
| Stroop | 0.037 | 0.022 | 0.215 | 0.094 | |
| Digit span forward | 0.130 | 0.133 | 0.123 | 0.333 |
Disclaimer/Publisher’s Note: The statements, opinions and data contained in all publications are solely those of the individual author(s) and contributor(s) and not of MDPI and/or the editor(s). MDPI and/or the editor(s) disclaim responsibility for any injury to people or property resulting from any ideas, methods, instructions or products referred to in the content. |
© 2023 by the authors. Licensee MDPI, Basel, Switzerland. This article is an open access article distributed under the terms and conditions of the Creative Commons Attribution (CC BY) license (https://creativecommons.org/licenses/by/4.0/).
Share and Cite
Tsolakopoulos, D.; Kasselimis, D.; Laskaris, N.; Angelopoulou, G.; Papageorgiou, G.; Velonakis, G.; Varkanitsa, M.; Tountopoulou, A.; Vassilopoulou, S.; Goutsos, D.; et al. Exploring Pragmatic Deficits in Relation to Theory of Mind and Executive Functions: Evidence from Individuals with Right Hemisphere Stroke. Brain Sci. 2023, 13, 1385. https://doi.org/10.3390/brainsci13101385
Tsolakopoulos D, Kasselimis D, Laskaris N, Angelopoulou G, Papageorgiou G, Velonakis G, Varkanitsa M, Tountopoulou A, Vassilopoulou S, Goutsos D, et al. Exploring Pragmatic Deficits in Relation to Theory of Mind and Executive Functions: Evidence from Individuals with Right Hemisphere Stroke. Brain Sciences. 2023; 13(10):1385. https://doi.org/10.3390/brainsci13101385
Chicago/Turabian StyleTsolakopoulos, Dimitrios, Dimitrios Kasselimis, Nikolaos Laskaris, Georgia Angelopoulou, Georgios Papageorgiou, Georgios Velonakis, Maria Varkanitsa, Argyro Tountopoulou, Sofia Vassilopoulou, Dionysis Goutsos, and et al. 2023. "Exploring Pragmatic Deficits in Relation to Theory of Mind and Executive Functions: Evidence from Individuals with Right Hemisphere Stroke" Brain Sciences 13, no. 10: 1385. https://doi.org/10.3390/brainsci13101385
APA StyleTsolakopoulos, D., Kasselimis, D., Laskaris, N., Angelopoulou, G., Papageorgiou, G., Velonakis, G., Varkanitsa, M., Tountopoulou, A., Vassilopoulou, S., Goutsos, D., & Potagas, C. (2023). Exploring Pragmatic Deficits in Relation to Theory of Mind and Executive Functions: Evidence from Individuals with Right Hemisphere Stroke. Brain Sciences, 13(10), 1385. https://doi.org/10.3390/brainsci13101385

