Wrist Proprioception in Adults with and without Subacute Stroke
Abstract
1. Introduction
2. Materials and Methods
2.1. Subject Recruitment
2.2. Subject Assessments and Assessment Schedule
2.3. Statistical Analysis
3. Results
3.1. Subject Demographics
3.2. Assessment Performance
3.3. Trial and Position Effects on WPST Testing
3.4. Within-Subject Differences
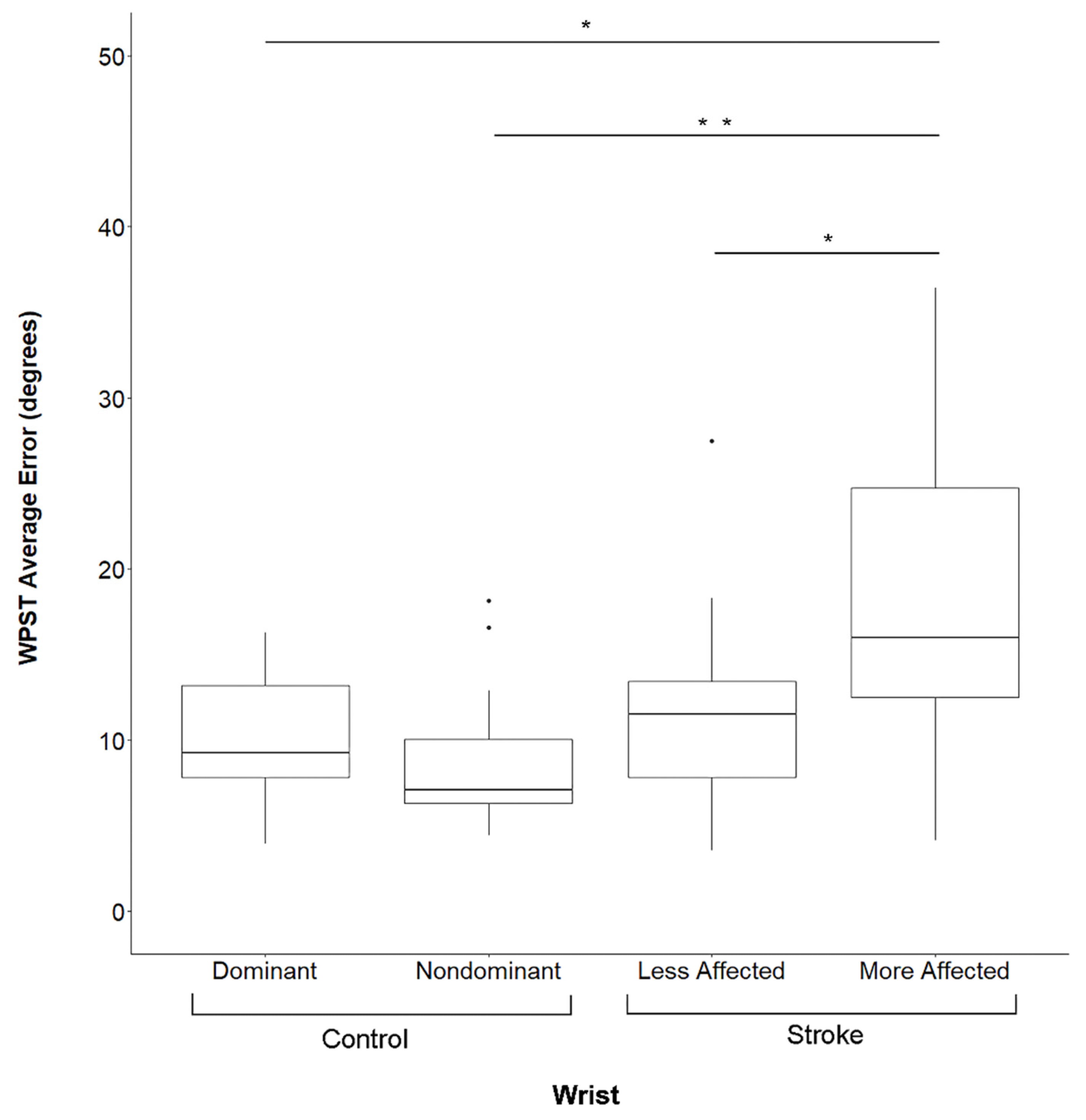
3.5. Group Comparisons
3.6. Demographic and Assessment Relationships with WPST Performance
4. Discussion
4.1. Deficits in Proprioception Were Common after Stroke
4.2. Proprioception Deficits in Controls Increased with Age
4.3. Proprioceptive Error Increased over a Subject’s Course of Testing and as Positions Approached End Range of Motion
4.4. Proprioceptive Deficits in the Dominant Wrist of Healthy Subjects Were Related to Motor Function
4.5. Proprioceptive Deficits Are Not Explained by Cognitive or Motor Deficits after Stroke
4.6. Limitations
5. Conclusions
Author Contributions
Funding
Institutional Review Board Statement
Informed Consent Statement
Data Availability Statement
Acknowledgments
Conflicts of Interest
Abbreviations
References
- Cramer, S.C. Repairing the human brain after stroke. II. Restorative therapies. Ann. Neurol. 2008, 63, 549–560. [Google Scholar] [CrossRef]
- Virani, S.S.; Alonso, A.; Aparicio, H.J.; Benjamin, E.J.; Bittencourt, M.S.; Callaway, C.W.; Carson, A.P.; Chamberlain, A.M.; Cheng, S.; Delling, F.N.; et al. Heart disease and stroke statistics-2021 update: A report from the American Heart Association. Circulation 2021, 143, e254–e743. [Google Scholar] [CrossRef]
- Kim, J.S.; Choi-Kwon, S. Discriminative Sensory Dysfunction After Unilateral Stroke. Stroke 1996, 27, 677–682. [Google Scholar] [CrossRef]
- Rathore, S.S.; Hinn, A.R.; Cooper, L.S.; Tyroler, H.A.; Rosamond, W.D. Characterization of incident stroke signs and symptoms: Findings from the Atherosclerosis Risk in Communities Study. Stroke 2002, 33, 2718–2721. [Google Scholar] [CrossRef]
- Ingemanson, M.L.; Rowe, J.R.; Chan, V.; Riley, J.; Wolbrecht, E.T.; Reinkensmeyer, D.J.; Cramer, S.C. Neural correlates of passive position finger sense after stroke. Neurorehabil. Neural Repair. 2019, 33, 740–750. [Google Scholar] [CrossRef]
- Cherpin, A.; Hussain, A.; Chua, K.S.; Campolo, D.; Kager, S.; Budhota, A.; Contu, S.; Vishwanath, D.; Kuah, C.W.; Ng, C.Y.; et al. A preliminary study on the relationship between proprioceptive deficits and motor functions in chronic stroke patients. IEEE Int. Conf. Rehabil. Robot. 2019, 2019, 465–470. [Google Scholar] [CrossRef]
- Bolognini, N.; Russo, C.; Edwards, D.J. The sensory side of post-stroke motor rehabilitation. Restor. Neurol. Neurosci. 2016, 34, 571–586. [Google Scholar] [CrossRef]
- Ingemanson, M.L.; Rowe, J.B.; Chan, V.; Wolbrecht, E.T.; Cramer, S.C.; Reinkensmeyer, D.J. Use of a robotic device to measure age-related decline in finger proprioception. Exp. Brain Res. 2015, 234, 83–93. [Google Scholar] [CrossRef]
- Sullivan, J.E.; Hedman, L.D. Sensory Dysfunction Following Stroke: Incidence, Significance, Examination, and Intervention. Top. Stroke Rehabil. 2008, 15, 200–217. [Google Scholar] [CrossRef]
- Kessner, S.S.; Bingel, U.; Thomalla, G. Somatosensory deficits after stroke: A scoping review. Top. Stroke Rehabil. 2015, 23, 136–146. [Google Scholar] [CrossRef]
- Carey, L.M.; Oke, L.E.; Matyas, T.A. Impaired Touch Discrimination After Stroke: A Quantiative Test. Neurorehabil. Neural Repair 1997, 11, 219–232. [Google Scholar] [CrossRef]
- Connell, L.; Lincoln, N.; Radford, K. Somatosensory impairment after stroke: Frequency of different deficits and their recovery. Clin. Rehabil. 2008, 22, 758–767. [Google Scholar] [CrossRef]
- Dukelow, S.P.; Herter, T.M.; Moore, K.D.; Demers, M.J.; Glasgow, J.I.; Bagg, S.D.; Norman, K.E.; Scott, S.H. Quantitative Assessment of Limb Position Sense Following Stroke. Neurorehabil. Neural Repair 2009, 24, 178–187. [Google Scholar] [CrossRef]
- Krakauer, J.W. Motor learning: Its relevance to stroke recovery and neurorehabilitation. Curr. Opin. Neurol. 2006, 19, 84–90. [Google Scholar] [CrossRef]
- Krakauer, J.W.; Hadjiosif, A.M.; Xu, J.; Wong, A.L.; Haith, A.M. Motor learning. Compr Physiol. 2019, 9, 613–663. [Google Scholar]
- Schweighofer, N.; Wang, C.; Mottet, D.; Laffont, I.; Bakhti, K.; Reinkensmeyer, D.J.; Rémy-Néris, O. Dissociating motor learning from recovery in exoskeleton training post-stroke. J. Neuroeng. Rehabil. 2018, 15, 89. [Google Scholar] [CrossRef]
- Meyer, S.; Karttunen, A.H.; Thijs, V.; Feys, H.; Verheyden, G. How Do Somatosensory Deficits in the Arm and Hand Relate to Upper Limb Impairment, Activity, and Participation Problems After Stroke? A Systematic Review. Phys. Ther. 2014, 94, 1220–1231. [Google Scholar] [CrossRef]
- Ingemanson, M.L.; Rowe, J.R.; Chan, V.; Wolbrecht, E.T.; Reinkensmeyer, D.J.; Cramer, S.C. Somatosensory system integrity explains differences in treatment response after stroke. Neurology 2019, 92, e1098–e1108. [Google Scholar] [CrossRef]
- Hillier, S.; Immink, M.; Thewlis, D. Assessing proprioception: A systematic review of possibilities. Neurorehabil. Neural Repair. 2015, 29, 933–949. [Google Scholar] [CrossRef]
- Lincoln, N.B.; Jackson, J.M.; Adams, S.A. Reliability and revision of the Nottingham Sensory Assessment for stroke patients. Physiotherapy 1998, 84, 358–365. [Google Scholar] [CrossRef]
- Winward, C.E.; Halligan, P.W.; Wade, D.T. The Rivermead Assessment of Somatosensory Performance (RASP): Standardization and reliability data. Clin. Rehabil. 2002, 16, 523–533. [Google Scholar] [CrossRef]
- Otaka, E.; Otaka, Y.; Kasuga, S.; Nishimoto, A.; Yamazaki, K.; Kawakami, M.; Ushiba, J.; Liu, M. Reliability of the thumb localizing test and its validity against quantitative measures with a robotic device in patients with hemiparetic stroke. PLoS ONE 2020, 15, e0236437. [Google Scholar] [CrossRef]
- Fugl-Meyer, A.R.; Jääskö, L.; Leyman, I.; Olsson, S.; Steglind, S. The post-stroke hemiplegic patient. 1. A method for evaluation of physical performance. Scand. J. Rehabil. Med. 1975, 7, 13–31. [Google Scholar]
- Carey, L.M.; Matyas, T.A.; Oke, L.E. Evaluation of impaired fingertip texture discrimination and wrist position sense in patients affected by stroke: Comparison of clinical and new quantitative measures. J. Hand Ther. 2002, 15, 71–82. [Google Scholar] [CrossRef]
- Kessner, S.S.; Schlemm, E.; Cheng, B.; Bingel, U.; Fiehler, J.; Gerloff, C.; Thomalla, G. Somatosensory Deficits After Ischemic Stroke. Stroke 2019, 50, 1116–1123. [Google Scholar] [CrossRef]
- Carey, L.; Oke, L.E.; Matyas, T.A. Impaired limb position sense after stroke: A quantitative test for clinical use. Arch. Phys. Med. Rehabil. 1996, 77, 1271–1278. [Google Scholar] [CrossRef]
- Desrosiers, J.; Bravo, G.; Hébert, R.; Dutil, E.; Mercier, L. Validation of the Box and Block Test as a measure of dexterity of elderly people: Reliability, validity, and norms studies. Arch. Phys. Med. Rehabil. 1994, 75, 751–755. [Google Scholar] [CrossRef]
- Miller, E.L.; Murray, L.; Richards, L.; Zorowitz, R.D.; Bakas, T.; Clark, P.; Billinger, S.A. Comprehensive overview of nursing and interdisciplinary rehabilitation care of the stroke patient: A scientific statement from the American Heart Association. Stroke 2010, 41, 2402–2448. [Google Scholar] [CrossRef]
- Chen, H.-M.; Chen, C.C.; Hsueh, I.-P.; Huang, S.-L.; Hsieh, C.-L. Test-Retest Reproducibility and Smallest Real Difference of 5 Hand Function Tests in Patients with Stroke. Neurorehabil. Neural Repair 2009, 23, 435–440. [Google Scholar] [CrossRef]
- Beebe, J.A.; Lang, C.E. Relationships and Responsiveness of Six Upper Extremity Function Tests During the First Six Months of Recovery After Stroke. J. Neurol. Phys. Ther. 2009, 33, 96–103. [Google Scholar] [CrossRef]
- Oxford Grice, K.; Vogel, K.A.; Le, V.; Mitchell, A.; Muniz, S.; Vollmer, M.A. Adult norms for a commercially available Nine Hole Peg Test for finger dexterity. Am. J. Occup. Ther. 2003, 57, 570–573. [Google Scholar] [CrossRef]
- Tombaugh, T.N. Trail Making Test A and B: Normative data stratified by age and education. Arch. Clin. Neuropsychol. 2004, 19, 203–214. [Google Scholar] [CrossRef]
- Muir, R.; Lam, B.; Honjo, K.; Harry, R.D.; McNeely, A.A.; Gao, F.-Q.; Ramirez, J.; Scott, C.J.; Ganda, A.; Zhao, J.; et al. Trail Making Test Elucidates Neural Substrates of Specific Poststroke Executive Dysfunctions. Stroke 2015, 46, 2755–2761. [Google Scholar] [CrossRef]
- Toglia, J.; Fitzgerald, K.A.; O’Dell, M.W.; Mastrogiovanni, A.R.; Lin, C.D. The Mini-Mental State Examination and Montreal Cognitive Assessment in Persons with Mild Subacute Stroke: Relationship to Functional Outcome. Arch. Phys. Med. Rehabil. 2011, 92, 792–798. [Google Scholar] [CrossRef]
- Feeney, J.; Savva, G.M.; O’Regan, C.; King-Kallimanis, B.; Cronin, H.; Kenny, R.A. Measurement Error, Reliability, and Minimum Detectable Change in the Mini-Mental State Examination, Montreal Cognitive Assessment, and Color Trails Test among Community Living Middle-Aged and Older Adults. J. Alzheimers Dis. 2016, 53, 1107–1114. [Google Scholar] [CrossRef]
- See, J.; Dodakian, L.; Chou, C.; Chan, V.; McKenzie, A.; Reinkensmeyer, D.J.; Cramer, S.C. A Standardized Approach to the Fugl-Meyer Assessment and Its Implications for Clinical Trials. Neurorehabil. Neural Repair 2013, 27, 732–741. [Google Scholar] [CrossRef]
- Lyden, P.; Raman, R.; Liu, L.; Emr, M.; Warren, M.; Marler, J. National Institutes of Health Stroke Scale certification is reliable across multiple venues. Stroke 2009, 40, 2507–2511. [Google Scholar] [CrossRef]
- Benjamini, Y.; Hochberg, Y. Controlling the false discovery rate: A practical and powerful approach to multiple testing. J. R. Stat. Soc. Ser. B (Methodol.) 1995, 57, 289–300. [Google Scholar] [CrossRef]
- Babu Henry Samuel, I.; Wang, C.; Burke, S.E.; Kluger, B.; Ding, M. Compensatory neural responses to cognitive fatigue in young and older adults. Front. Neural Circuits 2019, 13, 12. [Google Scholar] [CrossRef]
- Boisgontier, M.P.; Nougier, V. Proprioception: Bilateral inputs first. Neurosci. Lett. 2013, 534, 96–100. [Google Scholar] [CrossRef]
- Beurskens, R.; Haeger, M.; Kliegl, R.; Roecker, K.; Granacher, U. Postural control in dual-task situations: Does whole-body fatigue matter? PLoS ONE 2016, 11, e0147392. [Google Scholar] [CrossRef][Green Version]
- Miura, K.; Ishibashi, Y.; Tsuda, E.; Okamura, Y.; Otsuka, H.; Toh, S. The effect of local and general fatigue on knee proprioception. Arthrosc. J. Arthrosc. Relat. Surg. 2004, 20, 414–418. [Google Scholar] [CrossRef]
- Reece, A.; Marini, F.; Mugnosso, M.; Frost, G.; Sullivan, P.; Zabihhosseinian, M.; Zenzeri, J.; Holmes, M.W. Influence of Neck Pain, Cervical Extensor Muscle Fatigue, and Manual Therapy on Wrist Proprioception. J. Manip. Physiol. Ther. 2022, 45, 216–226. [Google Scholar] [CrossRef]
- Wolpert, D.M.; Diedrichsen, J.; Flanagan, J.R. Principles of sensorimotor learning. Nat. Rev. Neurosci. 2011, 12, 739–751. [Google Scholar] [CrossRef]
- Jones, S.A.; Fiehler, K.; Henriques, D.Y. A task-dependent effect of memory and hand-target on proprioceptive localization. Neuropsychologia 2012, 50, 1462–1470. [Google Scholar] [CrossRef]
- Lei, Y.; Wang, J. The effect of proprioceptive acuity variability on motor adaptation in older adults. Exp. Brain Res. 2018, 236, 599–608. [Google Scholar] [CrossRef]
- Wingert, J.R.; Welder, C.; Foo, P. Age-related hip proprioception declines: Effects on postural sway and dynamic balance. Arch. Phys. Med. Rehabil. 2014, 95, 253–261. [Google Scholar] [CrossRef]
- Bahmad, S.; Miller, L.E.; Pham, M.T.; Moreau, R.; Salemme, R.; Koun, E.; Farnè, A.; Roy, A.C. Online proprioception feeds plasticity of arm representation following tool-use in healthy aging. Sci. Rep. 2020, 10, 17275. [Google Scholar] [CrossRef]
- Bustrén, E.-L.; Sunnerhagen, K.S.; Murphy, M.A. Movement Kinematics of the Ipsilesional Upper Extremity in Persons with Moderate or Mild Stroke. Neurorehabil. Neural Repair 2017, 31, 376–386. [Google Scholar] [CrossRef]
- Rand, D. Proprioception deficits in chronic stroke-upper extremity function and daily living. PLoS ONE 2018, 13, e0195043. [Google Scholar] [CrossRef]



| Inclusion Criteria | Exclusion Criteria |
|---|---|
|
|
|
|
|
|
| |
| |
|
| Subjects with Stroke | Control Subjects | p-Value | |
|---|---|---|---|
| n | 18 | 19 | |
| Age (range), in years | 69.1 ± 16.3 (32–91) | 74.1 ± 9.7 (60–95) | 0.27 |
| Gender | 7 Female, 11 Male | 14 Female, 5 Male | 0.15 |
| Stroke-Affected Hand | 15 Left, 3 Right | Not Applicable | |
| Time Post-Stroke (days between index stroke and Visit 1 testing) | 12.5 ± 6.6 | Not Applicable | |
| Dominant Hand | 14 Right, 1 Left, 2 Right-dominant ambidextrous | 18 Right, 1 Left-dominant Ambidextrous | 0.23 |
| Assessment | Score |
|---|---|
| n | 19 |
| Montreal Cognitive Assessment | 26.5 ± 2.0 |
| Trail-Making Test A, time (sec) | 28.7 ± 8.4 |
| Wrist Position Sense Test Dominant upper extremity (degrees) | 9.7 ± 3.5 |
| Wrist Position Sense Test Non-Dominant upper extremity (degrees) | 8.8 ± 3.8 |
| Nine Hole Peg Test Time, Dominant Hand (sec) | 22.7 ± 7.9 |
| Nine Hole Peg Test Time, Non-Dominant Hand (sec) | 22.9 ± 4.0 |
| Box and Blocks Test Dominant Hand (# blocks in 60 sec) | 53.5 ± 10.8 |
| Box and Blocks Test Non-Dominant Hand (# blocks in 60 sec) | 53.8 ± 11.0 |
| Assessment | Visit 1 Score | Visit 2 Score |
|---|---|---|
| n | 18 | 12 |
| National Institutes of Health Stroke Scale | 3 [2–7.5] | N/A |
| Montreal Cognitive Assessment | 20.7 ± 5.1 | N/A |
| Trail-Making Test A, time (s) | 77.8 ± 35.4 | N/A |
| Fugl-Meyer Upper Extremity Motor | 44.9 ± 23.9 | 45.1 ± 23.4 |
| Wrist Position Sense Test More-Affected Upper Extremity (degrees) | 18.6 ± 9.0 | 17.1 ± 7.7 |
| Wrist Position Sense Test Less-Affected Upper Extremity (degrees) | 11.5 ± 5.6 | 15.7 ± 16.3 |
| Nine Hole Peg Test Time, More-Affected Hand (s) | 46.8 ± 12.6 | 46.7 ± 13.2 |
| Nine Hole Peg Test Time, Less-Affected Hand (s) | 35.1 ± 13.4 | 32.8 ± 12.1 |
| Box and Blocks Test More-Affected Hand (# blocks in 60 s) | 22.3 ± 16.5 | 21.2 ± 18.6 |
| Box and Blocks Test Less-Affected Hand (# blocks in 60 s) | 31.8 ± 10.9 | 34.6 ± 10.1 |
Disclaimer/Publisher’s Note: The statements, opinions and data contained in all publications are solely those of the individual author(s) and contributor(s) and not of MDPI and/or the editor(s). MDPI and/or the editor(s) disclaim responsibility for any injury to people or property resulting from any ideas, methods, instructions or products referred to in the content. |
© 2022 by the authors. Licensee MDPI, Basel, Switzerland. This article is an open access article distributed under the terms and conditions of the Creative Commons Attribution (CC BY) license (https://creativecommons.org/licenses/by/4.0/).
Share and Cite
Young, B.M.; Yadav, R.; Rana, S.; Kim, W.-S.; Liu, C.; Batth, R.; Sakthi, S.; Farahmand, E.; Han, S.; Patel, D.; et al. Wrist Proprioception in Adults with and without Subacute Stroke. Brain Sci. 2023, 13, 31. https://doi.org/10.3390/brainsci13010031
Young BM, Yadav R, Rana S, Kim W-S, Liu C, Batth R, Sakthi S, Farahmand E, Han S, Patel D, et al. Wrist Proprioception in Adults with and without Subacute Stroke. Brain Sciences. 2023; 13(1):31. https://doi.org/10.3390/brainsci13010031
Chicago/Turabian StyleYoung, Brittany M., Rishika Yadav, Shivam Rana, Won-Seok Kim, Camellia Liu, Rajan Batth, Shivani Sakthi, Eden Farahmand, Simon Han, Darshan Patel, and et al. 2023. "Wrist Proprioception in Adults with and without Subacute Stroke" Brain Sciences 13, no. 1: 31. https://doi.org/10.3390/brainsci13010031
APA StyleYoung, B. M., Yadav, R., Rana, S., Kim, W.-S., Liu, C., Batth, R., Sakthi, S., Farahmand, E., Han, S., Patel, D., Luo, J., Ramsey, C., Feldman, M., Cardoso-Ferreira, I., Holl, C., Nguyen, T., Brinkman, L., Su, M., Chang, T. Y., & Cramer, S. C. (2023). Wrist Proprioception in Adults with and without Subacute Stroke. Brain Sciences, 13(1), 31. https://doi.org/10.3390/brainsci13010031

