Doing Experimental Psychological Research from Remote: How Alerting Differently Impacts Online vs. Lab Setting
Abstract
1. Introduction
2. Materials and Methods
2.1. Participants
2.2. Experimental Procedure
2.3. Trial Structure
2.4. Local Predictive Context
2.5. Global Predictive Context
2.5.1. Uniform Block
2.5.2. Fast Block
2.5.3. Slow Block
2.6. Experimental Design and Data Analysis
- Log-RTs: LMM with group (online, lab), SOA (short, medium, long), block type (fast, uniform, slow), and their interaction as fixed factors and gender (M, F) and age as covariates;
- Accuracy: Logistic GLMM with group, SOA, block type, and their interaction as fixed factors and gender and age as covariates (the percentage of correct responses was weighted on the total number of possible correct responses per each condition);
- Delta scores: LM with group as predictor and gender and age as covariates.
3. Results
3.1. Descriptive Statistics
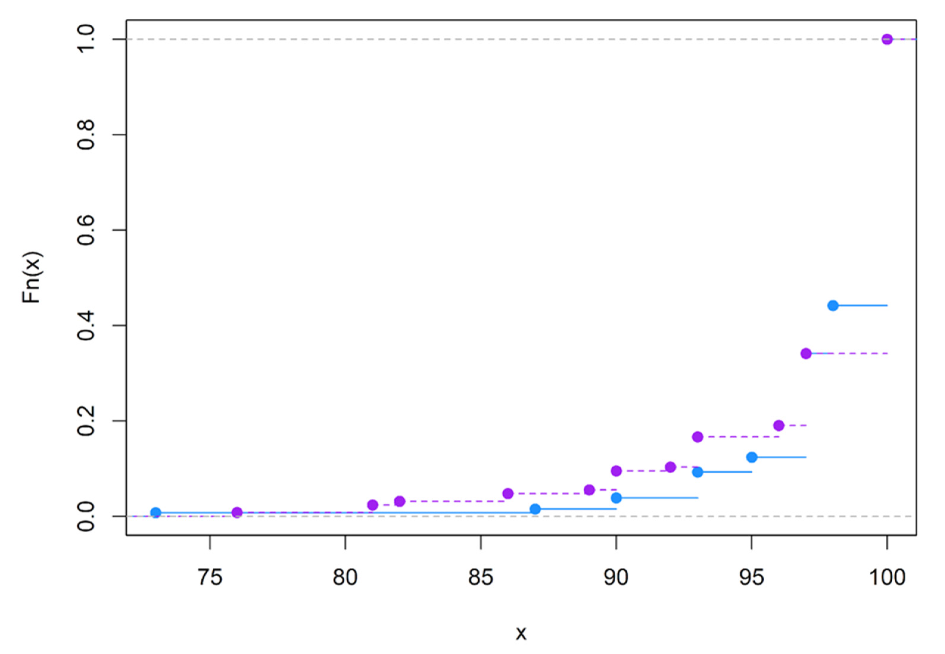
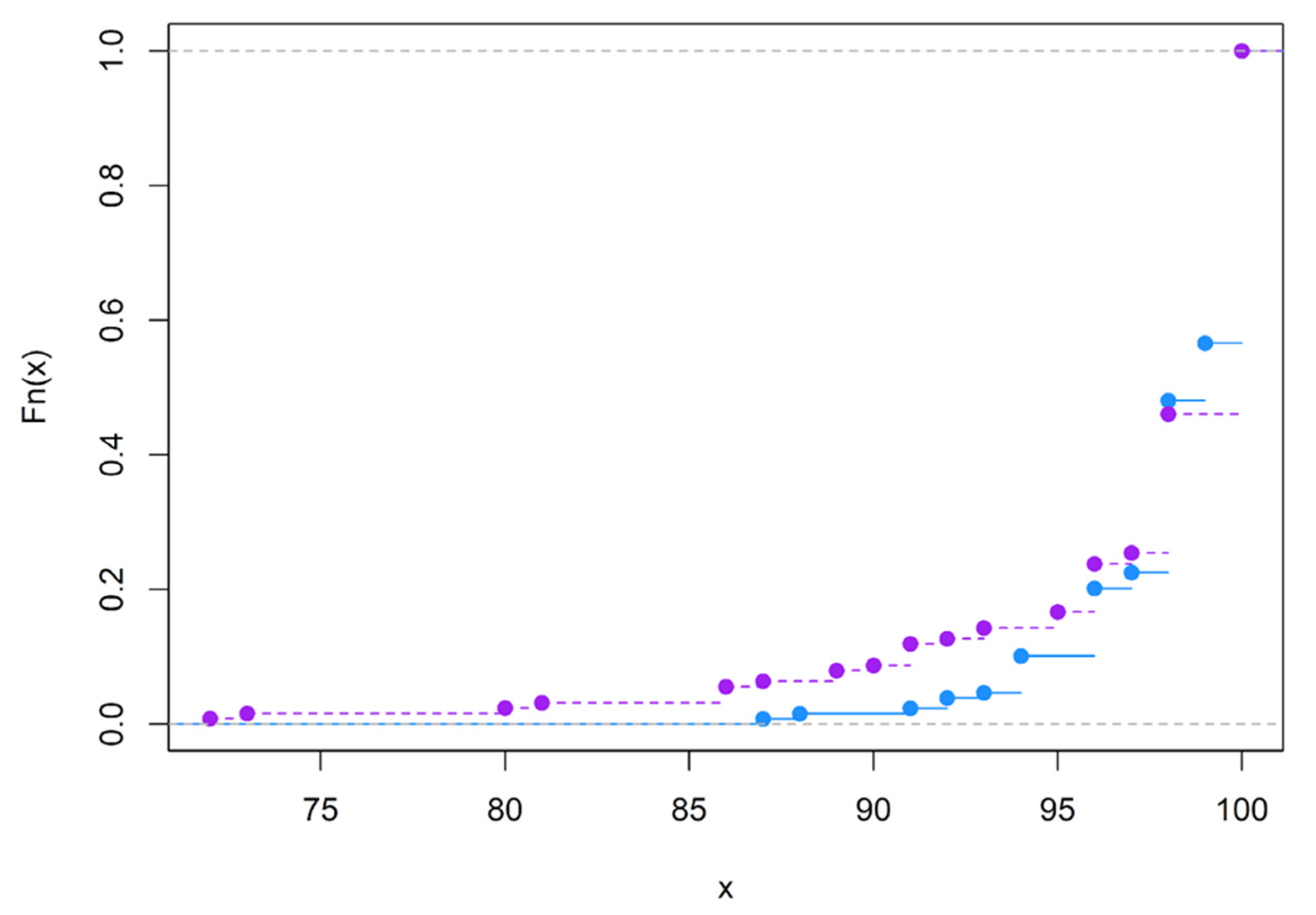
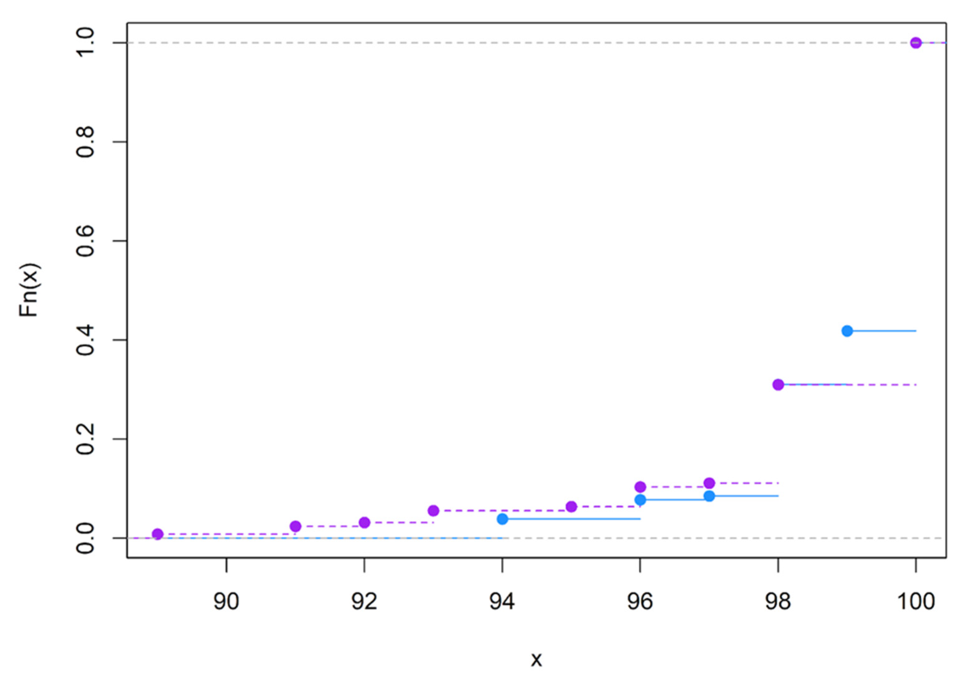
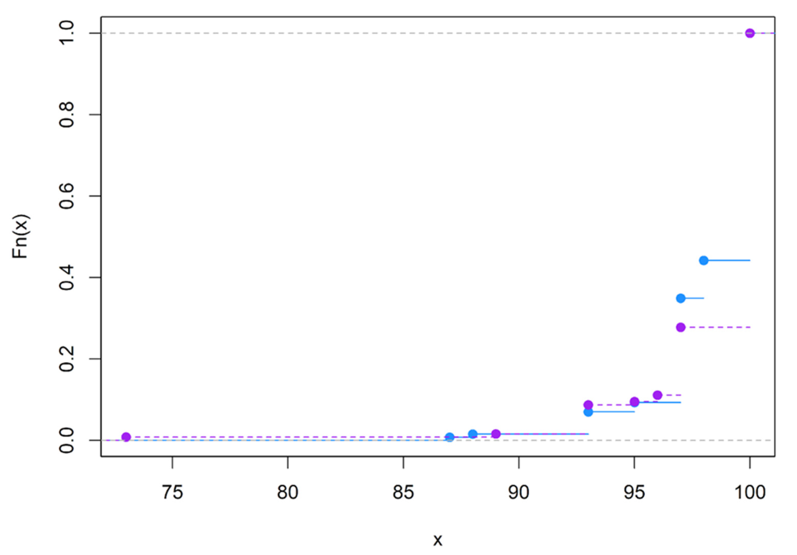
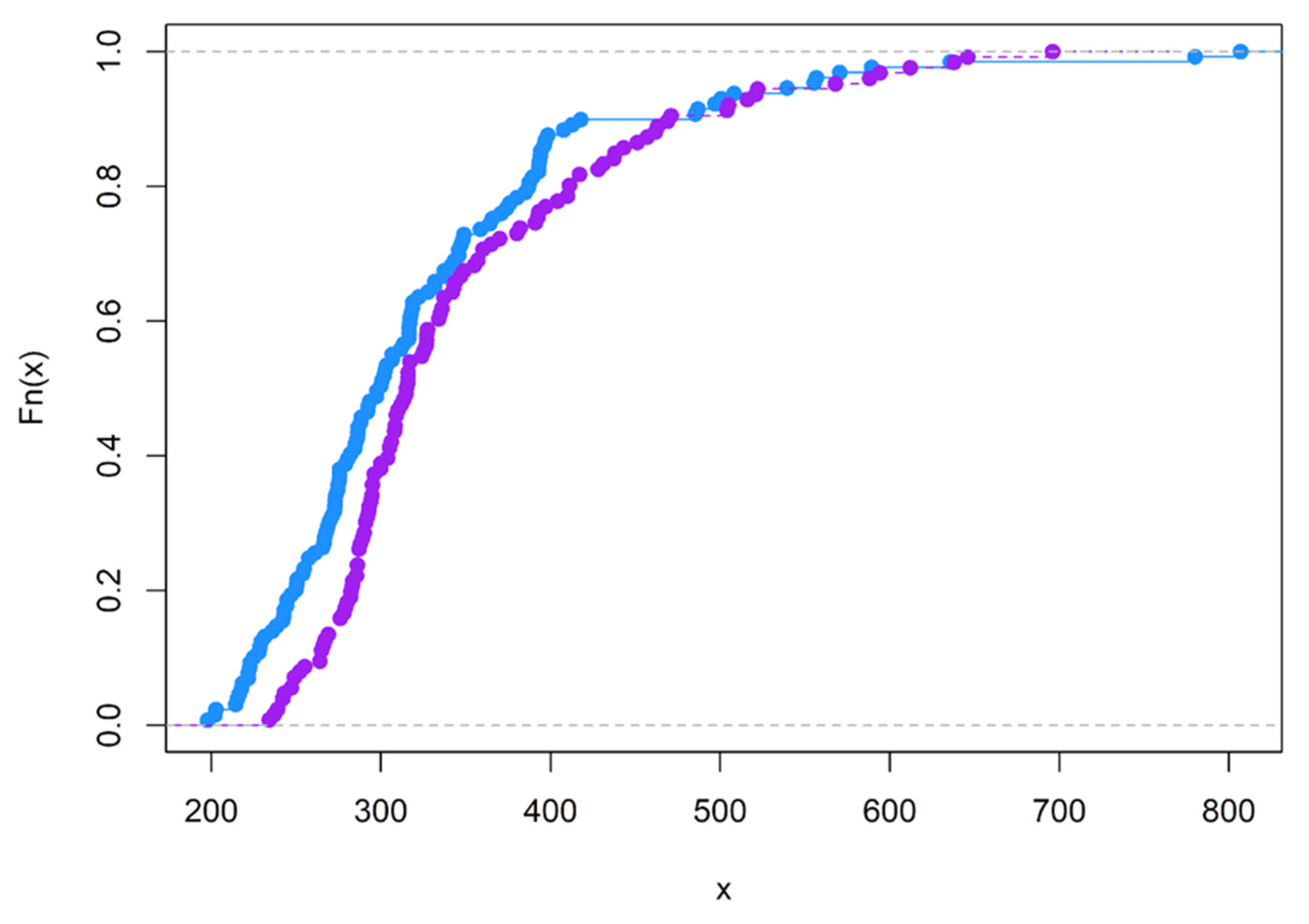
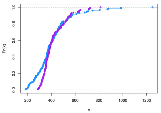
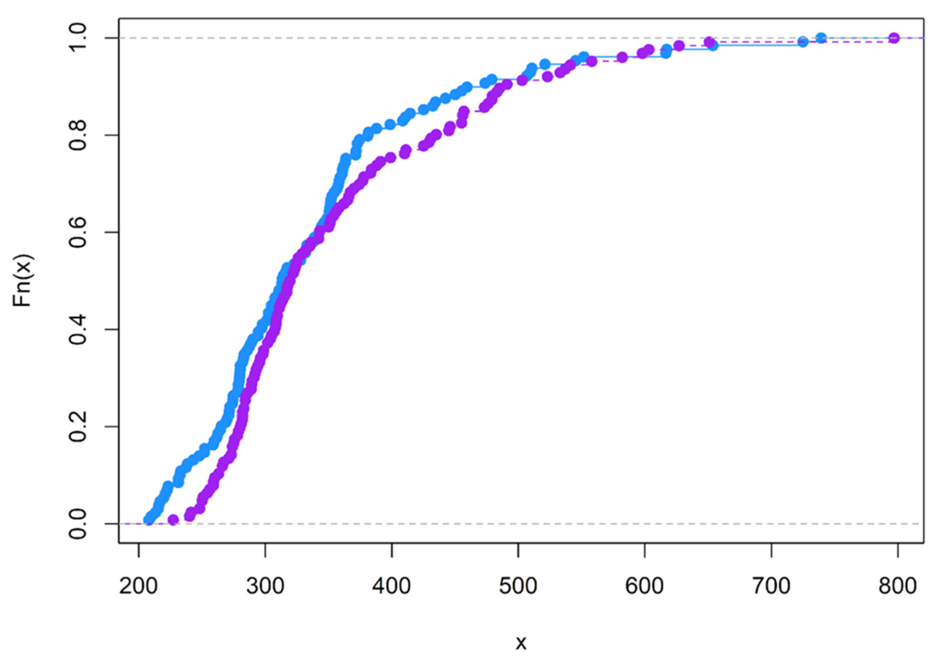
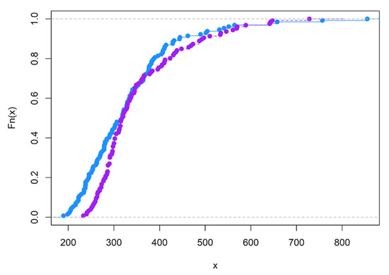
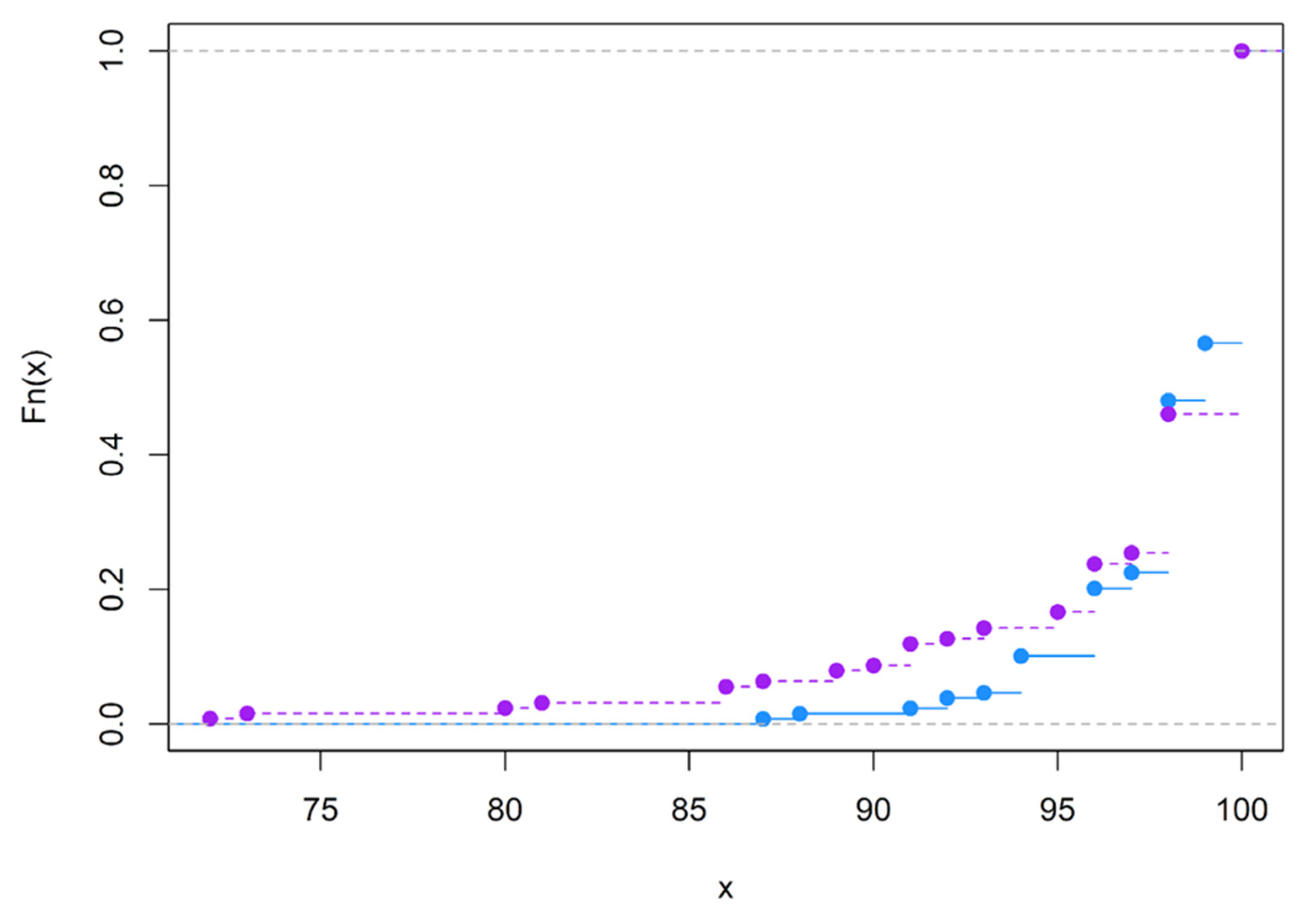
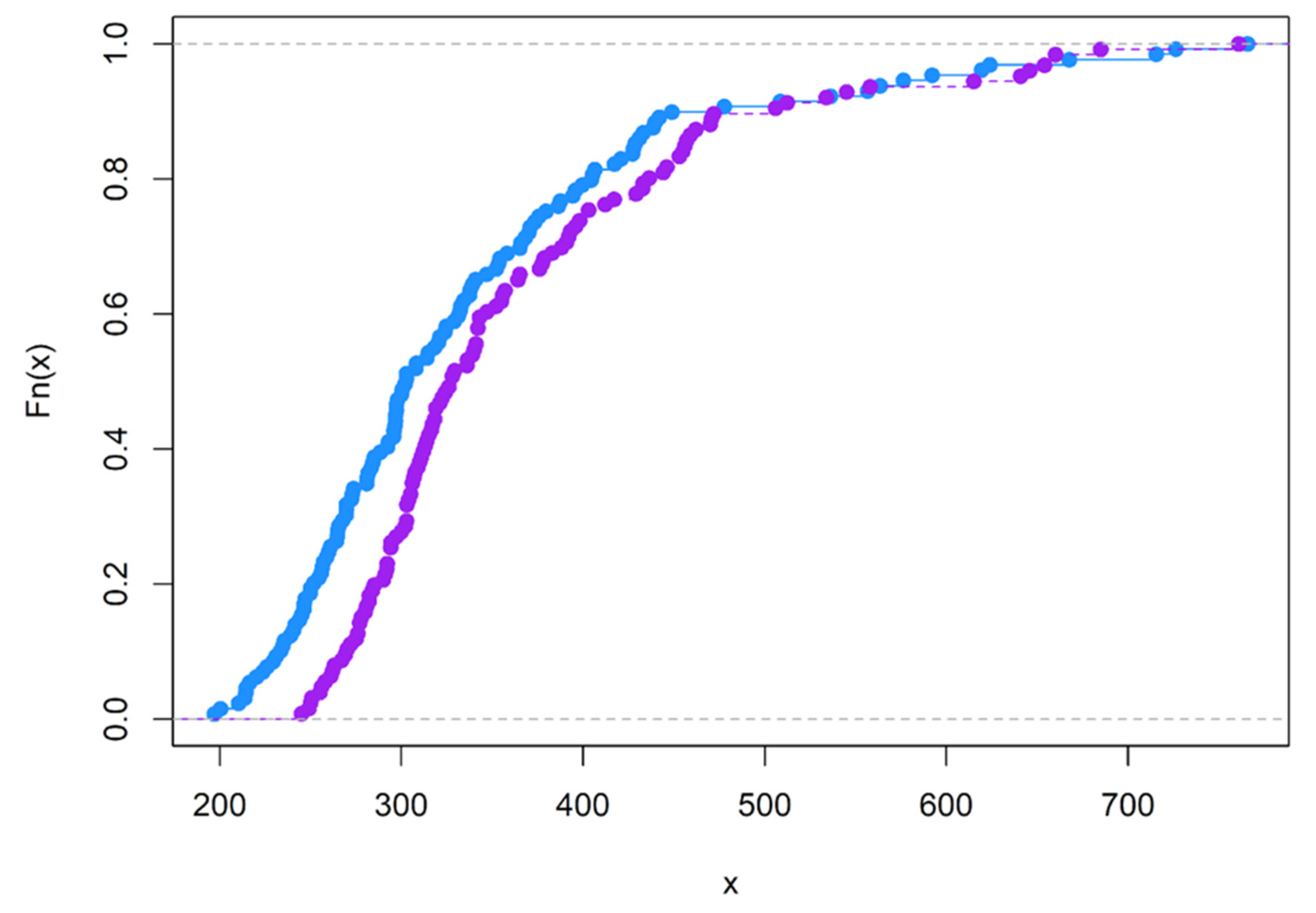
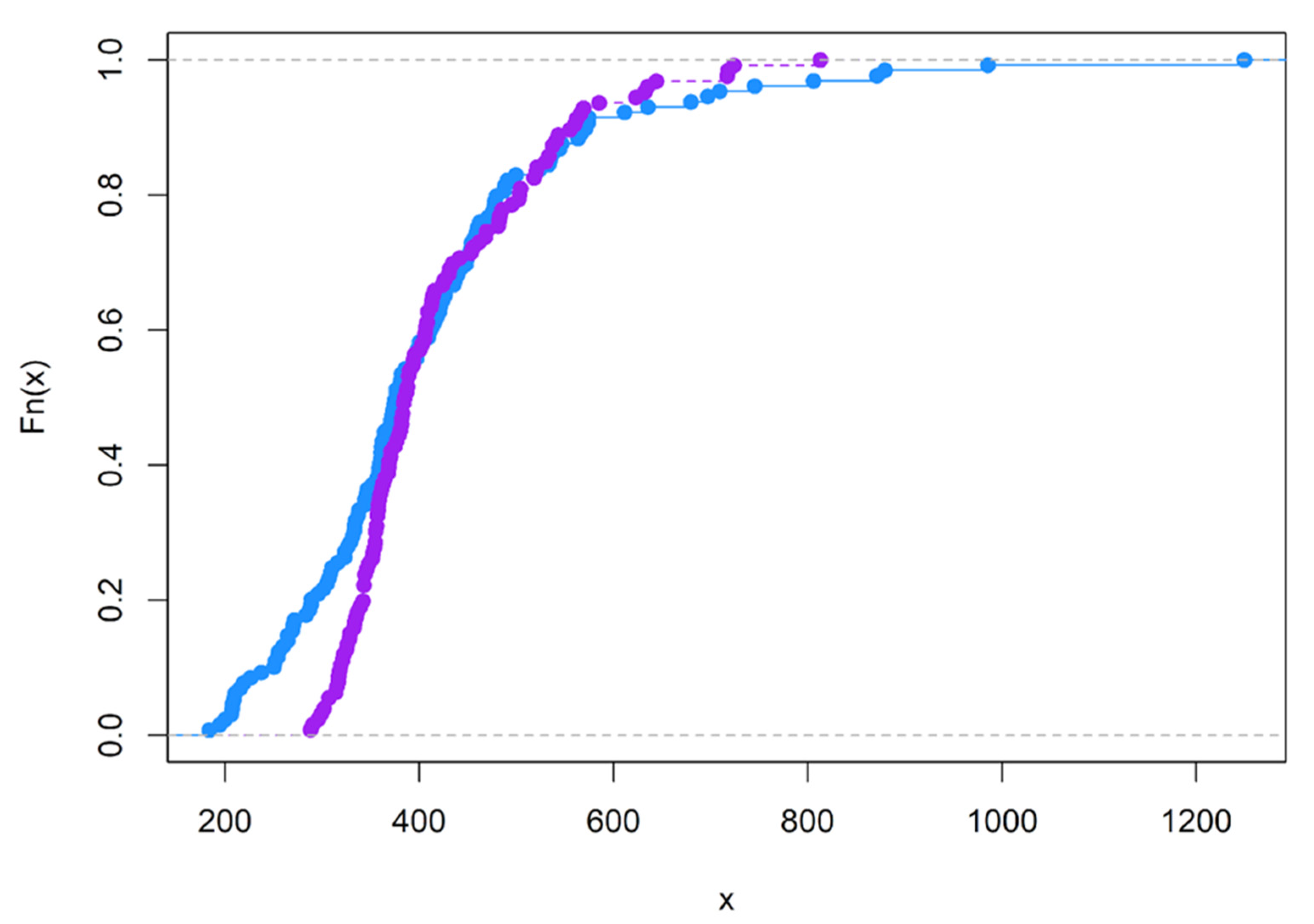
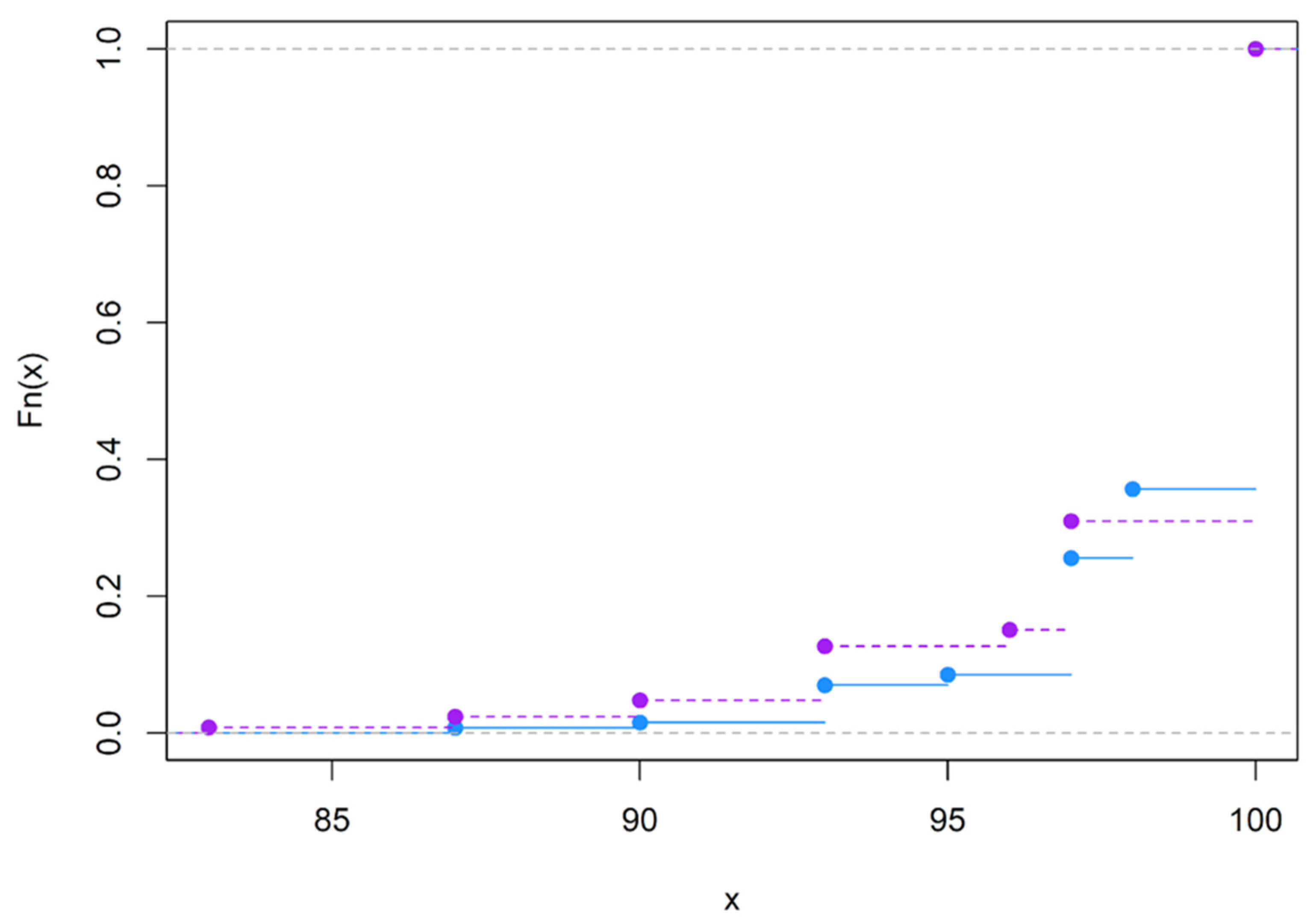
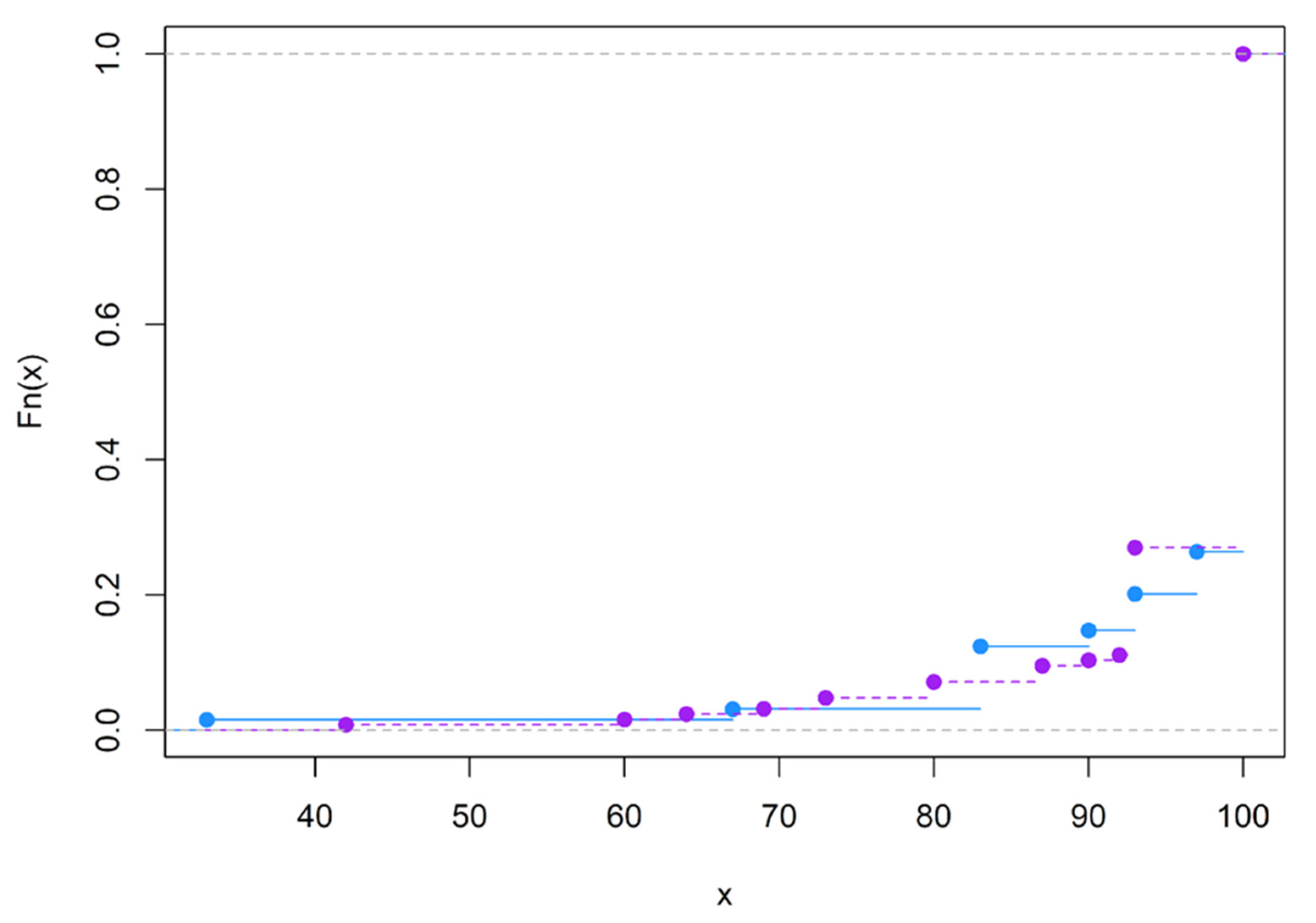
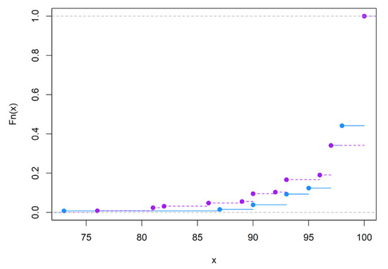
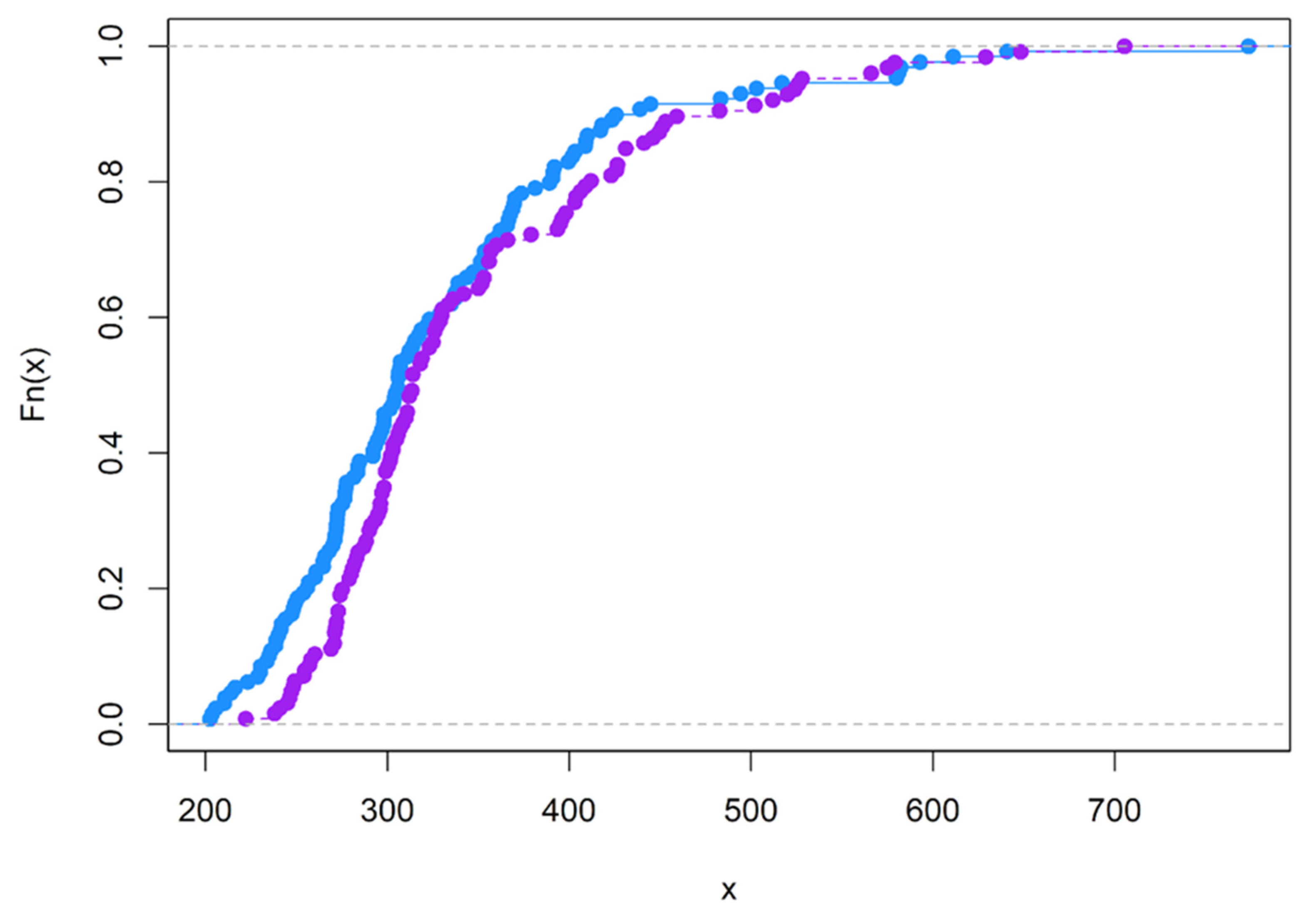
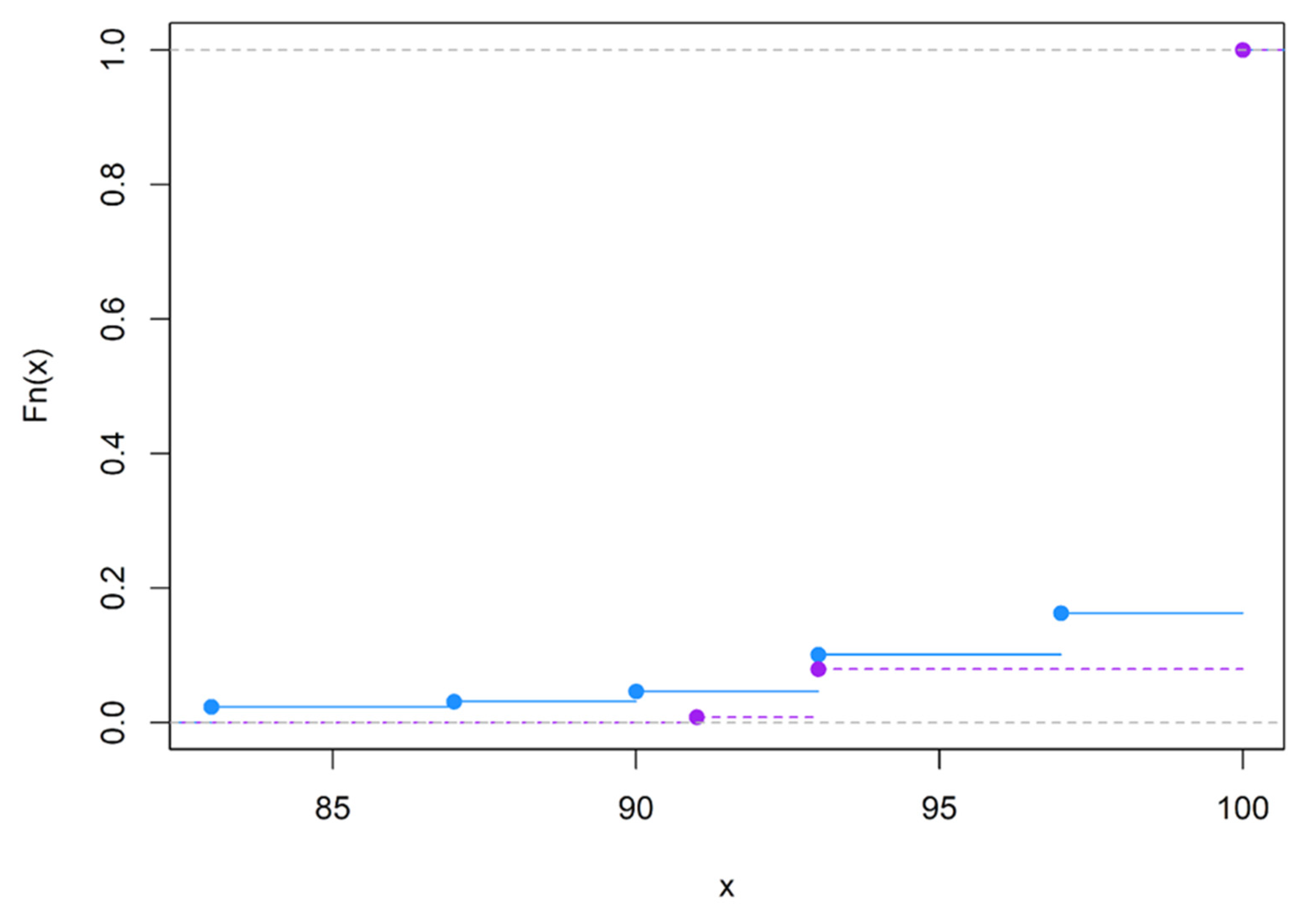
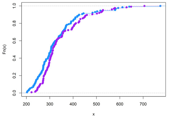
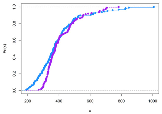
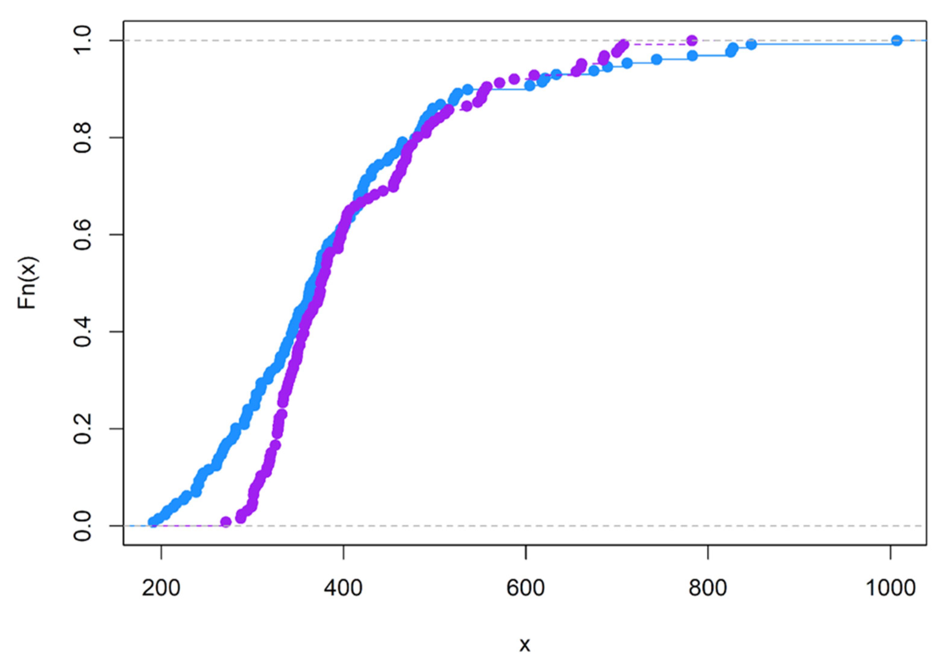
3.2. Distributions Comparison
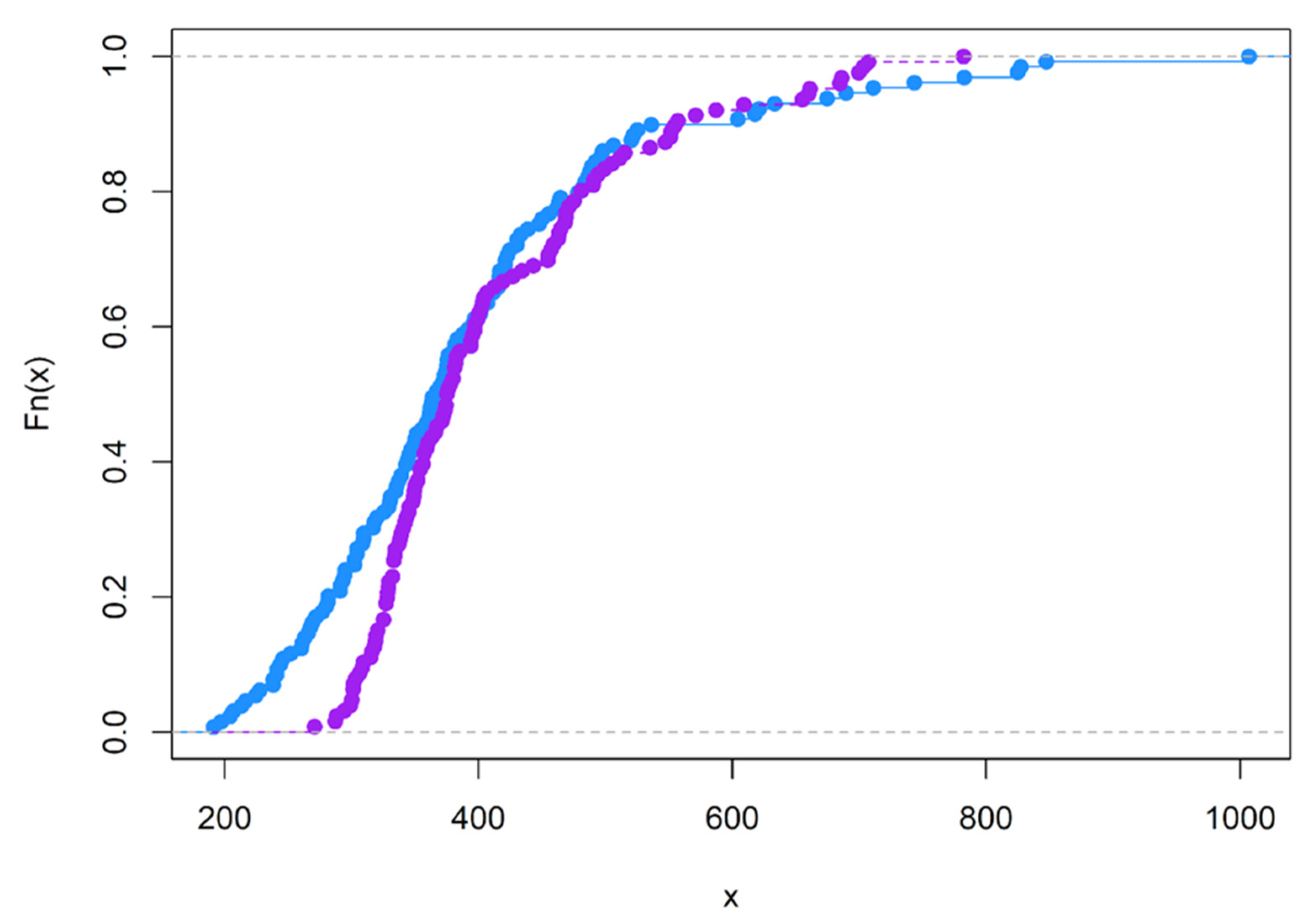
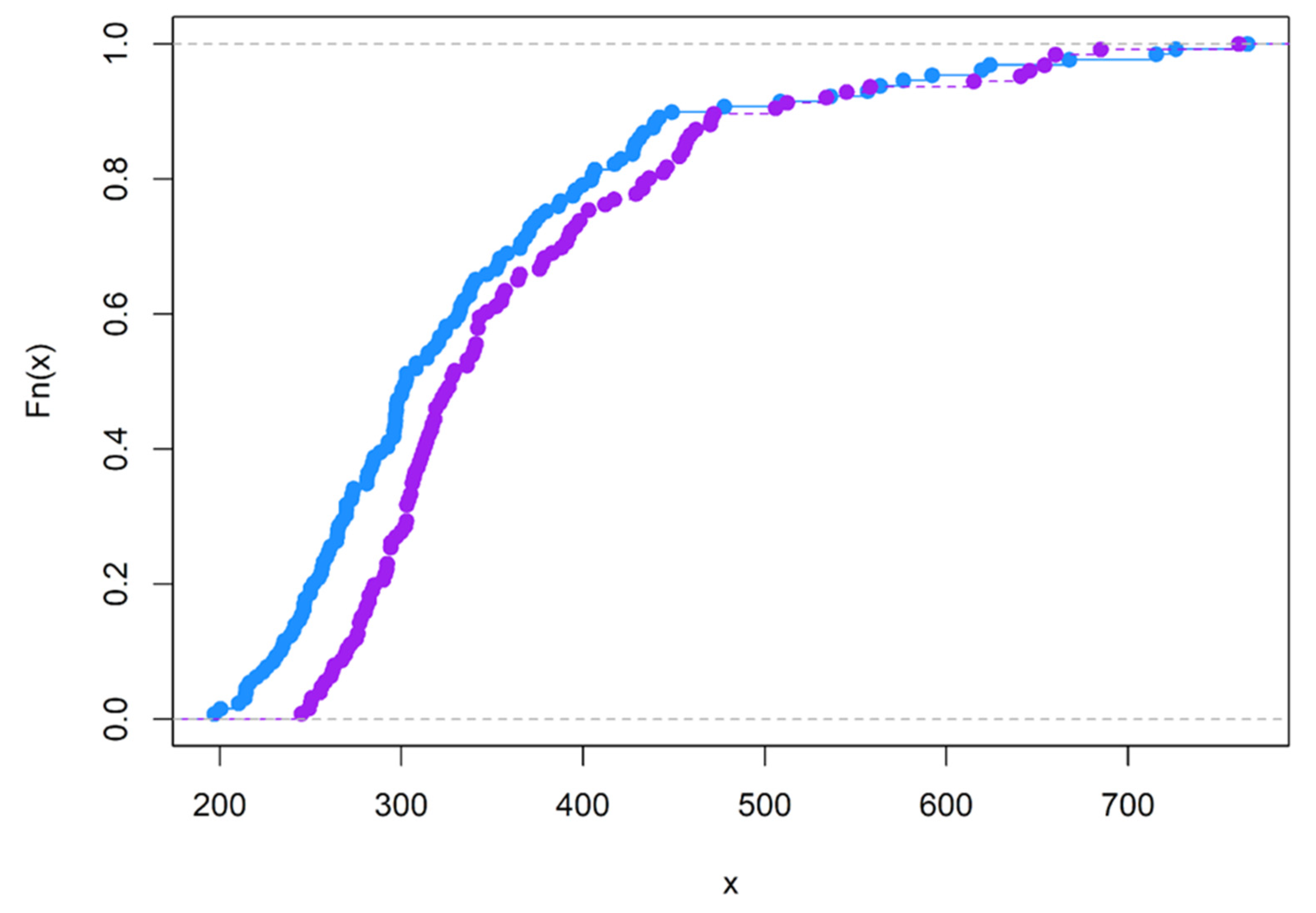
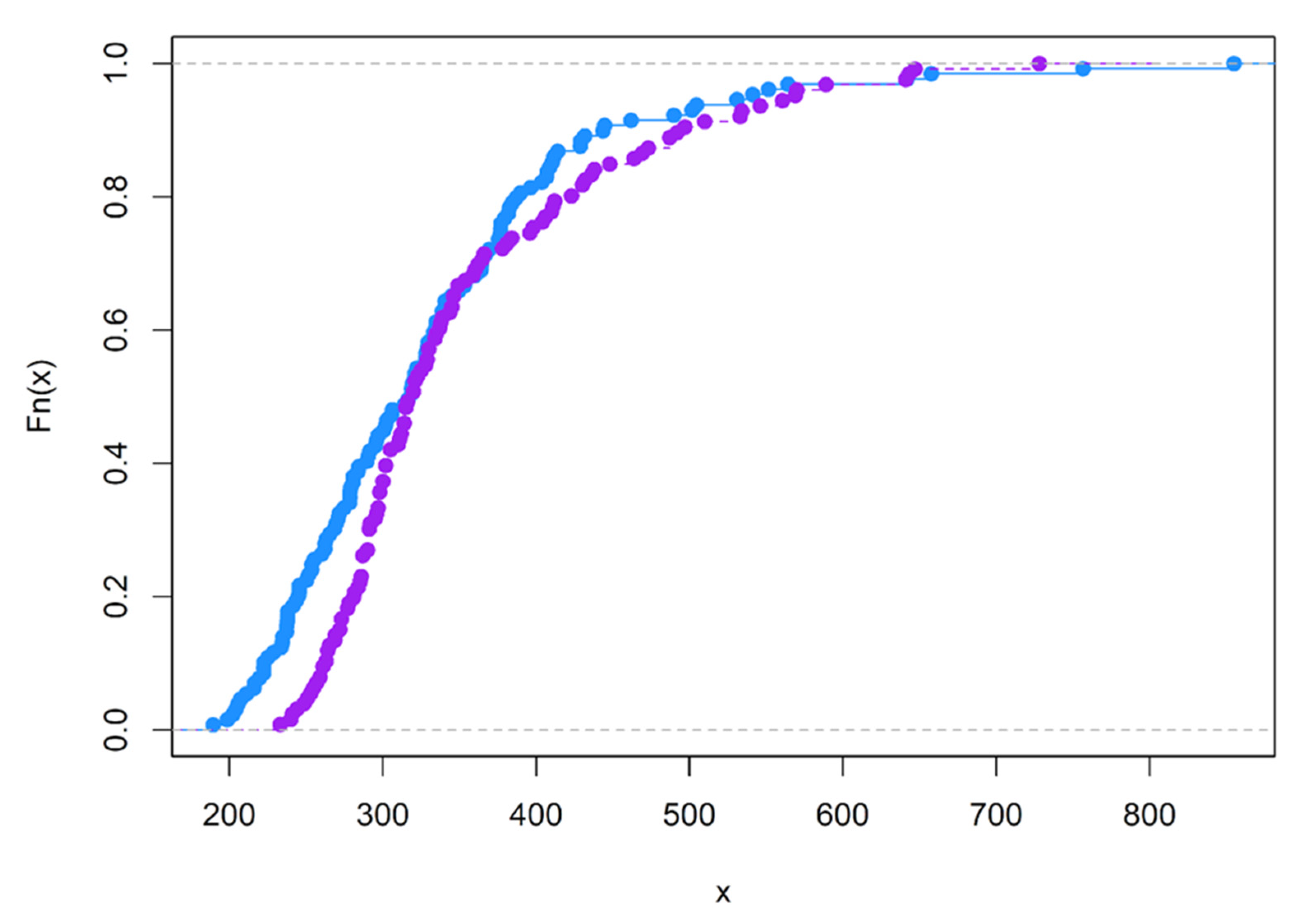
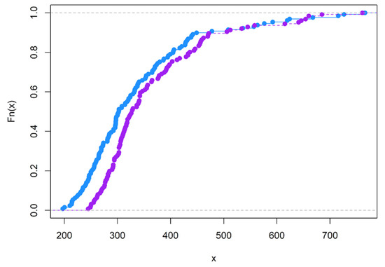
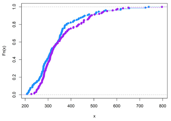
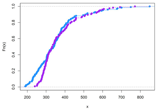
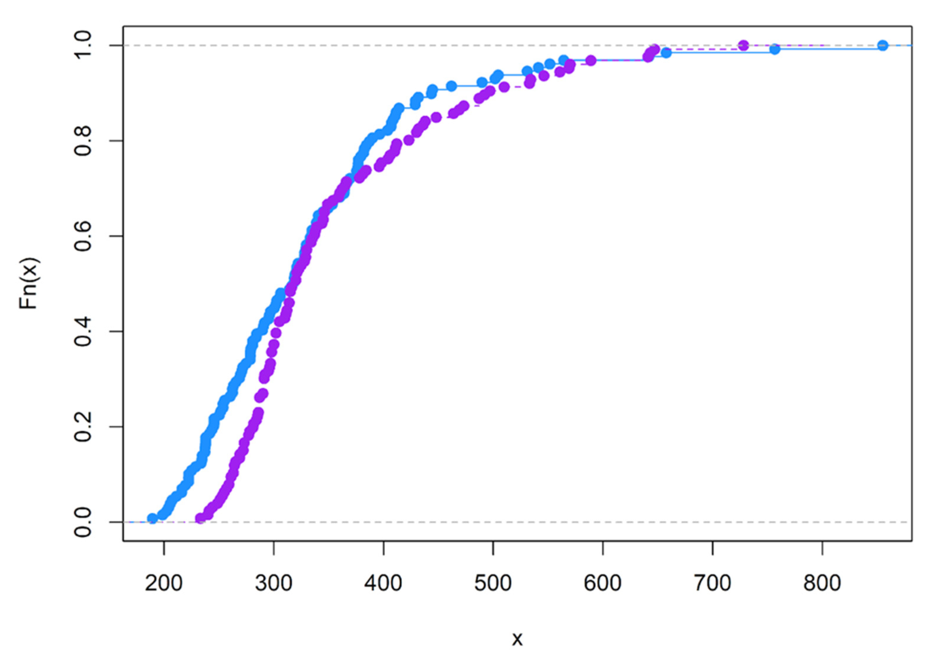
3.2.1. Reaction Times
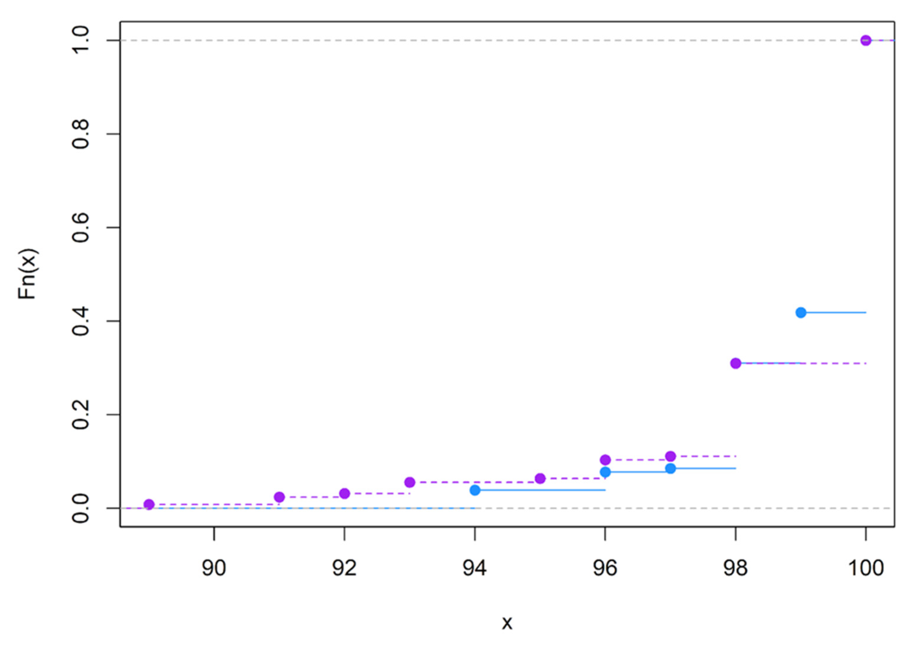
3.2.2. Accuracy
3.3. Statistical Models
3.3.1. Reaction Times
3.3.2. Accuracy
3.3.3. Delta Scores
4. Discussion
5. Conclusions
Supplementary Materials
Author Contributions
Funding
Institutional Review Board Statement
Informed Consent Statement
Data Availability Statement
Acknowledgments
Conflicts of Interest
Appendix A









Appendix B









References
- Myers, D.G. Psicologia Generale: Un’introduzione Al Pensiero Critico E All’indagine Scientifica; Zanichelli: Modena, Italy, 2014. [Google Scholar]
- Boring, E.G. History of Experimental Psychology; Appleton-Century-Crofts: New York, NY, USA, 1950. [Google Scholar]
- Bridges, D.; Pitiot, A.; MacAskill, M.R.; Peirce, J.W. The timing mega-study: Comparing a range of experiment generators, both lab-based and online. PeerJ 2020, 8, e9414. [Google Scholar] [CrossRef]
- Rawat, S.; Meena, S. Publish or perish: Where are we heading? J. Res. Med. Sci. 2014, 19, 87–89. [Google Scholar]
- Benfield, J.A.; Szlemko, W.J. Internet-Based Data Collection: Promises and Realities. J. Res. Pract. 2006, 2, D1. [Google Scholar]
- Birnbaum, M.H.; Birnbaum, M.O. Psychological Experiments on the Internet; Elsevier: Amsterdam, The Netherlands, 2000; p. 340. [Google Scholar]
- Amir, O.; Rand, D.G.; Gal, Y.K. Economic Games on the Internet: The Effect of $1 Stakes. PLoS ONE 2012, 7, e31461. [Google Scholar] [CrossRef]
- Birnbaum, M.H. Introduction to Behavioral Research on the Internet; Pearson College Division: Durham, NC, USA, 2001. [Google Scholar]
- Ferdman, S.; Minkov, E.; Bekkerman, R.; Gefen, D. Quantifying the web browser ecosystem. PLoS ONE 2017, 12, e0179281. [Google Scholar]
- Horton, J.J.; Rand, D.G.; Zeckhauser, R.J. The online laboratory: Conducting experiments in a real labor market. Exp. Econ. 2011, 14, 399–425. [Google Scholar] [CrossRef]
- Lee, Y.S.; Seo, Y.W.; Siemsen, E. Running Behavioral Operations Experiments Using Amazon’s Mechanical Turk. Prod. Oper. Manag. 2018, 27, 973–989. [Google Scholar] [CrossRef]
- Buhrmester, M.; Kwang, T.; Gosling, S.D. Amazon’s Mechanical Turk: A New Source of Inexpensive, Yet High-Quality, Data? Perspect. Psychol. Sci. 2011, 6, 3–5. [Google Scholar] [CrossRef] [PubMed]
- Mason, W.; Suri, S. Conducting behavioral research on Amazon’s Mechanical Turk. Behav. Res. 2012, 44, 1–23. [Google Scholar] [CrossRef]
- Cohen, J.; Collins, R.; Darkes, J.; Gwartney, D. A league of their own: Demographics, motivations and patterns of use of 1955 male adult non-medical anabolic steroid users in the United States. J. Int. Soc. Sports Nutr. 2007, 4, 12. [Google Scholar] [CrossRef]
- Gosling, S.D.; Vazire, S.; Srivastava, S.; John, O.P. Should we trust web-based studies? A comparative analysis of six preconceptions about internet questionnaires. Am. Psychol. 2004, 59, 93. [Google Scholar] [CrossRef] [PubMed]
- Reimers, S. The BBC Internet Study: General Methodology. Arch. Sex. Behav. 2007, 36, 147–161. [Google Scholar] [CrossRef] [PubMed]
- Reips, U.D. Standards for Internet-based experimenting. Exp. Psychol. 2002, 49, 243–256. [Google Scholar] [PubMed]
- Van Doorn, G.; Woods, A.; Levitan, C.A.; Wan, X.; Velasco, C.; Bernal-Torres, C.; Spence, C. Does the shape of a cup influence coffee taste expectations? A cross-cultural, online study. Food Qual. Prefer. 2017, 56, 201–211. [Google Scholar] [CrossRef]
- Gentili, C.; Cristea, I.A. Challenges and Opportunities for Human Behavior Research in the Coronavirus Disease (COVID-19) Pandemic. Front. Psychol. 2020, 11, 1786. [Google Scholar] [CrossRef]
- Sauter, M.; Draschkow, D.; Mack, W. Building, hosting and recruiting: A brief introduction to running behavioral experiments online. Brain Sci. 2020, 10, 251. [Google Scholar] [CrossRef]
- Crump, M.J.C.; McDonnell, J.V.; Gureckis, T.M. Evaluating Amazon’s Mechanical Turk as a Tool for Experimental Behavioral Research. PLoS ONE 2013, 8, e57410. [Google Scholar] [CrossRef]
- Semmelmann, K.; Weigelt, S. Online psychophysics: Reaction time effects in cognitive experiments. Behav. Res. 2017, 49, 1241–1260. [Google Scholar] [CrossRef]
- Barnhoorn, J.S.; Haasnoot, E.; Bocanegra, B.R.; van Steenbergen, H. QRTEngine: An easy solution for running online reaction time experiments using Qualtrics. Behav. Res. 2015, 47, 918–929. [Google Scholar] [CrossRef]
- de Leeuw, J.R.; Motz, B.A. Psychophysics in a Web browser? Comparing response times collected with JavaScript and Psychophysics Toolbox in a visual search task. Behav. Res. 2016, 48, 1–12. [Google Scholar]
- Reimers, S.; Stewart, N. Presentation and response timing accuracy in Adobe Flash and HTML5/JavaScript Web experiments. Behav. Res. 2015, 47, 309–327. [Google Scholar] [CrossRef] [PubMed]
- Schubert, T.W.; Murteira, C.; Collins, E.C.; Lopes, D. ScriptingRT: A Software Library for Collecting Response Latencies in Online Studies of Cognition. PLoS ONE 2013, 8, e67769. [Google Scholar] [CrossRef] [PubMed][Green Version]
- Bartneck, C.; Duenser, A.; Moltchanova, E.; Zawieska, K. Comparing the Similarity of Responses Received from Studies in Amazon’s Mechanical Turk to Studies Conducted Online and with Direct Recruitment. PLoS ONE 2015, 10, e0121595. [Google Scholar] [CrossRef] [PubMed]
- Casler, K.; Bickel, L.; Hackett, E. Separate but equal? A comparison of participants and data gathered via Amazon’s MTurk, social media, and face-to-face behavioral testing. Comput. Hum. Behav. 2013, 29, 2156–2160. [Google Scholar]
- Gould, S.J.J.; Cox, A.L.; Brumby, D.P.; Wiseman, S. Home is Where the Lab is: A Comparison of Online and Lab Data From a Time-sensitive Study of Interruption. Hum. Comput. 2015, 2, 45–67. Available online: http://thebartonmethod.com/index.php/jhc/article/view/40 (accessed on 11 January 2022). [CrossRef]
- Saunders, D.R.; Bex, P.J.; Woods, R.L. Crowdsourcing a Normative Natural Language Dataset: A Comparison of Amazon Mechanical Turk and In-Lab Data Collection. J. Med. Internet Res. 2013, 15, e2620. [Google Scholar] [CrossRef]
- Grootswagers, T. A primer on running human behavioural experiments online. Behav. Res. 2020, 52, 2283–2286. [Google Scholar] [CrossRef]
- Kraut, R.; Olson, J.; Banaji, M.; Bruckman, A.; Cohen, J.; Couper, M. Psychological Research Online: Report of Board of Scientific Affairs’ Advisory Group on the Conduct of Research on the Internet. Am. Psychol. 2004, 59, 105–117. [Google Scholar] [CrossRef] [PubMed]
- Goodman, J.K.; Cryder, C.E.; Cheema, A. Data collection in a flat world: Accelerating consumer behavior research by using mechanical turk. J. Behav. Decis. Mak. 2012, 26, 213–224. [Google Scholar] [CrossRef]
- Jun, E.; Hsieh, G.; Reinecke, K. Types of Motivation Affect Study Selection, Attention, and Dropouts in Online Experiments. Proc. ACM Hum. Comput. Interact. 2017, 1, 1–15. [Google Scholar] [CrossRef]
- Cutini, S.; Duma, G.M.; Mento, G. How time shapes cognitive control: A high-density EEG study of task-switching. Biol. Psychol. 2021, 160, 108030. [Google Scholar] [CrossRef] [PubMed]
- Mento, G. The passive CNV: Carving out the contribution of task-related processes to expectancy. Front. Hum. Neurosci. 2013, 7, 827. [Google Scholar] [CrossRef] [PubMed]
- Mento, G.; Granziol, U. The developing predictive brain: How implicit temporal expectancy induced by local and global prediction shapes action preparation across development. Dev. Sci. 2020, 23, e12954. [Google Scholar] [CrossRef]
- Frensch, P.A.; Rünger, D. Implicit Learning. Curr. Dir. Psychol. Sci. 2003, 12, 13–18. [Google Scholar] [CrossRef]
- Kaufman, S.B.; DeYoung, C.G.; Gray, J.R.; Jiménez, L.; Brown, J.; Mackintosh, N. Implicit learning as an ability. Cognition 2010, 116, 321–340. [Google Scholar] [CrossRef] [PubMed]
- Uddin, L.Q. Cognitive and behavioural flexibility: Neural mechanisms and clinical considerations. Nat. Rev. Neurosci. 2021, 22, 167–179. [Google Scholar] [CrossRef] [PubMed]
- Duma, G.M.; Granziol, U.; Mento, G. Should I stay or should I go? How local-global implicit temporal expectancy shapes proactive motor control: An hdEEG study. NeuroImage 2020, 220, 117071. [Google Scholar] [CrossRef] [PubMed]
- Duma, G.M.; Danieli, A.; Morao, V.; Da Rold, M.; Baggio, M.; Toffoli, L.; Zanatta, A.; Vettorel, A.; Bonanni, P.; Mento, G.; et al. Implicit cognitive flexibility in self-limited focal epilepsy of childhood: An HD-EEG study. Epilepsy Behav. 2021, 116, 107747. [Google Scholar] [CrossRef]
- Los, S.A. Foreperiod and sequential effects: Theory and data. In Attention and Time; Coull, J., Nobre, A.C., Eds.; Oxford University Press: Oxford, UK, 2010; pp. 289–302. [Google Scholar]
- Los, S.A.; Kruijne, W.; Meeter, M. Hazard versus history: Temporal preparation is driven by past experience. J. Exp. Psychol. Hum. Percept. Perform. 2017, 43, 78–88. [Google Scholar] [CrossRef]
- Folstein, M.F.; Folstein, S.E.; McHugh, P.R. “Mini-mental state”: A practical method for grading the cognitive state of patients for the clinician. J. Psychiatr. Res. 1975, 12, 189–198. [Google Scholar] [CrossRef]
- Pfeiffer, E. A Short Portable Mental Status Questionnaire for the Assessment of Organic Brain Deficit in Elderly Patients†. J. Am. Geriatr. Soc. 1975, 23, 433–441. [Google Scholar] [CrossRef]
- Hooijer, C.; Dinkgreve, M.; Jonker, C.; Lindeboom, J.; Kay, D.W.K. Short screening tests for dementia in the elderly population. I. A comparison between AMTS, MMSE, MSQ and SPMSQ. Int. J. Geriatr. Psychiatry 1992, 7, 559–571. [Google Scholar] [CrossRef]
- Mathôt, S.; Schreij, D.; Theeuwes, J. OpenSesame: An open-source, graphical experiment builder for the social sciences. Behav. Res. Methods 2012, 44, 314–324. [Google Scholar] [CrossRef] [PubMed]
- Lange, K.; Kühn, S.; Filevich, E. “Just Another Tool for Online Studies” (JATOS): An Easy Solution for Setup and Management of Web Servers Supporting Online Studies. PLoS ONE 2015, 10, e0130834. [Google Scholar]
- Schneider, W.; Eschman, A.; Zuccolotto, A. E-Prime; Psychology Software Tools: Pittsburgh, PA, USA, 2010. [Google Scholar]
- Karlin, L. Reaction time as a function of foreperiod duration and variability. J. Exp. Psychol. 1959, 58, 185–191. [Google Scholar] [CrossRef]
- Niemi, P.; Näätänen, R. Foreperiod and simple reaction time. Psychol. Bull. 1981, 89, 133–162. [Google Scholar] [CrossRef]
- Nobre, A.; Correa, A.; Coull, J. The hazards of time. Curr. Opin. Neurobiol. 2007, 17, 465–470. [Google Scholar] [CrossRef]
- Woodrow, H. The measurement of attention. Psychol. Monogr. 1914, 17, 1–58. [Google Scholar] [CrossRef]
- Trillenberg, P.; Verleger, R.; Wascher, E.; Wauschkuhn, B.; Wessel, K. CNV and temporal uncertainty with “ageing” and “non-ageing” S1-S2 intervals. Clin. Neurophysiol. 2000, 111, 1216–1226. [Google Scholar] [CrossRef]
- Ratcliff, R. Methods for dealing with reaction time outliers. Psychol. Bull. 1993, 114, 510. [Google Scholar] [CrossRef]
- Wilcox, R.; Peterson, T.J.; McNitt-Gray, J.L. Data Analyses When Sample Sizes Are Small: Modern Advances for Dealing With Outliers, Skewed Distributions, and Heteroscedasticity. J. Appl. Biomech. 2018, 34, 258–261. [Google Scholar] [CrossRef] [PubMed]
- R Core Team. R: A Language and Environment for Statistical Computing; [Internet]; R Foundation for Statistical Computing: Vienna, Austria, 2021; Available online: https://www.R-project.org/ (accessed on 7 July 2022).
- Kuznetsova, A.; Brockhoff, P.B.; Christensen, R.H.B. lmerTest Package: Tests in Linear Mixed Effects Models. J. Stat. Softw. 2017, 82, 1–26. [Google Scholar] [CrossRef]
- Fox, J.; Weisberg, S. An R Companion to Applied Regression, 3rd ed.; Sage: Thousand Oaks, CA, USA, 2019. [Google Scholar]
- Lenth, R.V. Estimated Marginal Means, aka Least-Squares Means [Internet]. 2020. Available online: https://cran.r-project.org/package=emmeans (accessed on 7 July 2022).
- Nakagawa, S.; Johnson, P.C.D.; Schielzeth, H. The coefficient of determination R2 and intra-class correlation coefficient from generalized linear mixed-effects models revisited and expanded. J. R. Soc. Interface 2017, 14, 20170213. [Google Scholar] [CrossRef] [PubMed]




| Group | Gender | N | M ± SD (Range) | Group M ± SD (Range) |
|---|---|---|---|---|
| Online | M | 34 | 50.14 ± 17.14 (20–69) | 40.80 ± 17.75 (19–69) |
| F | 92 | 37.35 ± 16.70 (19–69) | ||
| Lab | M | 44 | 49.39 ± 15.14 (22–69) | 40.55 ± 17.65 (19–69) |
| F | 85 | 35.97 ± 17.12 (19–69) |
| Group | Block | SOA | Delta | |||||
|---|---|---|---|---|---|---|---|---|
| Short | Medium | Long | ||||||
| RT (m) | Acc (%) | RT (m) | Acc (%) | RT (m) | Acc (%) | |||
| M ± SD | M ± SD | M ± SD | M ± SD | M ± SD | M ± SD | M ± SD | ||
| Online | Fast | 380.5 ± 99.5 | 98.9 ± 2.2 | 356.4 ± 101.2 | 97.6 ± 4.5 | 348.0 ± 93.2 | 96.3 ± 8.8 | −18.64 ± 32.1 |
| Uniform | 412.2 ± 108.2 | 99.2 ± 2.1 | 365.2 ± 105.4 | 98.3 ± 3.2 | 348.7 ± 95.0 | 96.5 ± 6.1 | ||
| Slow | 419.0 ± 102.5 | 99.5 ± 1.9 | 368.2 ± 104.6 | 98.6 ± 3.8 | 353.6 ± 99.5 | 97.2 ± 5.1 | ||
| Lab | Fast | 373.7 ± 115.0 | 99.1 ± 1.4 | 338.3 ± 101.2 | 98.0 ± 3.4 | 330.0 ± 98.0 | 96.1 ± 10.2 | −16.52 ± 55.5 |
| Uniform | 390.7 ± 134.6 | 99.0 ± 1.9 | 338.6 ± 113.3 | 98.6 ± 2.3 | 326.3 ± 105.3 | 97.7 ± 3.6 | ||
| Slow | 403.4 ± 143.7 | 98.8 ± 3.4 | 354.1 ± 119.4 | 98.3 ± 2.4 | 332.7 ± 108.7 | 98.2 ± 2.4 | ||
| Condition | RT (m) | Acc (%) | |||
|---|---|---|---|---|---|
| Block | SOA | Kolmogorov–Smirnov Test | p | Kolmogorov–Smirnov Test | p |
| Fast | Short | D = 0.146 | 0.134 | D = 0.109 | 0.434 |
| Medium | D = 0.127 | 0.254 | D = 0.101 | 0.539 | |
| Long | D = 0.167 | 0.057 | D = 0.068 | 0.928 | |
| Uniform | Short | D = 0.209 | 0.008 | D = 0.136 | 0.189 |
| Medium | D = 0.230 | 0.002 | D = 0.066 | 0.947 | |
| Long | D = 0.245 | 0.000 | D = 0.107 | 0.456 | |
| Slow | Short | D = 0.194 | 0.017 | D = 0.083 | 0.767 |
| Medium | D = 0.185 | 0.025 | D = 0.164 | 0.065 | |
| Long | D = 0.193 | 0.018 | D = 0.106 | 0.476 | |
| Predictors | F | df | p |
|---|---|---|---|
| SOA | 580.19 | 2, 2022 | <0.001 |
| Block | 38.43 | 2, 2022 | <0.001 |
| Group | 4.67 | 1, 251 | 0.032 |
| Gender | 3.20 | 1, 251 | 0.075 |
| Age | 111.30 | 1, 251 | <0.001 |
| SOA × Block | 13.59 | 4, 2022 | <0.001 |
| SOA × Group | 1.29 | 2, 2022 | 0.276 |
| Block × Group | 5.35 | 2, 2022 | 0.005 |
| SOA × Block × Group | 1.01 | 4, 2022 | 0.403 |
| Predictors | χ2 | df | p |
|---|---|---|---|
| SOA | 163.37 | 2 | <0.001 |
| Block | 20.72 | 2 | <0.001 |
| Group | 0.10 | 1 | 0.746 |
| Gender | 6.14 | 1 | 0.013 |
| Age | 0.61 | 1 | 0.434 |
| SOA × Block | 3.87 | 4 | 0.424 |
| SOA × Group | 9.15 | 2 | 0.010 |
| Block × Group | 1.00 | 2 | 0.607 |
| SOA × Block × Group | 10.90 | 4 | 0.028 |
| Predictors | F | df | p |
|---|---|---|---|
| Group | 1.08 | 1, 2289 | 0.298 |
| Gender | 0.06 | 1, 2289 | 0.812 |
| Age | 138.50 | 1, 2289 | <0.001 |
Publisher’s Note: MDPI stays neutral with regard to jurisdictional claims in published maps and institutional affiliations. |
© 2022 by the authors. Licensee MDPI, Basel, Switzerland. This article is an open access article distributed under the terms and conditions of the Creative Commons Attribution (CC BY) license (https://creativecommons.org/licenses/by/4.0/).
Share and Cite
Del Popolo Cristaldi, F.; Granziol, U.; Bariletti, I.; Mento, G. Doing Experimental Psychological Research from Remote: How Alerting Differently Impacts Online vs. Lab Setting. Brain Sci. 2022, 12, 1061. https://doi.org/10.3390/brainsci12081061
Del Popolo Cristaldi F, Granziol U, Bariletti I, Mento G. Doing Experimental Psychological Research from Remote: How Alerting Differently Impacts Online vs. Lab Setting. Brain Sciences. 2022; 12(8):1061. https://doi.org/10.3390/brainsci12081061
Chicago/Turabian StyleDel Popolo Cristaldi, Fiorella, Umberto Granziol, Irene Bariletti, and Giovanni Mento. 2022. "Doing Experimental Psychological Research from Remote: How Alerting Differently Impacts Online vs. Lab Setting" Brain Sciences 12, no. 8: 1061. https://doi.org/10.3390/brainsci12081061
APA StyleDel Popolo Cristaldi, F., Granziol, U., Bariletti, I., & Mento, G. (2022). Doing Experimental Psychological Research from Remote: How Alerting Differently Impacts Online vs. Lab Setting. Brain Sciences, 12(8), 1061. https://doi.org/10.3390/brainsci12081061

