ERP Correlates of Prospective Memory and Cue Focality in Children
Abstract
:1. Introduction
2. Materials and Methods
2.1. Participants
2.2. Materials
2.2.1. PM Tasks
2.2.2. EEG Recording and Pre-Processing
2.3. Data Analysis
2.3.1. Behavioural Analysis
2.3.2. Electrophysiological Data Analysis
3. Results
3.1. Behavioural Results
3.1.1. Performance on the OT
3.1.2. Performance on the PM Task
3.2. Electrophysiological Results
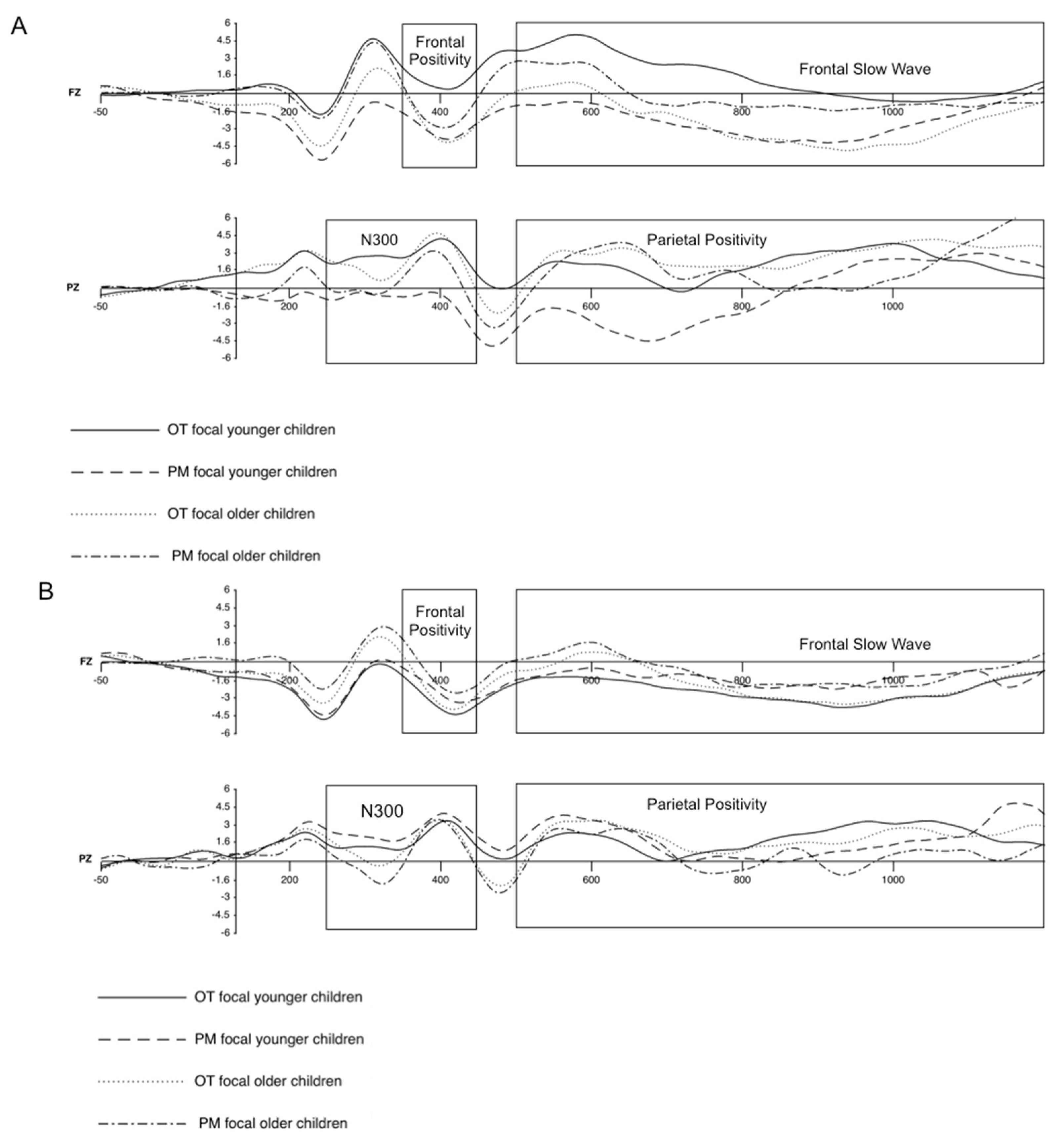
3.2.1. N300
3.2.2. Frontal Positivity
3.2.3. Parietal Positivity
3.2.4. Frontal Slow Waves
4. Discussion
Author Contributions
Funding
Institutional Review Board Statement
Informed Consent Statement
Data Availability Statement
Acknowledgments
Conflicts of Interest
References
- Einstein, G.O.; Mcdaniel, M.A. Normal aging and prospective memory. J. Exp. Psychol. Learn. Mem. Cogn. 1990, 16, 717–726. [Google Scholar] [CrossRef] [PubMed]
- Ball, H.; Vogel, A.; Brewer, G.A. Individual differences in prospective memory. Prospect. Mem. 2019, 8, 116–134. [Google Scholar]
- Smith, R.E.; Bayen, U.J.; Martin, C. The cognitive processes underlying event-based prospective memory in school-age children and young adults: A formal model-based study. Dev. Psychol. 2010, 46, 230–244. [Google Scholar] [CrossRef] [PubMed] [Green Version]
- Kliegel, M.; Martin, M.; McDaniel, M.A.; Einstein, G.O. Complex prospective memory and executive control of working memory: A process model. Psychol. Test Assess. Model. 2002, 44, 303. [Google Scholar]
- Magis-Weinberg, L.; Custers, R.; Dumontheil, I. Sustained and transient processes in event-based prospective memory in adolescence and adulthood. J. Cogn. Neurosci. 2020, 32, 1924–1945. [Google Scholar] [CrossRef]
- Mattli, F.; Zöllig, J.; West, R. Age-related differences in the temporal dynamics of prospective memory retrieval: A lifespan approach. Neuropsychologia 2011, 49, 3494–3504. [Google Scholar] [CrossRef]
- Zimmermann, T.D.; Meier, B. The rise and decline of prospective memory performance across the lifespan. Q. J. Exp. Psychol. 2006, 59, 2040–2046. [Google Scholar] [CrossRef]
- Zöllig, J.; West, R.; Martin, M.; Altgassen, M.; Lemke, U.; Kliegel, M. Neural correlates of prospective memory across the lifespan. Neuropsychologia 2007, 45, 3299–3314. [Google Scholar] [CrossRef]
- Kliegel, M.; Ballhausen, N.; Hering, A.; Ihle, A.; Schnitzspahn, K.M.; Zuber, S. Prospective memory in older adults: Where we are now and what is next. Gerontology 2016, 62, 459–466. [Google Scholar] [CrossRef] [Green Version]
- Mahy, C.E.; Moses, L.J.; Kliegel, M. The development of prospective memory in children: An executive framework. Dev. Rev. 2014, 34, 305–326. [Google Scholar] [CrossRef]
- Hering, A.; Wild-Wall, N.; Falkenstein, M.; Gajewski, P.D.; Zinke, K.; Altgassen, M.; Kliegel, M. Beyond prospective memory retrieval: Encoding and remembering of intentions across the lifespan. Int. J. Psychophysiol. 2020, 147, 44–59. [Google Scholar] [CrossRef] [PubMed]
- Lamichhane, B.; McDaniel, M.A.; Waldum, E.R.; Braver, T.S. Age-related changes in neural mechanisms of prospective memory. Cogn. Affect. Behav. Neurosci. 2018, 18, 982–999. [Google Scholar] [CrossRef] [PubMed]
- Wang, Q.; Ding, W.; Zhang, L.; Chen, G. The cognitive and neural mechanisms underlying event-based prospective memory. Adv. Psychol. 2018, 8, 1357–1363. [Google Scholar] [CrossRef]
- West, R. The temporal dynamics of prospective memory: A review of the ERP and prospective memory literature. Neuropsychologia 2011, 49, 2233–2245. [Google Scholar] [CrossRef]
- West, R.; McNerney, M.W.; Travers, S. Gone but not forgotten: The effects of cancelled intentions on the neural correlates of prospective memory. Int. J. Psychophysiol. 2007, 64, 215–225. [Google Scholar] [CrossRef]
- West, R.; Ross-Munroe, K. Neural correlates of the formation and realization of delayed intentions. Cogn. Affect. Behav. Neurosci. 2002, 2, 162–173. [Google Scholar] [CrossRef] [Green Version]
- Hering, A.; Wild-Wall, N.; Gajewski, P.D.; Falkenstein, M.; Kliegel, M.; Zinke, K. The role of cue detection for prospective memory development across the lifespan. Neuropsychologia 2016, 93, 289–300. [Google Scholar] [CrossRef]
- Bowman, C.; Cutmore, T.; Shum, D. The development of prospective memory across adolescence: An event-related potential analysis. Front. Hum. Neurosci. 2015, 9, 362. [Google Scholar] [CrossRef] [Green Version]
- Bisiacchi, P.S.; Schiff, S.; Ciccola, A.; Kliegel, M. The role of dual-task and task-switch in prospective memory: Behavioural data and neural correlates. Neuropsychologia 2009, 47, 1362–1373. [Google Scholar] [CrossRef]
- Cona, G.; Bisiacchi, P.S.; Moscovitch, M. The effects of focal and nonfocal cues on the neural correlates of prospective memory: Insights from ERPs. Cereb. Cortex 2014, 24, 2630–2646. [Google Scholar] [CrossRef] [Green Version]
- Hockey, A.; Cutmore, T. Inhibitory control in prospective memory: An event related potential comparison of task-switch and dual task processing. Neuropsychologia 2021, 158, 107906. [Google Scholar] [CrossRef] [PubMed]
- West, R.; Wymbs, N.; Jakubek, K.; Herndon, R.W. Effects of intention load and background context on prospective remembering: An event-related brain potential study. Psychophysiology 2003, 40, 260–276. [Google Scholar] [CrossRef] [PubMed]
- West, R.; Covell, E. Effects of aging on event-related neural activity related to prospective memory. Neuroreport 2001, 12, 2855–2858. [Google Scholar] [CrossRef] [PubMed]
- West, R.; Herndon, R.W.; Covell, E. Neural correlates of age-related declines in the formation and realization of delayed intentions. Psychol. Aging 2003, 18, 461–473. [Google Scholar] [CrossRef] [PubMed]
- Kretschmer-Trendowicz, A.; Altgassen, M. Event-based prospective memory across the lifespan: Do all age groups benefit from salient prospective memory cues? Cogn. Dev. 2016, 39, 103–112. [Google Scholar] [CrossRef]
- Davidson, M.C.; Amso, D.; Anderson, L.C.; Diamond, A. Development of cognitive control and executive functions from 4 to 13 years: Evidence from manipulations of memory, inhibition, and task switching. Neuropsychologia 2006, 44, 2037–2078. [Google Scholar] [CrossRef] [Green Version]
- West, R.L. An application of prefrontal cortex function theory to cognitive aging. Psychol. Bull. 1996, 120, 272–292. [Google Scholar] [CrossRef]
- McDaniel, M.A.; Glisky, E.L.; Guynn, M.J.; Routhieaux, B.C. Prospective memory: A neuropsychological study. Neuropsychology 1999, 13, 103. [Google Scholar] [CrossRef]
- Zuber, S.; Mahy, C.E.; Kliegel, M. How executive functions are associated with event-based and time-based prospective memory during childhood. Cogn. Dev. 2019, 50, 66–79. [Google Scholar] [CrossRef]
- Einstein, G.O.; McDaniel, M.A.; Thomas, R.; Mayfield, S.; Shank, H.; Morrisette, N.; Breneiser, J. Multiple processes in prospective memory retrieval: Factors determining monitoring versus spontaneous retrieval. J. Exp. Psychol. Gen. 2005, 134, 327. [Google Scholar] [CrossRef] [Green Version]
- Cejudo, A.B.; Gómez-Ariza, C.J.; Bajo, M.T. The cost of prospective memory in children: The role of cue focality. Front. Psychol. 2019, 9, 2738. [Google Scholar] [CrossRef] [PubMed]
- Cona, G.; Scarpazza, C.; Sartori, G.; Moscovitch, M.; Bisiacchi, P.S. Neural bases of prospective memory: A meta-analysis and the “attention to delayed intention” (AtoDI) model. Neurosci. Biobehav. Rev. 2015, 52, 21–37. [Google Scholar] [CrossRef] [PubMed]
- McDaniel, M.A.; Umanath, S.; Einstein, G.O.; Waldum, E.R. Dual pathways to prospective remembering. Front. Hum. Neurosci. 2015, 9, 392. [Google Scholar] [CrossRef] [PubMed] [Green Version]
- McDaniel, M.A.; Einstein, G.O. Prospective Memory: An Overview and Synthesis of an Emerging Field; SAGE Publications: Thousand Oaks, CA, USA, 2007. [Google Scholar]
- Zhang, J.; Xue, T.; Zhang, Z. Salient cues facilitate automatic processes in prospective memory. NeuroReport 2021, 32, 864–868. [Google Scholar] [CrossRef]
- Rose, N.S.; Rendell, P.G.; McDaniel, M.A.; Aberle, I.; Kliegel, M. Age and individual differences in prospective memory during a “virtual week”: The roles of working memory, vigilance, task regularity, and cue focality. Psychol. Aging 2010, 25, 595–605. [Google Scholar] [CrossRef] [Green Version]
- Wang, L.; Liu, W.; Xiong, W.; Akgün, C.; Kliegel, M. Prospective memory across adolescence: The effects of age and cue focality. Dev. Psychol. 2011, 47, 226. [Google Scholar] [CrossRef]
- Kliegel, M.; Mahy, C.E.V.; Voigt, B.; Henry, J.D.; Rendell, P.G.; Aberle, I. The development of prospective memory in young schoolchildren: The impact of ongoing task absorption, cue salience, and cue centrality. J. Exp. Child Psychol. 2013, 116, 792–810. [Google Scholar] [CrossRef]
- Faul, F.; Erdfelder, E.; Lang, A.G.; Buchner, A. G* Power 3: A flexible statistical power analysis program for the social, behavioral, and biomedical sciences. Behav. Res. Methods 2007, 39, 175–191. [Google Scholar] [CrossRef] [PubMed]
- Rossion, B.; Pourtois, G. Revisiting Snodgrass and Vanderwart’s object pictorial set: The role of surface detail in basic-level object recognition. Perception 2004, 33, 217–236. [Google Scholar] [CrossRef] [Green Version]
- Ford, R.M.; Driscoll, T.; Shum, D.; Macaulay, C.E. Executive and theory-of-mind contributions to event-based prospective memory in children: Exploring the self-projection hypothesis. J. Exp. Child Psychol. 2012, 111, 468–489. [Google Scholar] [CrossRef]
- Kliegel, M.; Jäger, T. The effects of age and cue-action reminders on event-based prospective memory performance in preschoolers. Cogn. Dev. 2007, 22, 33–46. [Google Scholar] [CrossRef]
- Delorme, A.; Makeig, S. EEGLAB: An open source toolbox for analysis of single-trial EEG dynamics including independent component analysis. J. Neurosci. Methods 2004, 134, 9–21. [Google Scholar] [CrossRef] [PubMed] [Green Version]
- Oostenveld, R.; Fries, P.; Maris, E.; Schoffelen, J.M. FieldTrip: Open source software for advanced analysis of MEG, EEG, and invasive electrophysiological data. Comput. Intell. Neurosci. 2011, 2011, 156869. [Google Scholar] [CrossRef] [PubMed]
- Rendell, P.G.; McDaniel, M.A.; Forbes, R.D.; Einstein, G.O. Age-related effects in prospective memory are modulated by ongoing task complexity and relation to target cue aging and prospective memory. Neuropsychol. Cogn. Aging 2007, 14, 236–256. [Google Scholar] [CrossRef]
- Scullin, M.K.; McDaniel, M.A.; Einstein, G.O. Control of cost in prospective memory: Evidence for spontaneous retrieval processes. J. Exp. Psychol. Learn. Mem. Cogn. 2010, 36, 190–203. [Google Scholar] [CrossRef] [Green Version]
- Anderson, N.D.; Craik, F.I.; Naveh-Benjamin, M. The attentional demands of encoding and retrieval in younger and older adults: I. Evidence from divided attention costs. Psychol. Aging 1998, 13, 405. [Google Scholar] [CrossRef]
- Craik, F.I.; Kerr, S.A. Prospective memory, aging, and lapses of intention. In Prospective Memory: Theory and Applications, 1st ed.; Brandimonte, M.A., Einstein, G.O., McDaniel, M.A., Eds.; Psychology Press: New York, NY, USA, 1996; pp. 227–237. [Google Scholar]
- Park, D.C.; Hertzog, C.; Kidder, D.P.; Morrell, R.W.; Mayhorn, C.B. Effect of age on event-based and time-based prospective memory. Psychol. Aging 1997, 12, 314. [Google Scholar] [CrossRef]
- Smith, R.E. The cost of remembering to remember in event-based prospective memory: Investigating the capacity demands of delayed intention performance. J. Exp. Psychol. Learn. Mem. Cogn. 2003, 29, 347–361. [Google Scholar] [CrossRef]
- Smith, R.E.; Hunt, R.R.; Mcvay, J.C.; Mcconnell, M.D. The cost of event-based prospective memory: Salient target events. J. Exp. Psychol. Learn. Mem. Cogn. 2007, 33, 734. [Google Scholar] [CrossRef]
- Anderson, F.T.; McDaniel, M.A.; Einstein, G.O. Remembering to remember: An examination of the cognitive processes underlying prospective memory. In Learning and Memory: A Comprehensive Reference, 2nd ed.; Byrnt, J.H., Ed.; Elsevier: Oxford, UK, 2017; pp. 451–463. [Google Scholar]
- Shum, D.; Cross, B.; Ford, R.; Ownsworth, T. A developmental investigation of prospective memory: Effects of interruption. Child Neuropsychol. 2008, 14, 547–561. [Google Scholar] [CrossRef]
- López-Vicente, M.; Forns, J.; Suades-González, E.; Esnaola, M.; García-Esteban, R.; Álvarez-Pedrerol, M.; Júlvez, J.; Burgaleta, M.; Sebastian-Gallés, N.; Sunyer, J. Developmental trajectories in primary schoolchildren using n-back task. Front. Psychol. 2016, 7, 716. [Google Scholar] [CrossRef] [PubMed] [Green Version]
- Schleepen, T.M.J.; Jonkman, L.M. The development of non-spatial working memory capacity during childhood and adolescence and the role of interference control: An n-back task study. Dev. Neuropsychol. 2009, 35, 37–56. [Google Scholar] [CrossRef] [PubMed]
- Cuevas, K.; Bell, M.A. Infant attention and early childhood executive function. Child Dev. 2014, 85, 397–404. [Google Scholar] [CrossRef] [PubMed] [Green Version]
- Jacques, S.; Zelazo, P.D. Language and the development of cognitive flexibility: Implications for theory of mind. In Why Language Matters for Theory of Mind; Astington, J.W., Baird, J.A., Eds.; University of Toronto: Toronto, ON, Canada, 2002; pp. 144–162. [Google Scholar]
- Chou, T.L.; Booth, J.R.; Bitan, T.; Burman, D.D.; Bigio, J.D.; Cone, N.E.; Dong, L.; Cao, F. Developmental and skill effects on the neural correlates of semantic processing to visually presented words. Hum. Brain Mapp. 2006, 27, 915–924. [Google Scholar] [CrossRef] [Green Version]








Publisher’s Note: MDPI stays neutral with regard to jurisdictional claims in published maps and institutional affiliations. |
© 2022 by the authors. Licensee MDPI, Basel, Switzerland. This article is an open access article distributed under the terms and conditions of the Creative Commons Attribution (CC BY) license (https://creativecommons.org/licenses/by/4.0/).
Share and Cite
Cejudo, A.B.; López-Rojas, C.; Gómez-Ariza, C.J.; Bajo, M.T. ERP Correlates of Prospective Memory and Cue Focality in Children. Brain Sci. 2022, 12, 533. https://doi.org/10.3390/brainsci12050533
Cejudo AB, López-Rojas C, Gómez-Ariza CJ, Bajo MT. ERP Correlates of Prospective Memory and Cue Focality in Children. Brain Sciences. 2022; 12(5):533. https://doi.org/10.3390/brainsci12050533
Chicago/Turabian StyleCejudo, Ana B., Cristina López-Rojas, Carlos J. Gómez-Ariza, and María Teresa Bajo. 2022. "ERP Correlates of Prospective Memory and Cue Focality in Children" Brain Sciences 12, no. 5: 533. https://doi.org/10.3390/brainsci12050533
APA StyleCejudo, A. B., López-Rojas, C., Gómez-Ariza, C. J., & Bajo, M. T. (2022). ERP Correlates of Prospective Memory and Cue Focality in Children. Brain Sciences, 12(5), 533. https://doi.org/10.3390/brainsci12050533

