Caregivers’ Burden of School-Aged Children with Neurodevelopmental Disorders: Implications for Family-Centred Care
Abstract
1. Introduction
2. Materials and Methods
2.1. Sampling and Data Collection
2.2. Measures
2.2.1. General Questionnaire
2.2.2. Caregiver Burden Inventory
2.2.3. Zarit Caregiver Burden Scale
2.3. Statistical Analysis
3. Results
3.1. Characteristics of the Sample
3.2. Differences in Caregiver Burden between Groups
3.3. Correlations
4. Discussion
5. Limitations
6. Conclusions
Author Contributions
Funding
Institutional Review Board Statement
Informed Consent Statement
Acknowledgments
Conflicts of Interest
References
- APA. Diagnostic and Statistical Manual of Mental Disorders, 5th ed.; American Psychiatric Association: Washington, DC, USA, 2013. [Google Scholar]
- Harris, J.C. New classification for neurodevelopmental disorders in DSM-5. Curr. Opin. Psychiatry 2014, 27, 95–97. [Google Scholar] [CrossRef] [PubMed]
- Dellapiazza, F.; Audras-Torrent, L.; Michelon, C.; Baghdadli, A. Clinical characteristics of children with ASD and comorbid ADHD: Association with social impairment and externalizing and internalizing behaviours. Res. Dev. Disabil. 2021, 113. [Google Scholar] [CrossRef]
- Downing, C.; Caravolas, M. Prevalence and Cognitive Profiles of Children with Comorbid Literacy and Motor Disorders. Front. Psychol. 2020, 11, 1–19. [Google Scholar] [CrossRef]
- Brimo, K.; Dinkler, L.; Gillberg, C.; Lichtenstein, P.; Lundström, S.; Johnels, J.Å. The co-occurrence of neurodevelopmental problems in dyslexia. Dyslexia 2021, 1–17. [Google Scholar] [CrossRef]
- Palisano, R.J.; Di Rezze, B.; Stewart, D.; Rosenbaum, P.L.; Hlyva, O.; Freeman, M.; Nguyen, T.; Gorter, J.W. Life course health development of individuals with neurodevelopmental conditions. Dev. Med. Child Neurol. 2017, 59, 470–476. [Google Scholar] [CrossRef]
- Fianco, A.; Sartori, R.D.G.; Negri, L.; Lorini, S.; Valle, G.; Fave, A.D. The relationship between burden and well-being among caregivers of Italian people diagnosed with severe neuromotor and cognitive disorders. Res. Dev. Disabil. 2015, 39, 43–54. [Google Scholar] [CrossRef]
- Masefield, S.C.; Prady, S.L.; Sheldon, T.A.; Small, N.; Jarvis, S.; Pickett, K.E. The Caregiver Health Effects of Caring for Young Children with Developmental Disabilities: A Meta-analysis. Matern. Child Health J. 2020, 24, 561–574. [Google Scholar] [CrossRef]
- Garner, R.E.; Arim, R.G.; Kohen, D.E.; Lach, L.M.; MacKenzie, M.J.; Brehaut, J.C.; Rosenbaum, P.L. Parenting children with neurodevelopmental disorders and/or behaviour problems. Child. Care Health Dev. 2013, 39, 412–421. [Google Scholar] [CrossRef] [PubMed]
- Lach, L.M.; Kohen, D.E.; Garner, R.E.; Brehaut, J.C.; Miller, A.; Klassen, A.; Rosenbaum, P.L. The health and psychosocial functioning of caregivers of children with neurodevelopmental disorders. Disabil. Rehabil. 2009, 31, 741–752. [Google Scholar] [CrossRef]
- Baykal, S.; Karakurt, M.N.; Çakır, M.; Karabekiroğlu, K. An Examination of the Relations between Symptom Distributions in Children Diagnosed with Autism and Caregiver Burden, Anxiety and Depression Levels. Community Ment. Health J. 2019, 55, 311–317. [Google Scholar] [CrossRef]
- Novak, M.; Guest, C. Application of a Multidimensional Caregiver Burden Inventory. Gerontologist 1989, 29, 798–803. [Google Scholar] [CrossRef]
- Marvardi, M.; Italian Society of Gerontology and Study Group on Brain Aging of the Italian Society of Gerontology and Geriatrics; Mattioli, P.; Spazzafumo, L.; Mastriforti, R.; Rinaldi, P.; Polidori, M.C.; Cherubini, A.; Quartesan, R.; Bartorelli, L.; et al. The Caregiver Burden Inventory in evaluating the burden of caregivers of elderly demented patients: Results from a multicenter study. Aging Clin. Exp. Res. 2005, 17, 46–53. [Google Scholar] [CrossRef]
- Zarit, S.; Reever, K.; Bahc-Peterson, J. How Emotions Drive Customer Loyalty (Infographic)|Provide Support. Gerontologist 1980, 20, 649–655. [Google Scholar] [CrossRef]
- Chattat, R.; Cortesi, V.; Izzicupo, F.; Del Re, M.L.; Sgarbi, C.; Fabbo, A.; Bergonzini, E. The Italian version of the Zarit Burden Interview: A validation study. Int. Psychogeriatr. 2011, 23, 797–805. [Google Scholar] [CrossRef] [PubMed]
- Ottoboni, G.; On the behalf of DEMCAREGIVER Group; Amici, S.; Iannizzi, P.; Di Pucchio, A.; Vanacore, N.; Chattat, R. Italian revised memory and behavior problems checklist (It-RMBPC): Validation and psychometric properties in Alzheimer’s disease caregivers. Aging Clin. Exp. Res. 2019, 31, 527–537. [Google Scholar] [CrossRef] [PubMed]
- Oldehinkel, M.; Mennes, M.; Marquand, A.; Charman, T.; Tillmann, J.; Ecker, C.; Dell’Acqua, F.; Brandeis, D.; Banaschewski, T.; Baumeister, S.; et al. Altered Connectivity Between Cerebellum, Visual, and Sensory-Motor Networks in Autism Spectrum Disorder: Results from the EU-AIMS Longitudinal European Autism Project. Biol. Psychiatry Cogn. Neurosci. Neuroimaging 2019, 4, 260–270. [Google Scholar] [CrossRef] [PubMed]
- Hadders-Algra, M. Reduced variability in motor behaviour: An indicator of impaired cerebral connectivity? Early Hum. Dev. 2008, 84, 787–789. [Google Scholar] [CrossRef]
- Purpura, G.; Costanzo, V.; Chericoni, N.; Puopolo, M.; Scattoni, M.L.; Muratori, F.; Apicella, F. Bilateral Patterns of Repetitive Movements in 6- to 12-Month-Old Infants with Autism Spectrum Disorders. Front. Psychol. 2017. [Google Scholar] [CrossRef]
- Apicella, F.; Costanzo, V.; Purpura, G. Are early visual behavior impairments involved in the onset of autism spectrum disorders? Insights for early diagnosis and intervention. Eur. J. Pediatr. 2020. [Google Scholar] [CrossRef]
- Muratori, F.; Calderoni, S.; Bizzari, V. George Frankl: An undervalued voice in the history of autism. Eur. Child Adolesc. Psychiatry 2020, 1, 1–8. [Google Scholar] [CrossRef]
- Pellicano, E.; Burr, D. When the world becomes ‘too real’: A Bayesian explanation of autistic perception. Trends Cogn. Sci. 2012, 16, 504–510. [Google Scholar] [CrossRef]
- Del Bianco, T.; Ozturk, Y.; Basadonne, I.; Mazzoni, N.; Venuti, P.; Glăveanu, V. Theoretical Contributions the Thorn in the Dyad: A Vision on Parent-Child Relationship in Autism Spectrum Disorder. Eur. J. Psychol. 2018, 14, 695–709. [Google Scholar] [CrossRef]
- Sugden, D. Current approaches to intervention in children with developmental coordination disorder. Dev. Med. Child Neurol. 2007, 49, 467–471. [Google Scholar] [CrossRef]
- Palisano, R.J.; Di Rezze, B.; Stewart, D.; Freeman, M.; Rosenbaum, P.L.; Hlyva, O.; Wolfe, L.; Gorter, J.W. Promoting capacities for future adult roles and healthy living using a lifecourse health development approach. Disabil. Rehabil. 2020, 42, 2002–2011. [Google Scholar] [CrossRef]
- Kuo, D.Z.; Houtrow, A.J.; Arango, P.; Kuhlthau, K.A.; Simmons, J.M.; Neff, J.M. Family-centered care: Current applications and future directions in pediatric health care. Matern. Child Health J. 2012, 16, 297–305. [Google Scholar] [CrossRef]
- Rogers, S.J.; Hayden, D.; Hepburn, S.; Charlifue-Smith, R.; Hall, T.; Hayes, A. Teaching young nonverbal children with autism useful speech: A pilot study of the Denver model and PROMPT interventions. J. Autism Dev. Disord. 2006, 36, 1007–1024. [Google Scholar] [CrossRef] [PubMed][Green Version]
- Rogers, S.J.; Hayden, D.; Hepburn, S.; Charlifue-Smith, R.; Hall, T.; Hayes, A. Enhancing Low-Intensity Coaching in Parent Implemented Early Start Denver Model Intervention for Early Autism: A Randomized Comparison Treatment Trial. J. Autism Dev. Disord. 2019, 49, 632–646. [Google Scholar] [CrossRef] [PubMed]
- Green, J.; Charman, T.; McConachie, H.; Aldred, C.; Slonims, V.; Howlin, P.; Le Couter, A.; Leadbitter, K.; Hudry, K.; Byford, S.; et al. Parent-mediated communication-focused treatment in children with autism (PACT): A randomised controlled trial. Lancet 2010, 375, 2152–2160. [Google Scholar] [CrossRef]
- Kleefman, M.; Jansen, D.E.; Reijneveld, S.A. The effectiveness of Stepping stones Triple P: The design of a randomised controlled trial on a parenting programme regarding children with mild intellectual disability and psychosocial problems versus care as usual. BMC Med. 2014, 12, 191. [Google Scholar] [CrossRef]
- Sgandurra, G.; Beani, E.; Inguaggiato, E.; Lorentzen, J.; Nielsen, J.B.; Cioni, G. Effects on Parental Stress of Early Home-Based CareToyIntervention in Low-Risk Preterm Infants. Neural Plast. 2019. [Google Scholar] [CrossRef]
- Chronis, A.M.; Chacko, A.; Fabiano, G.A.; Wymbs, B.T.; Pelham, J.W.E., Jr. Ehnancements to the Behavioural Parent Training Paradigm for Families of Children with ADHD: Review and Future Directions. Clin. Child Fam. Psychol. Rev. 2004, 7, 1–27. [Google Scholar] [CrossRef] [PubMed]
- Leadbitter, K.; Macdonald, W.; Taylor, C.; Buckle, K.L.; PACT Consortium. Parent perceptions of participation in a parent-mediated communication-focussed intervention with their young child with autism spectrum disorder. Autism 2020, 24, 2129–2141. [Google Scholar] [CrossRef]




| Data Collection | Total | South of Italy | Centre of Italy | North of Italy |
|---|---|---|---|---|
| Subjects (n; %) | 105 (100) | 32 (30.5) | 48 (45.7) | 25(23.8) |
| Age of children, y,mos (mean; range) | 8.9 (6.1–15.8) | 8.2 (6.1–15.8) | 9.8 (6.3–15.8) | 8.2 (6.1–15.2) |
| Age of caregivers y,mos (mean; range) | 41.9 (31–57) | 41.4 (33–57) | 42.4 (32–54) | 41.6 (31–57) |
| Caregivers (mothers; fathers; others) | 89M; 15F; 1o | 27 M; 4F;1o | 40M; 8F; 0o | 22M; 3F; 0o |
| Employment status of caregivers (Yes/No) | 65 Y/40 N | 14 Y/18 N | 33 Y/15 N | 18 Y/7 N |
| Primary Diagnosis | ||||
| Autism Spectrum Disorder (n) | 34 | 20 | 8 | 6 |
| Intellectual Disability (n) | 15 | 6 | 3 | 6 |
| Attention Deficit Hyperactivity Disorder (n) | 15 | 1 | 10 | 4 |
| Language and/or Learning Specific Disorder (n) | 29 | 4 | 18 | 7 |
| Developmental Coordination Disorder (n) | 12 | 1 | 9 | 2 |
| Gestational Age | Subjects (%) |
|---|---|
| Full term children (≥37 weeks) | 81 |
| Late preterm children (from 33 to 36 weeks) | 14.2 |
| Very preterm children (from 28 to 32 weeks) | 1.0 |
| Extremely preterm children (<28 weeks) | 3.8 |
| Epilepsy | Subjects (%) |
| No seizures | 96.1 |
| Seizures controlled by pharmacotherapy | 1.9 |
| <1 seizure/month | 1 |
| ≥1 seizure/month | 0 |
| ≥1 seizure/day | 1 |
| Rehabilitation | Subjects (%) |
| No rehabilitation, only bi/monthly follow-up | 21.9 |
| From 1 to 3 h of rehabilitation per week | 53.3 |
| More than 3 h of rehabilitation per week | 24.8 |
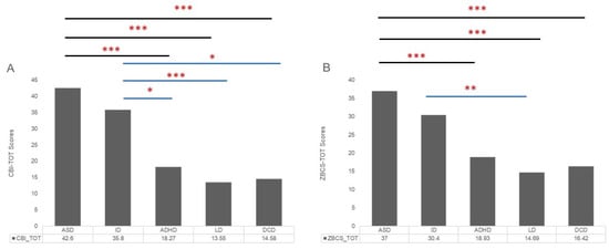
| Caregiver Burden Inventory | Mean (SD) | p-Value | Post-Hoc Bonferroni |
|---|---|---|---|
| CBI-Tot | 26.93 (21.16) | <0.001 | ASD vs. ADHD; ASD vs. LD; ASD vs. DCD; ID vs. ADHD; ID vs. LD; ID vs. DCD |
| CBI-time dependence | 8.75 (6.02) | <0.001 | ASD vs. ADHD; ASD vs. LD; ASD vs. DCD; ID vs. ADHD: ID vs. LD; ID vs. DCD |
| CBI-developmental | 5.83 (6.10) | <0.001 | ASD vs. ADHD; ASD vs. LD; ASD vs. DCD; ID vs. ADHD; ID vs. LD |
| CBI-physical | 4.89 (4.56) | <0.001 | ASD vs. ADHD; ASD vs. LD; ASD vs. DCD |
| CBI-social | 4.06 (4.43) | 0.011 | ASD vs. LD |
| CBI-emotional | 3.41 (4.01) | 0.005 | ASD vs. LD |
| Zarit Caregiver Burden Scale | Mean (SD) | p-Value | Post-Hoc Bonferroni |
| ZBCS-Tot | 24.96 (17.48) | <0.001 | ASD vs. ADHD; ASD vs. LD; ASD vs. DCD; ID vs. LD |
| ZBCS—Personal Strain Scale | 8.16 (6.82) | <0.001 | ASD vs. LD; ASD vs. DCD; ID vs. LD |
| ZBCS—Role Strain Scale | 11.79 (8.52) | <0.001 | ASD vs. ADHD; ASD vs. LD; ASD vs. DCD; ID vs. LD |
| ZBCS—Guilty Scale | 3.89 (2.77) | <0.001 | ASD vs. ADHD; ASD vs. LD; ASD vs. DCD |
Publisher’s Note: MDPI stays neutral with regard to jurisdictional claims in published maps and institutional affiliations. |
© 2021 by the authors. Licensee MDPI, Basel, Switzerland. This article is an open access article distributed under the terms and conditions of the Creative Commons Attribution (CC BY) license (https://creativecommons.org/licenses/by/4.0/).
Share and Cite
Purpura, G.; Tagliabue, L.; Petri, S.; Cerroni, F.; Mazzarini, A.; Nacinovich, R. Caregivers’ Burden of School-Aged Children with Neurodevelopmental Disorders: Implications for Family-Centred Care. Brain Sci. 2021, 11, 875. https://doi.org/10.3390/brainsci11070875
Purpura G, Tagliabue L, Petri S, Cerroni F, Mazzarini A, Nacinovich R. Caregivers’ Burden of School-Aged Children with Neurodevelopmental Disorders: Implications for Family-Centred Care. Brain Sciences. 2021; 11(7):875. https://doi.org/10.3390/brainsci11070875
Chicago/Turabian StylePurpura, Giulia, Luca Tagliabue, Stefania Petri, Francesco Cerroni, Andrea Mazzarini, and Renata Nacinovich. 2021. "Caregivers’ Burden of School-Aged Children with Neurodevelopmental Disorders: Implications for Family-Centred Care" Brain Sciences 11, no. 7: 875. https://doi.org/10.3390/brainsci11070875
APA StylePurpura, G., Tagliabue, L., Petri, S., Cerroni, F., Mazzarini, A., & Nacinovich, R. (2021). Caregivers’ Burden of School-Aged Children with Neurodevelopmental Disorders: Implications for Family-Centred Care. Brain Sciences, 11(7), 875. https://doi.org/10.3390/brainsci11070875

