Using Brain-Breaks® as a Technology Tool to Increase Attitude towards Physical Activity among Students in Singapore
Abstract
1. Introduction
2. Materials and Methods
2.1. Research Design
2.2. Ethical Approval
2.3. Participants
2.4. Measures
Students’ Attitudes toward Physical Activity Scale (APAS)
2.5. Data Analysis
3. Results
4. Discussion
5. Conclusions
Author Contributions
Funding
Institutional Review Board Statement
Informed Consent Statement
Data Availability Statement
Acknowledgments
Conflicts of Interest
References
- World Health Organization. Commission on Ending Childhood Obesity. 2017. Available online: https://www.who.int/end-childhood-obesity/facts/en/ (accessed on 21 April 2021).
- Poh, B.K.; Safiah, M.Y.; Tahir, A.; Haslinda, M.D.S.; Norazlin, N.S.; Norimah, A.K.; Manan, W.W.; Mirnalini, K.; Zalilah, M.S.; Azmi, M.Y.; et al. Physical Activity Pattern and Energy Expenditure of Malaysian Adults: Findings from the Malaysian Adult Nutrition Survey (MANS). Malays. J. Nutr. 2010, 16, 13–37. [Google Scholar] [PubMed]
- Bacha, F.; Gidding, S. Cardiac abnormalities in youth with obesity and type 2 diabetes. Curr. Diabetes Rep. 2016, 16, 62. [Google Scholar] [CrossRef] [PubMed]
- Hidrus, A.; Kueh, Y.C.; Norsaádah, B.; Chang, Y.-K.; Hung, T.-M.; Naing, N.N.; Kuan, G. Effects of brain-breaks videos on the motives for the physical activity of Malaysians with type-2 diabetes mellitus. Int. J. Environ. Res. Public Health 2020, 17, 2507. [Google Scholar] [CrossRef]
- Kumar, S.; Kelly, A.S. Review of Childhood Obesity: From Epidemiology, Etiology, and Comorbidities to Clinical Assessment and Treatment. In Mayo Clinic Proceedings; Elsevier: Amsterdam, The Netherlands, 2017; Volume 92, pp. 251–265. [Google Scholar]
- Lindberg, L.; Danielsson, P.; Persson, M.; Marcus, C.; Hagman, E. Association of childhood obesity with risk of early all-cause and cause-specific mortality: A Swedish prospective cohort study. PLoS Med. 2020, 17, e1003078. [Google Scholar] [CrossRef]
- Ward, Z.J.; Long, M.W.; Resch, S.C.; Giles, C.M.; Cradock, A.L.; Gortmaker, S.L. Simulation of growth trajectories of childhood obesity into adulthood. N. Engl. J. Med. 2017, 377, 2145–2153. [Google Scholar] [CrossRef]
- World Health Organization. Taking Action on Childhood Obesity. 2018. Available online: https://apps.who.int/iris/bitstream/handle/10665/274792/WHO-NMH-PND-ECHO-18.1-eng.pdf (accessed on 21 April 2021).
- Sigman, A. Time for a view on screen time. Arch. Dis. Child. 2012, 97, 935–942. [Google Scholar] [CrossRef]
- Boone, J.E.; Gordon-Larsen, P.; Adair, L.S.; Popkin, B.M. Screen time and physical activity during adolescence: Longitudinal effects on obesity in young adulthood. Int. J. Behav. Nutr. Phys. Act. 2007, 4, 26. [Google Scholar] [CrossRef] [PubMed]
- Brindova, D.; Veselska, Z.D.; Klein, D.; Hamrik, Z.; Sigmundova, D.; Van Dijk, J.P.; Reijneveld, S.A.; Geckova, A.M. Is the association between screen-based behaviour and health complaints among adolescents moderated by physical activity? Int. J. Public Health 2015, 60, 139–145. [Google Scholar] [CrossRef] [PubMed]
- Cai, Y.; Zhu, X.; Wua, X. Overweight, obesity, and screen-time viewing among Chinese school-aged children: National prevalence estimates from the 2016 Physical Activity and Fitness in China—The youth study. J. Sport Health Sci. 2017, 6, 404–409. [Google Scholar] [CrossRef] [PubMed]
- Stiglic, N.; Viner, R.M. Effects of screen time on the health and well-being of children and adolescents: A systematic review of reviews. BMJ Open 2019, 9, e023191. [Google Scholar] [CrossRef]
- Maher, C.; Olds, T.; Eisenmann, J.; Dollman, J. Screen time is more strongly associated than physical activity with overweight and obesity in 9- to 16-year-old Australians. Acta Paediatr. 2012, 101, 1170–1174. [Google Scholar] [CrossRef]
- World Health Organization. Physical Activity. 2020. Available online: https://www.who.int/news-room/fact-sheets/detail/physical-activity (accessed on 26 November 2020).
- Hajar, M.S.; Rizal, H.; Kueh, Y.C.; Muhamad, A.S.; Kuan, G. The effects of brain-breaks on motives of participation in physical activity among primary school children in Malaysia. Int. J. Environ. Res. Public Health 2019, 16, 2331. [Google Scholar] [CrossRef]
- Rizal, H.; Hajar, M.S.; Muhamad, A.S.; Kueh, Y.C.; Kuan, G. The effect of brain breaks® on physical activity behavior among primary school children: A transtheoretical perspective. Int. J. Environ. Res. Public Health 2019, 16, 4283. [Google Scholar] [CrossRef]
- Jago, R.; Salway, R.; Emm-Collison, L.; Sebire, S.J.; Thompson, J.L.; Lawlor, D.A. Association of BMI category with change in children’s physical activity between ages 6 and 11 years: A longitudinal study. Int. J. Obes. 2019, 44, 104–113. [Google Scholar] [CrossRef]
- Lewallen, T.C.; Hunt, H.; Potts-Datema, W.; Zaza, S.; Giles, W. The whole school, whole community, whole child model: A new approach for improving educational attainment and healthy development for students. J. Sch. Health 2015, 85, 729–739. [Google Scholar] [CrossRef] [PubMed]
- Ginsburg, R.D.; Durant, S.; Baltzell, A. Whose Game Is It, Anyway? A Guide to Helping Your Child Get the Most from Sports, Organized by Age and Stage; Mariner Books: New York, NY, USA, 2006. [Google Scholar]
- Althoff, T.; White, R.W.; Horvitz, E. Influence of Pokémon Go on physical activity: Study and implications. J. Med. Internet Res. 2016, 18, e315. [Google Scholar] [CrossRef] [PubMed]
- Centers for Disease Control and Prevention. Whole School, Whole Community, Whole Child (WSCC). 2020. Available online: https://www.cdc.gov/healthyschools/wscc/index.htm (accessed on 12 January 2021).
- Shields, M.K.; Behrman, R.E. Children and computer technology: Analysis and recommendations. Future Child. 2000, 10, 4–30. [Google Scholar] [CrossRef] [PubMed]
- Kuan, G.; Rizal, H.; Hajar, M.S.; Chin, M.K.; Mok, M.M.C. Bright sports, physical activity investments that work: Implementing brain breaks in Malaysia primary schools. Br. J. Sports Med. 2019, 53, 905–906. [Google Scholar] [CrossRef]
- Zhou, K.; He, S.; Zhou, Y.; Popeska, B.; Kuan, G.; Chen, L.; Chin, M.-K.; Mok, M.M.C.; Edginton, C.R.; Culpan, I.; et al. Implementation of brain breaks in the classroom and its effects on attitude towards physical activity in Chinese school setting. Int. J. Environ. Res. Public Health 2021, 18, 272. [Google Scholar] [CrossRef]
- Ministry of Education (MOE), Singapore. 2020. Available online: https://beta.moe.gov.sg/education-in-SG/ (accessed on 30 October 2020).
- Ministry of Foreign Affairs (MFA). Towards a Sustainable and Resilient Singapore. 2018. Available online: https://sustainabledevelopment.un.org/content/documents/19439Singapores_Voluntary_National_Review_Report_v2.pdf (accessed on 2 November 2020).
- Glapa, A.; Grzesiak, J.; Laudanska-Krzeminska, I.; Chin, M.K.; Edginton, C.R.; Mok, M.M.C.; Bronikowski, M. The impact of brain breaks classroom-based physical activities on attitudes toward physical activity in Polish school children in third to fifth grade. Int. J. Environ. Res. Public Health 2018, 15, 368. [Google Scholar] [CrossRef]
- Hajar, M.S.; Rizal, H.; Muhamad, A.S.; Kuan, G. The effects of Brain-Breaks on Short-Term Memory among Primary School Children in Malaysia. In Enhancing Health and Sports Performance by Design, 1st ed.; Hassan, M.H.A., Muhamed, A.M.C., Ali, N.F.M., Lian, D.K.C., Yee, K.L., Safii, N.S., Yusof, S.M., Fauzi, N.G.M., Eds.; Springer: Singapore, 2020; pp. 1–12. [Google Scholar]
- Mok, M.M.C.; Chin, M.K.; Emeljanovas, A.; Mieziene, B.; Bronikowski, M.; Laudanska-Krzeminska, I.; Milanovic, I.; Pasic, M.; Balasekaran, G.; Phua, K.W.; et al. Psychometric properties of the attitudes towards physical activity scale: A Rasch analysis based on data from five location. J. Appl. Meas. 2015, 16, 379–400. [Google Scholar]
- Dinc, S.C.; Uzunoz, F.S.; Mok, M.M.C.; Chin, M.-K. Adaptation of the attitudes toward physical activity scale for higher education students in Turkey. J. Educ. Learn. 2019, 8, 95–101. [Google Scholar] [CrossRef][Green Version]
- Popeska, B.; Jovanova-Mitkovska, S.; Chin, M.K.; Edginton, C.R.; Mok, M.M.C.; Gontarev, S. Implementation of brain breaks® in the classroom and effects on attitudes toward physical activity in a Macedonian school setting. Int. J. Environ. Res. Public Health 2018, 15, 1127. [Google Scholar] [CrossRef]
- Uzunoz, F.S.; Chin, M.K.; Mok, M.M.C.; Edginton, C.R.; Podnar, H. The Effects of Technology Supported Brain Breaks on Physical Activity in School Children. In Passionately Inclusive: Towards Participation and Friendship in Sport; Dumon, D., Hofmann, A.R., Diketmuller, R., Koenen, K., Bailey, R., Zinkler, C., Eds.; Festschrift für Gudrun Doll-Tepper: Münster, NY, USA, 2018; pp. 87–104. [Google Scholar]
- Krause, J.M.; Benavidez, E.A. Potential influences of exergaming on self-efficacy for physical activity and sport. J. Phys. Educ. Recreat. Danc. 2014, 85, 15–20. [Google Scholar] [CrossRef]
- Mok, M.M.C.; Chin, M.-K.; Korcz, A.; Popeska, B.; Edginton, C.R.; Uzunoz, F.S.; Podnar, H.; Coetzee, D.; Georgescu, L.; Emeljanovas, A.; et al. Brain Breaks® Physical Activity Solutions in the Classroom and on Attitudes toward Physical Activity: A Randomized Controlled Trial among Primary Students from Eight Countries. Int. J. Environ. Res. Public Health 2020, 17, 1666. [Google Scholar] [CrossRef]
- Bonnema, J.; Coetzee, D.; Lennox, A. Effect of a three-month HOPSports Brain Breaks® intervention programme on the attitudes of Grade 6 learners towards physical activities and fitness in South Africa. J. Physic. Educ. Sport 2020, 20, 196–205. [Google Scholar] [CrossRef]
- Hajar, M.S.; Rizal, H.; Kuan, G. Effects of physical activity on sustained attention: A systematic review. Sci. Med. 2019, 29, e32864. [Google Scholar] [CrossRef]
- Perrey, S. Promoting motor function by exercising the brain. Brain Sci. 2013, 3, 101–122. [Google Scholar] [CrossRef] [PubMed]
- Singapore Unveils Plan in Push to Become Smart Nation. 2014. Available online: https://www.zdnet.com/article/singapore-unveils-plan-in-push-to-become-smart-nation/ (accessed on 21 April 2021).
- Ammar, A.; Brach, M.; Trabelsi, K.; Chtourou, H.; Boukhris, O.; Masmoudi, L.; Bouaziz, B.; Bentlage, E.; How, D.; Ahmed, M.; et al. Effects of COVID-19 home confinement on eating behaviour and physical activity: Results of the ECLB-COVID19 international online survey. Nutrients 2020, 12, 1583. [Google Scholar] [CrossRef] [PubMed]
- Constandt, B.; Thibaut, E.; De Bosscher, V.; Scheerder, J.; Ricour, M.; Willem, A. Exercising in times of lockdown: An analysis of the impact of COVID-19 on levels and patterns of exercise among adults in Belgium. Int. J. Environ. Res. Public Health 2020, 17, 4144. [Google Scholar] [CrossRef] [PubMed]
- Ding, K.; Yang, J.; Chin, M.K.; Sullivan, L.; Durstine, J.L.; Violant-Holz, V.; Demirhan, G.; Oliveira, N.R.C.; Popeska, B.; Kuan, G.; et al. Physical Activity among Adults residing in 11 countries during the COVID-19 Pandemic Lockdown. Int. J. Environ. Res. Public Health 2021. Under review. [Google Scholar] [CrossRef] [PubMed]
- Dwyer, M.J.; Pasini, M.; De Dominicis, S.; Righi, E. Physical activity: Benefits and challenges during the COVID-19 pandemic. Scand. J. Med. Sci. Sports 2020, 30, 1291–1294. [Google Scholar] [CrossRef] [PubMed]
- Khoramipour, K.; Basereh, A.; Hekmatikar, A.A.; Castell, L.; Ruhee, R.T.; Suzuki, K. Physical activity and nutrition guidelines to help with the fight against COVID-19. J. Sports Sci. 2021, 39, 101–107. [Google Scholar] [CrossRef] [PubMed]
- Schnitzer, M.; Schöttl, S.E.; Kopp, M.; Barth, M. COVID-19 stay-at-home order in Tyrol, Austria: Sports and exercise behaviour in change? Public Health 2020, 185, 218–220. [Google Scholar] [CrossRef]
- Dhingra, M.; Chattopadhyay, S. Advancing smartness of traditional settlements-case analysis of Indian and Arab old cities. Int. J. Sustain. Built Environ. 2016, 5, 549–563. [Google Scholar] [CrossRef]
- World Health Organization. Sustainable Development Goals (SDGs). 2020. Available online: https://www.who.int/health-topics/sustainable-development-goals#tab=tab_1 (accessed on 21 April 2021).



| Variables | Total (n = 113) Mean ± SD | EG (n = 48) Mean ± SD | CG (n = 65) Mean ± SD |
|---|---|---|---|
| Gender | |||
| Male (n, %) | 47 (41.6%) | 22 (45.8%) | 25 (38.5%) |
| Female (n, %) | 66 (58.4%) | 26 (54.2%) | 40 (61.5%) |
| Age (years) | 9.68 ± 0.95 | 9.71 ± 0.99 | 9.66 ± 0.94 |
| Height (m) | 1.38 ± 8.27 | 1.37 ± 0.09 | 1.39 ± 0.09 |
| Weight (kg) | 35.21 ± 10.21 | 34.91 ± 10.97 | 35.43 ± 10.55 |
| Body Mass Index (kg·m−2) | 18.19 ± 2.86 | 18.24 ± 4.18 | 18.16 ± 3.67 |
| Scale | Number of Items | Cronbach’s Alpha |
|---|---|---|
| Promoting Holistic Health (F1) | 10 | 0.84 |
| Importance of Exercise Habit (F2) | 5 | 0.81 |
| Self-efficacy in Learning with Video Exercises (F3) | 11 | 0.93 |
| Self-efficacy in Selecting Video Exercises (F4) | 4 | 0.90 |
| Exercise Motivation and Enjoyment (F5) | 14 | 0.87 |
| Self-confidence on Physical Fitness (F6) | 8 | 0.92 |
| Trying to do Personal Best (F7) | 5 | 0.82 |
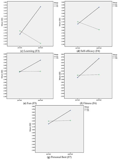
| Variables on Physical Activity | Group | Pretest | Posttest | Time | Group | Time*Group | ||||||
|---|---|---|---|---|---|---|---|---|---|---|---|---|
| Mean (SD) | Mean (SD) | F | p | η2 | F | p | η2 | F | p | η2 | ||
| Benefits (F1) | CG | 3.19 (0.55) | 3.13 (0.64) | 18.87 | <0.001 | 0.15 | 3.86 | 0.052 | 0.03 | 29.29 | <0.001 | 0.21 |
| EG | 3.06 (0.51) | 3.61 (0.37) | ||||||||||
| Importance (F2) | CG | 3.28 (0.61) | 3.32 (0.60) | 17.89 | <0.001 | 0.14 | 6.49 | 0.012 | 0.06 | 12.57 | 0.001 | 0.10 |
| EG | 3.29 (0.52) | 3.74 (0.31) | ||||||||||
| Learning (F3) | CG | 2.77 (0.78) | 2.32 (0.88) | 9.35 | 0.003 | 0.08 | 32.55 | <0.001 | 0.23 | 66.08 | <0.001 | 0.37 |
| EG | 2.65 (0.67) | 3.64 (0.36) | ||||||||||
| Self-efficacy (F4) | CG | 3.10 (0.60) | 2.82 (0.74) | 4.38 | 0.039 | 0.04 | 14.89 | <0.001 | 0.12 | 33.45 | <0.001 | 0.23 |
| EG | 3.02 (0.62) | 3.62 (0.51) | ||||||||||
| Fun (F5) | CG | 3.18 (0.58) | 3.19 (0.66) | 13.70 | <0.001 | 0.11 | 4.59 | 0.034 | 0.04 | 13.27 | <0.001 | 0.11 |
| EG | 3.17 (0.48) | 3.58 (0.38) | ||||||||||
| Fitness (F6) | CG | 3.05 (0.73) | 3.07 (0.69) | 25.92 | <0.001 | 0.19 | 5.42 | 0.022 | 0.05 | 22.89 | <0.001 | 0.17 |
| EG | 2.97 (0.73) | 3.65 (0.39) | ||||||||||
| Personal Best (F7) | CG | 3.29 (0.65) | 3.32 (0.63) | 11.59 | <0.001 | 0.10 | 2.08 | 0.153 | 0.02 | 9.36 | 0.003 | 0.08 |
| EG | 3.20 (0.61) | 3.66 (0.43) | ||||||||||
Publisher’s Note: MDPI stays neutral with regard to jurisdictional claims in published maps and institutional affiliations. |
© 2021 by the authors. Licensee MDPI, Basel, Switzerland. This article is an open access article distributed under the terms and conditions of the Creative Commons Attribution (CC BY) license (https://creativecommons.org/licenses/by/4.0/).
Share and Cite
Balasekaran, G.; Ibrahim, A.A.B.; Cheo, N.Y.; Wang, P.K.; Kuan, G.; Popeska, B.; Chin, M.-K.; Mok, M.M.C.; Edginton, C.R.; Culpan, I.; et al. Using Brain-Breaks® as a Technology Tool to Increase Attitude towards Physical Activity among Students in Singapore. Brain Sci. 2021, 11, 784. https://doi.org/10.3390/brainsci11060784
Balasekaran G, Ibrahim AAB, Cheo NY, Wang PK, Kuan G, Popeska B, Chin M-K, Mok MMC, Edginton CR, Culpan I, et al. Using Brain-Breaks® as a Technology Tool to Increase Attitude towards Physical Activity among Students in Singapore. Brain Sciences. 2021; 11(6):784. https://doi.org/10.3390/brainsci11060784
Chicago/Turabian StyleBalasekaran, Govindasamy, Ahmad Arif Bin Ibrahim, Ng Yew Cheo, Phua Kia Wang, Garry Kuan, Biljana Popeska, Ming-Kai Chin, Magdalena Mo Ching Mok, Christopher R. Edginton, Ian Culpan, and et al. 2021. "Using Brain-Breaks® as a Technology Tool to Increase Attitude towards Physical Activity among Students in Singapore" Brain Sciences 11, no. 6: 784. https://doi.org/10.3390/brainsci11060784
APA StyleBalasekaran, G., Ibrahim, A. A. B., Cheo, N. Y., Wang, P. K., Kuan, G., Popeska, B., Chin, M.-K., Mok, M. M. C., Edginton, C. R., Culpan, I., & Durstine, J. L. (2021). Using Brain-Breaks® as a Technology Tool to Increase Attitude towards Physical Activity among Students in Singapore. Brain Sciences, 11(6), 784. https://doi.org/10.3390/brainsci11060784

