Dynamic Optimization of Data Packet-based Communication for PLC Visual Monitoring
Abstract
:1. Introduction
2. Dynamic Optimization of Data Packet-based Communication for PLC Visual Monitoring
2.1. Typical Communication Scenarios of PLC Visual Monitoring
2.2. Descriptions of Data Packet-based Communication
2.3. Optimization Formulation and Solution
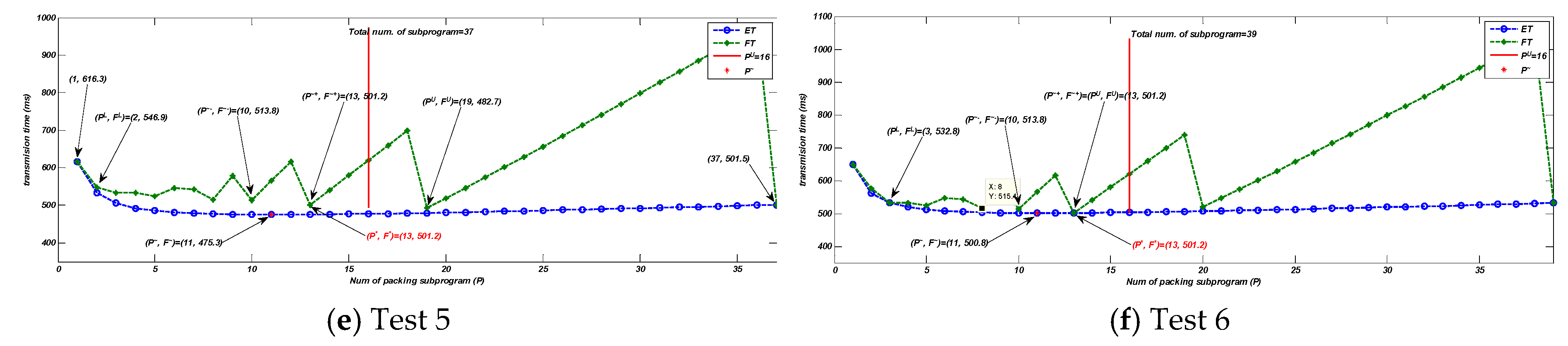
3. Experimental Studies and Discussions
3.1. Initialization and Optimization of Communication Packet Size
3.2. Experimental Results
4. Conclusions
Author Contributions
Funding
Acknowledgments
Conflicts of Interest
References
- Wang, F.Y.; Liu, D. Networked control systems. In Theory and Applications; Springer-Verlag: London, UK, 2008. [Google Scholar]
- Yang, T.C. Networked control system: A brief survey. IEEE Proc.-Control Theory Appl. 2006, 153, 403–412. [Google Scholar] [CrossRef]
- Zhang, X.M.; Han, Q.L.; Yu, X. Survey on recent advances in networked control systems. IEEE Trans. Ind. Inform. 2016, 12, 1740–1752. [Google Scholar] [CrossRef]
- Kirubashankar, R.; Krishnamurthy, K. A real-time web-enabled platform for information monitoring and fault diagnosis in a distributed control system. Instrum. Sci. Technol. 2013, 41, 236–250. [Google Scholar] [CrossRef]
- Sekar, R.; Hsieh, S.J.; Wu, Z. Remote diagnosis design for a PLC-based automated system: 1-implementation of three levels of architectures. Int. J. Adv. Manuf. Technol. 2011, 57, 683–700. [Google Scholar] [CrossRef]
- Sabu, H.M.; Aravind, V.B.; Sullerey, A.; Binson, V.A. Online Monitoring of PLC Based Pressure Control System. Int. J. Res. Innov. Sci. Technol. 2015, 2, 47–50. [Google Scholar]
- Priyanka, E.B.; Maheswari, C.; Thangavel, S. Online monitoring and control of flow rate in oil pipelines transportation system by using PLC based Fuzzy-PID Controller. Flow Meas. Instrum. 2018, 62, 144–151. [Google Scholar] [CrossRef]
- Yan, Y.; Zhang, H. Compiling ladder diagram into instruction list to comply with iec 61131-3. Comput. Ind. 2010, 61, 448–462. [Google Scholar] [CrossRef]
- Bjelica, O.; Lale, S. November. Development environment for monitoring, data acquisition and simulation of PLC controlled applications. In Proceedings of the IEEE 21st Telecommunications Forum (TELFOR), Belgrade, Serbia, 26–28 November 2013; pp. 912–915. [Google Scholar]
- Zhao, Y.B.; Liu, G.P.; Rees, D. Design of a packet-based control framework for networked control systems. IEEE Trans. Control Syst. Technol. 2009, 17, 859–865. [Google Scholar] [CrossRef]
- Bolton, W. Programmable Logic Controllers; Newnes: Newton, MA, USA, 2015. [Google Scholar]
- Krum, R. Cool Infographics: Effective Communication with Data Visualization and Design; John Wiley & Sons: Hoboken, NJ, USA, 2013. [Google Scholar]
- Wickens, C.D.; Hollands, J.G.; Banbury, S.; Parasuraman, R. Engineering Psychology & Human Performance; Psychology Press: London, UK, 2015. [Google Scholar]
- Martínez-García, M.; Gordon, T.; Shu, L. Extended crossover model for human-control of fractional order plants. IEEE Access 2017, 5, 27622–27635. [Google Scholar] [CrossRef]
- Feng, L.H.; Gui, W.H.; Feng, Y. Application of communication optimization strategy based on cascade PLC MODBUS in fire water system of hydropower station. In Proceedings of the IEEE Second International Conference on Intelligent Computation Technology and Automation (ICICTA’09), Changsha, China, 10–11 October 2009; Volume 4, pp. 45–48. [Google Scholar]
- Konaka, E.; Suzuki, T.; Okuma, S. Optimization of sensor parameters in programmable logic controller via mixed integer programming. In Proceedings of the IEEE International Conference on Control Applications, Taipei, Taiwan, 2–4 September 2004; Volume 2, pp. 866–871. [Google Scholar]
- Purohit, A.; Buch, J. Evaluation of optimization solvers on programmable logic controller. In Proceedings of the IEEE Conference on Control Applications, Sydney, NSW, Australia, 21–23 September 2015; pp. 533–538. [Google Scholar]
- Kim, T.; Kim, J. Integration of code scheduling, memory allocation, and array binding for memory-access optimization. IEEE Trans. Comput.-Aided Des. Integr. Circuits Syst. 2007, 26, 142–151. [Google Scholar] [CrossRef]
- Jung, L.T.; Abdullah, A. Wireless Sensor Networks: Data Packet Size Optimization. In Wireless Sensor Networks and Energy Efficiency: Protocols, Routing and Management; IGI Global: Hershey, PA, USA, 2012; pp. 305–328. [Google Scholar]
- Oto, M.C.; Akan, O.B. Energy-efficient packet size optimization for cognitive radio sensor networks. IEEE Trans. Wirel. Commun. 2012, 11, 1544–1553. [Google Scholar] [CrossRef]
- Tolba, M.F.; AboAlNaga, B.M.; Said, L.A.; Madian, A.H.; Radwan, A.G. Fractional order integrator/differentiator: FPGA implementation and FOPID controller application. AEU-Int. J. Electron. Commun. 2019, 98, 220–229. [Google Scholar] [CrossRef]
- Mystkowski, A.; Zolotas, A. PLC-based discrete fractional-order control design for an industrial-oriented water tank volume system with input delay. Fract. Calc. Appl. Anal. 2018, 21, 1005–1026. [Google Scholar] [CrossRef]
- Mystkowski, A.; Kierdelewicz, A. Fractional-Order Water Level Control Based on PLC: Hardware-In-The-Loop Simulation and Experimental Validation. Energies 2018, 11, 2928. [Google Scholar] [CrossRef]
- Gerkšič, S.; Dolanc, G.; Vrančić, D.; Kocijan, J.; Strmčnik, S.; Blažič, S.; Škrjanc, I.; Marinšek, Z.; Božiček, M.; Stathaki, A.; et al. Advanced control algorithms embedded in a programmable logic controller. Control Eng. Pract. 2006, 14, 935–948. [Google Scholar] [CrossRef]
- Wu, H.; Yan, Y.; Sun, D.; Simon, R. A customized real-time compilation for motion control in embedded PLCs. IEEE Trans. Ind. Inform. 2019, 15, 812–821. [Google Scholar] [CrossRef]
- Moallim, A.; Lee, J.M.; Kim, D.S. Wireless control and monitoring using Programmable Logic Controller (PLC). In Proceedings of the IEEE 17th International Conference on Control, Automation and Systems (ICCAS), Jeju, Korea, 18–21 October 2017; pp. 1763–1767. [Google Scholar]
- Lindner, D.T.; Swales, A.G. Method for Adapting a Computer-to-Computer Communication Protocol for Use in an Industrial Control System. U.S. Patent 6,952,727, 4 October 2005. [Google Scholar]
- Thorpe, S.; Fize, D.; Marlot, C. Speed of processing in the human visual system. Nature 1996, 381, 520–522. [Google Scholar] [CrossRef] [PubMed]
- Zhang, Y.; Martinez-Garcia, M.; Gordon, T. Human Response Delay Estimation and Monitoring using Gamma Distribution Analysis. In Proceedings of the 2018 IEEE International Conference on Systems, Man, and Cybernetics (SMC), Miyazaki, Japan, 7–10 October 2018; pp. 807–812. [Google Scholar]





| Simulation System Parameters | Test1 | Test2 | Test3 | Test4 | Test5 | Test6 |
|---|---|---|---|---|---|---|
| The additional access time T0 (s) | 3 ms | 3 ms | 3 ms | 3 ms | 3 ms | 3 ms |
| The retransmission rate δ (1/byte) | 10−5 | 10−5 | 10−5 | 10−5 | 10−5 | 10−5 |
| The network bandwidth ρ (byte/s) | 200 k | 200 k | 200 k | 200 k | 200 k | 200 k |
| The additional packet header d (byte) | 40 | 40 | 40 | 40 | 40 | 40 |
| The maximum data length of sub-networks L (byte) | 300 | 300 | 300 | 300 | 300 | 300 |
| The total number of sub-networks N | 21 | 25 | 29 | 37 | 38 | 39 |
| The upper limit of the refresh time of a single packet (ms) | 200 ms | 200 ms | 200 ms | 200 ms | 200 ms | 200 ms |
| The optimized packet size P* | 7 | 5 | 10 | 13 | 13 | 13 |
| The optimized number of packets | 3 | 5 | 3 | 3 | 3 | 3 |
| Expected time for updating a monitoring view E(P*) (ms) | 271.5 | 328 | 385.3 | 501.2 | 501.2 | 501.2 |
| Actual processing time for a single packet (ms) | 30.6 | 22.6 | 42.6 | 54.6 | 54.6 | 54.6 |
| Experimental System Parameters | View1 | View2 | View3 | View4 | View5 | View6 |
|---|---|---|---|---|---|---|
| The tightening upper bound of the sub-network length L in the current monitoring views (byte) | 151 | 185 | 212 | 212 | 185 | 151 |
| The number of sub-networks N | 23 | 30 | 40 | 58 | 70 | 80 |
| The optimized packet size: P* | 13 | 11 | 9 | 9 | 11 | 13 |
| The optimized length of a packet (byte) | 1963 | 2035 | 1908 | 1908 | 2035 | 1963 |
| Expected time for processing a packet (s) | 0.1604 | 0.1662 | 0.1560 | 0.1560 | 0.1662 | 0.1604 |
| Expected time for updating a monitoring views E(P*) (ms) | 290 | 463 | 707 | 1025 | 1079 | 1007 |
| Actual processing time for updating a monitoring view (ms) | 257 | 442 | 651 | 883 | 847 | 821 |
© 2019 by the authors. Licensee MDPI, Basel, Switzerland. This article is an open access article distributed under the terms and conditions of the Creative Commons Attribution (CC BY) license (http://creativecommons.org/licenses/by/4.0/).
Share and Cite
Ju, C.; Yang, G.; Chen, Y.-W.; Pan, C. Dynamic Optimization of Data Packet-based Communication for PLC Visual Monitoring. Appl. Sci. 2019, 9, 1721. https://doi.org/10.3390/app9081721
Ju C, Yang G, Chen Y-W, Pan C. Dynamic Optimization of Data Packet-based Communication for PLC Visual Monitoring. Applied Sciences. 2019; 9(8):1721. https://doi.org/10.3390/app9081721
Chicago/Turabian StyleJu, Changjiang, Genke Yang, Yu-Wang Chen, and Changchun Pan. 2019. "Dynamic Optimization of Data Packet-based Communication for PLC Visual Monitoring" Applied Sciences 9, no. 8: 1721. https://doi.org/10.3390/app9081721
APA StyleJu, C., Yang, G., Chen, Y.-W., & Pan, C. (2019). Dynamic Optimization of Data Packet-based Communication for PLC Visual Monitoring. Applied Sciences, 9(8), 1721. https://doi.org/10.3390/app9081721
