Evaluation of Weighting Average Functions as a Simplification of the Radiative Transfer Simulation in Vertically Inhomogeneous Eutrophic Waters
Abstract
1. Introduction
2. Data and Methods
2.1. Field-Measured Dataset
2.2. Ecolight Simulation Data
2.3. Contribution of Each Layer to rrs(0−, λ)
3. Results
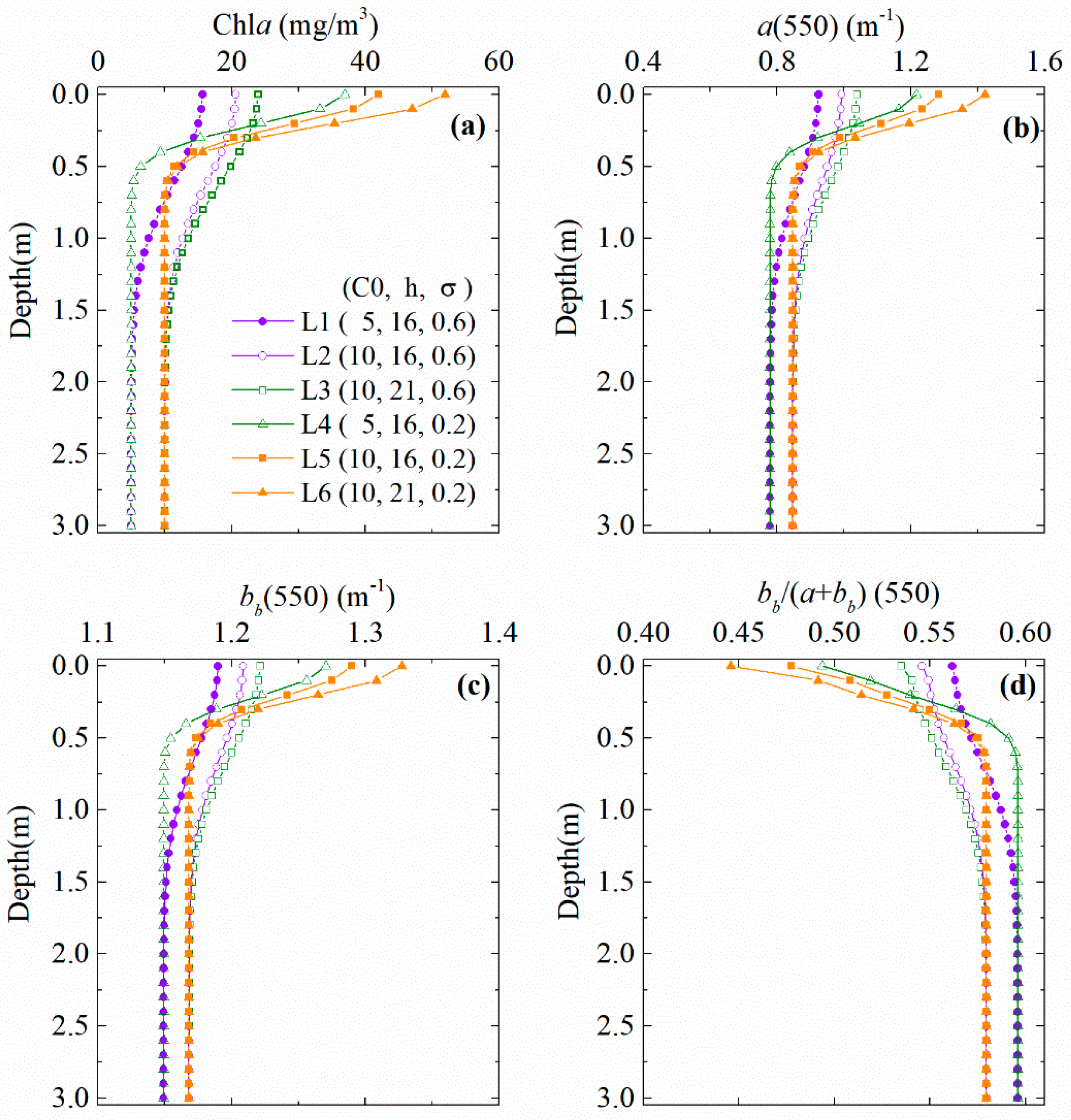
3.1. Effects of Chla(z) Profiles on rrs(λ, z)
3.2. Effects of Chla(z) Profiles on Kx(λ, z)
3.3. Contribution of Each Layer to rrs(0−)
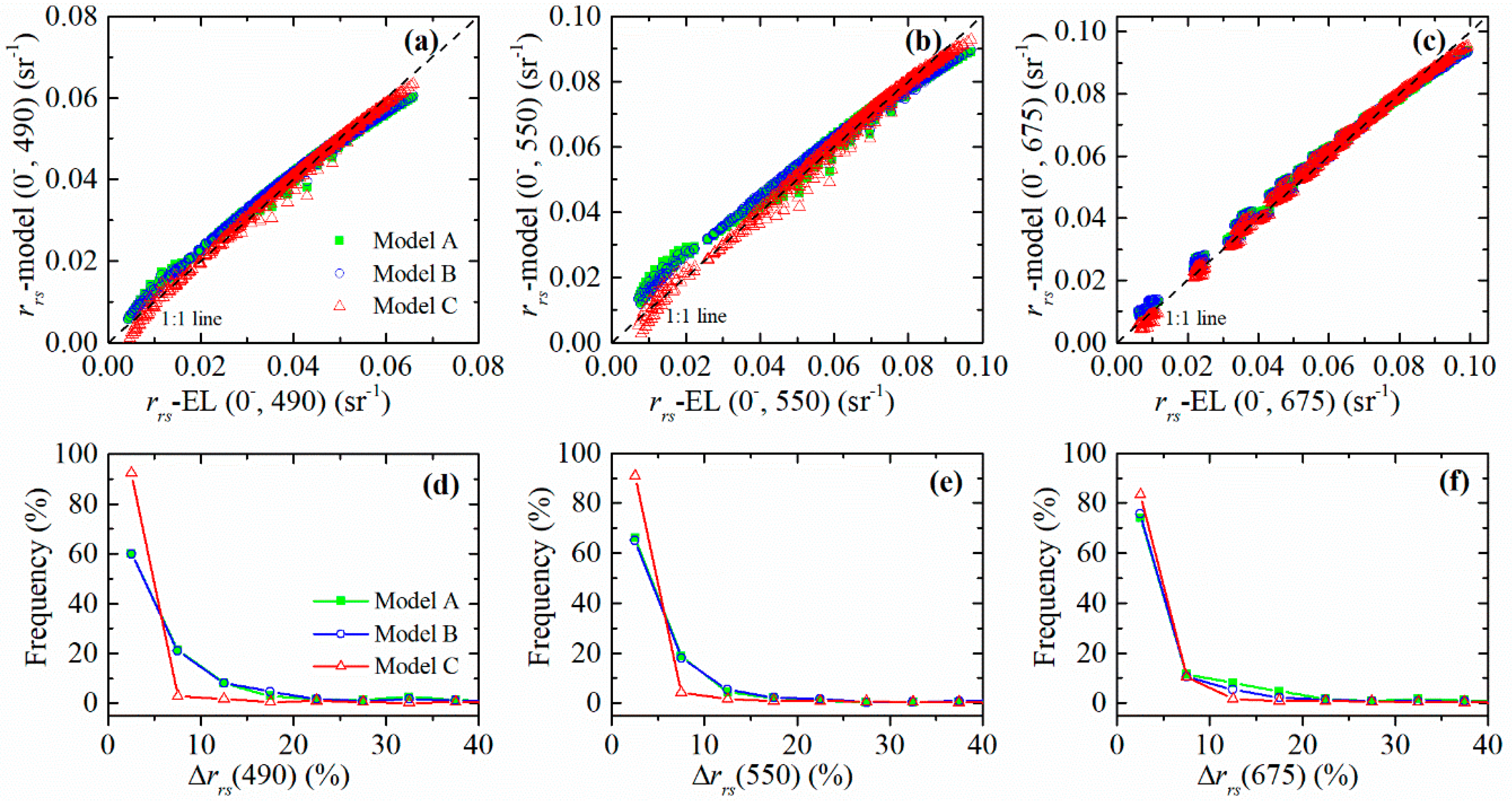
3.4. Remote Sensing Reflectance Model Considering Vertical Distribution Of Phytoplankton
4. Discussion
4.1. Performance of Weighting Average Functions
4.2. Limitations
5. Conclusions
Author Contributions
Funding
Acknowledgments
Conflicts of Interest
References
- Odermatt, D.; Pomati, F.; Pitarch, J.; Carpenter, J.; Kawka, M.; Schaepman, M.; Wüest, A. MERIS observations of phytoplankton blooms in a stratified eutrophic lake. Remote Sens. Environ. 2012, 126, 232–239. [Google Scholar] [CrossRef]
- Bresciani, M.; Adamo, M.; De Carolis, G.; Matta, E.; Pasquariello, G.; Vaičiūtė, D.; Giardino, C. Monitoring blooms and surface accumulation of cyanobacteria in the Curonian Lagoon by combining MERIS and ASAR data. Remote Sens. Environ. 2014, 146, 124–135. [Google Scholar] [CrossRef]
- Millán-Núñez, R.; Alvarez-Borrego, S.; Trees, C.C. Modeling the vertical distribution of chlorophyll in the California Current System. J. Geophys. Res. 1997, 102, 8587. [Google Scholar] [CrossRef]
- André, J.-M. Ocean color remote-sensing and the subsurface vertical structure of phytoplankton pigments. Deep Sea Res. Part A Oceanogr. Res. Pap. 1992, 39, 763–779. [Google Scholar] [CrossRef]
- Forget, P.; Broche, P.; Naudin, J.-J. Reflectance sensitivity to solid suspended sediment stratification in coastal water and inversion: A case study. Remote Sens. Environ. 2001, 77, 92–103. [Google Scholar] [CrossRef]
- Nanu, L.; Robertson, C. The effect of suspended sediment depth distribution on coastal water spectral reflectance: Theoretical simulation. Int. J. Remote Sens. 1993, 14, 225–239. [Google Scholar] [CrossRef]
- Xue, K.; Zhang, Y.; Duan, H.; Ma, R.; Loiselle, S.; Zhang, M. A Remote Sensing Approach to Estimate Vertical Profile Classes of Phytoplankton in a Eutrophic Lake. Remote Sens. 2015, 7, 14403–14427. [Google Scholar] [CrossRef]
- Gordon, H.R.; Clark, D.K. Remote sensing optical properties of a stratified ocean: An improved interpretation. Appl. Opt. 1980, 19, 3428–3430. [Google Scholar] [CrossRef]
- Sokoletsky, L.G.; Yacobi, Y.Z. Comparison of chlorophyll a concentration detected by remote sensors and other chlorophyll indices in inhomogeneous turbid waters. Appl. Opt. 2011, 50, 5770–5779. [Google Scholar] [CrossRef]
- Zaneveld, J.R.V.; Barnard, A.; Boss, E. Theoretical derivation of the depth average of remotely sensed optical parameters. Opt. Express 2005, 13, 9052–9061. [Google Scholar] [CrossRef]
- Duan, H.; Ma, R.; Zhang, Y.; Loiselle, S.A.; Xu, J.; Zhao, C.; Zhou, L.; Shang, L. A new three-band algorithm for estimating chlorophyll concentrations in turbid inland lakes. Environ. Res. Lett. 2010, 5, 044009. [Google Scholar] [CrossRef]
- Song, K.; Li, L.; Tedesco, L.P.; Li, S.; Duan, H.; Liu, D.; Hall, B.E.; Du, J.; Li, Z.; Shi, K.; et al. Remote estimation of chlorophyll-a in turbid inland waters: Three-band model versus GA-PLS model. Remote Sens. Environ. 2013, 136, 342–357. [Google Scholar] [CrossRef]
- Duan, H.; Ma, R.; Hu, C. Evaluation of remote sensing algorithms for cyanobacterial pigment retrievals during spring bloom formation in several lakes of East China. Remote Sens. Environ. 2012, 126, 126–135. [Google Scholar] [CrossRef]
- Song, K.; Li, L.; Li, Z.; Tedesco, L.; Hall, B.; Shi, K. Remote detection of cyanobacteria through phycocyanin for water supply source using three-band model. Ecol. Inform. 2013, 15, 22–33. [Google Scholar] [CrossRef]
- Kutser, T.; Metsamaa, L.; Strömbeck, N.; Vahtmäe, E. Monitoring cyanobacterial blooms by satellite remote sensing. Estuar. Coast. Shelf Sci. 2006, 67, 303–312. [Google Scholar] [CrossRef]
- Zhang, Y.; Ma, R.; Zhang, M.; Duan, H.; Loiselle, S.; Xu, J. Fourteen-Year Record (2000–2013) of the Spatial and Temporal Dynamics of Floating Algae Blooms in Lake Chaohu, Observed from Time Series of MODIS Images. Remote Sens. 2015, 7, 10523–10542. [Google Scholar] [CrossRef]
- Gordon, H.R.; McCluney, W. Estimation of the depth of sunlight penetration in the sea for remote sensing. Appl. Opt. 1975, 14, 413–416. [Google Scholar] [CrossRef] [PubMed]
- Tsujimura, S.; Tsukada, H.; Nakahara, H.; Nakajima, T.; Nishino, M. Seasonal variations of Microcystis populations in sediments of Lake Biwa, Japan. Hydrobiologia 2000, 434, 183–192. [Google Scholar] [CrossRef]
- Stramska, M.; Stramski, D. Effects of a nonuniform vertical profile of chlorophyll concentration on remote-sensing reflectance of the ocean. Appl. Opt. 2005, 44, 1735–1747. [Google Scholar] [CrossRef] [PubMed]
- Kutser, T.; Metsamaa, L.; Dekker, A.G. Influence of the vertical distribution of cyanobacteria in the water column on the remote sensing signal. Estuar. Coast. Shelf Sci. 2008, 78, 649–654. [Google Scholar] [CrossRef]
- Xue, K.; Zhang, Y.; Ma, R.; Duan, H. An approach to correct the effects of phytoplankton vertical nonuniform distribution on remote sensing reflectance of cyanobacterial bloom waters. Limnol. Oceanogr. Methods 2017, 15, 302–319. [Google Scholar] [CrossRef]
- Silulwane, N.F.; Richardson, A.J.; Shillington, F.A.; Mitchell-Innes, B.A. Identification and classification of vertical chlorophyll patterns in the Benguela upwelling system and Angola-Benguela front using an artificial neural network. S. Afr. J. Mar. Sci. 2010, 23, 37–51. [Google Scholar] [CrossRef]
- Mobley, C.D. Light and Water: Radiative Transfer in Natural Waters; Academic Press: Cambridge, MA, USA, 1994; pp. 155–162. [Google Scholar]
- Sundarabalan, B.; Shanmugam, P.; Ahn, Y.H. Modeling the underwater light field fluctuations in coastal oceanic waters: Validation with experimental data. Ocean Sci. J. 2016, 51, 67–86. [Google Scholar] [CrossRef]
- Gordon, H.R. Ship perturbation of irradiance measurements at sea. 1: Monte Carlo simulations. Appl. Opt. 1985, 24, 4172–4182. [Google Scholar] [CrossRef] [PubMed]
- Kirk, J.T.O. Monte Carlo study of the nature of the underwater light field in, and the relationships between optical properties of, turbid yellow waters. Mar. Freshw. Res. 1981, 32, 517–532. [Google Scholar] [CrossRef]
- Morel, A.; Gentili, B. Diffuse reflectance of oceanic waters: Its dependence on Sun angle as influenced by the molecular scattering contribution. Appl. Opt. 1991, 30, 4427–4438. [Google Scholar] [CrossRef]
- Plass, G.N.; Kattawar, G.W. Radiative Transfer in an Atmosphere-Ocean System. Appl. Opt. 1969, 8, 455–466. [Google Scholar] [CrossRef]
- Jin, Z.; Stamnes, K. Radiative transfer in nonuniformly refracting layered media: Atmosphere-ocean system. Appl. Opt. 1994, 33, 431–442. [Google Scholar] [CrossRef]
- Chami, M.; Lafrance, B.; Fougnie, B.; Chowdhary, J.; Harmel, T.; Waquet, F. OSOAA: A vector radiative transfer model of coupled atmosphere-ocean system for a rough sea surface application to the estimates of the directional variations of the water leaving reflectance to better process multi-angular satellite sensors data over the ocean. Opt. Express 2015, 23, 27829–27852. [Google Scholar] [CrossRef]
- Chami, M.; Santer, R.; Dilligeard, E. Radiative transfer model for the computation of radiance and polarization in an ocean–atmosphere system: Polarization properties of suspended matter for remote sensing. Appl. Opt. 2001, 40, 2398–2416. [Google Scholar] [CrossRef]
- He, X.; Bai, Y.; Zhu, Q.; Gong, F. A vector radiative transfer model of coupled ocean–atmosphere system using matrix-operator method for rough sea-surface. J. Quant. Spectrosc. Radiat. Transf. 2010, 111, 1426–1448. [Google Scholar] [CrossRef]
- Ramon, D.; Steinmetz, F.; Jolivet, D.; Compiègne, M.; Frouin, R. Modeling polarized radiative transfer in the ocean-atmosphere system with the GPU-accelerated SMART-G Monte Carlo code. J. Quant. Spectrosc. Radiat. Transf. 2019, 222–223, 89–107. [Google Scholar] [CrossRef]
- Zhai, P.-W.; Hu, Y.; Chowdhary, J.; Trepte, C.R.; Lucker, P.L.; Josset, D.B. A vector radiative transfer model for coupled atmosphere and ocean systems with a rough interface. J. Quant. Spectrosc. Radiat. Transf. 2010, 111, 1025–1040. [Google Scholar] [CrossRef]
- Zhai, P.-W.; Hu, Y.; Winker, D.M.; Franz, B.A.; Werdell, J.; Boss, E. Vector radiative transfer model for coupled atmosphere and ocean systems including inelastic sources in ocean waters. Opt. Express 2017, 25, A223–A239. [Google Scholar] [CrossRef] [PubMed]
- Ota, Y.; Higurashi, A.; Nakajima, T.; Yokota, T. Matrix formulations of radiative transfer including the polarization effect in a coupled atmosphere–ocean system. J. Quant. Spectrosc. Radiat. Transf. 2010, 111, 878–894. [Google Scholar] [CrossRef]
- Zaneveld, J.R.V. A theoretical derivation of the dependence of the remotely sensed reflectance of the ocean on the inherent optical properties. J. Geophys. Res. Oceans 1995, 100, 13135–13142. [Google Scholar] [CrossRef]
- Morel, A.; Gentili, B. Diffuse reflectance of oceanic waters. II Bidirectional aspects. Appl. Opt. 1993, 32, 6864–6879. [Google Scholar] [CrossRef]
- Gordon, H.R.; Brown, O.B.; Evans, R.H.; Brown, J.W.; Smith, R.C.; Baker, K.S.; Clark, D.K. A semianalytic radiance model of ocean color. J. Geophys. Res. Atmos. 1988, 93, 10909–10924. [Google Scholar] [CrossRef]
- Lee, Z.; Carder, K.L.; Du, K. Effects of molecular and particle scatterings on the model parameter for remote-sensing reflectance. Appl. Opt. 2004, 43, 4957–4964. [Google Scholar] [CrossRef]
- Pitarch, J.; Odermatt, D.; Kawka, M.; Wuest, A. Retrieval of vertical particle concentration profiles by optical remote sensing: A model study. Opt. Express 2014, 22 (Suppl. 3), A947–A959. [Google Scholar] [CrossRef]
- Gitelson, A.A.; Dall’Olmo, G.; Moses, W.; Rundquist, D.C.; Barrow, T.; Fisher, T.R.; Gurlin, D.; Holz, J. A simple semi-analytical model for remote estimation of chlorophyll-a in turbid waters: Validation. Remote Sens. Environ. 2008, 112, 3582–3593. [Google Scholar] [CrossRef]
- Werdell, P.J.; Franz, B.A.; Bailey, S.W.; Feldman, G.C.; Boss, E.; Brando, V.E.; Dowell, M.; Hirata, T.; Lavender, S.J.; Lee, Z.; et al. Generalized ocean color inversion model for retrieving marine inherent optical properties. Appl. Opt. 2013, 52, 2019–2037. [Google Scholar] [CrossRef]
- Jiang, G.; Ma, R.; Loiselle, S.A.; Duan, H. Optical approaches to examining the dynamics of dissolved organic carbon in optically complex inland waters. Environ. Res. Lett. 2012, 7, 034014. [Google Scholar] [CrossRef]
- Cao, Z.; Duan, H.; Feng, L.; Ma, R.; Xue, K. Climate- and human-induced changes in suspended particulate matter over Lake Hongze on short and long timescales. Remote Sens. Environ. 2017, 192, 98–113. [Google Scholar] [CrossRef]
- Xue, K.; Zhang, Y.; Duan, H.; Ma, R. Variability of light absorption properties in optically complex inland waters of Lake Chaohu, China. J. Great Lakes Res. 2017, 43, 17–31. [Google Scholar] [CrossRef]
- Lee, Z.; Carder, K.L.; Arnone, R.A. Deriving inherent optical properties from water color: A multiband quasi-analytical algorithm for optically deep waters. Appl. Opt. 2002, 41, 5755–5772. [Google Scholar] [CrossRef]
- Piskozub, J.; Neumann, T.; Woźniak, L. Ocean color remote sensing: Choosing the correct depth weighting function. Opt. Express 2008, 16, 14683–14688. [Google Scholar] [CrossRef]
- Latasa, M.; Cabello, A.M.; Massana, R.; Scharek, R. Distribution of phytoplankton groups within the deep chlorophyll maximum. Limnol. Oceanogr. 2016, 62, 635–638. [Google Scholar] [CrossRef]
- Simon, A.; Shanmugam, P. A new model for the vertical spectral diffuse attenuation coefficient of downwelling irradiance in turbid coastal waters: Validation with in situ measurements. Opt. Express 2013, 21, 30082–30106. [Google Scholar] [CrossRef] [PubMed]
- Simon, A.; Shanmugam, P. Estimation of the spectral diffuse attenuation coefficient of downwelling irradiance in inland and coastal waters from hyperspectral remote sensing data: Validation with experimental data. Int. J. Appl. Earth Obs. Geoinf. 2016, 49, 117–125. [Google Scholar] [CrossRef]
- Wang, M.; Son, S.; Harding, L.W., Jr. Retrieval of diffuse attenuation coefficient in the Chesapeake Bay and turbid ocean regions for satellite ocean color applications. J. Geophys. Res. Oceans 2009, 114. [Google Scholar] [CrossRef]
- Mishra, D.R.; Narumalani, S.; Rundquist, D.; Lawson, M. Characterizing the vertical diffuse attenuation coefficient for downwelling irradiance in coastal waters: Implications for water penetration by high resolution satellite data. ISPRS J. Photogramm. Remote Sens. 2005, 60, 48–64. [Google Scholar] [CrossRef]
- Niroumand-Jadidi, M.; Pahlevan, N.; Vitti, A. Mapping Substrate Types and Compositions in Shallow Streams. Remote Sens. 2019, 11, 262. [Google Scholar] [CrossRef]
- Zheng, X.; Dickey, T.; Chang, G. Variability of the downwelling diffuse attenuation coefficient with consideration of inelastic scattering. Appl. Opt. 2002, 41, 6477–6488. [Google Scholar] [CrossRef] [PubMed]
- Li, L.; Stramski, D.; Reynolds, R.A. Effects of inelastic radiative processes on the determination of water-leaving spectral radiance from extrapolation of underwater near-surface measurements. Appl. Opt. 2016, 55, 7050–7067. [Google Scholar] [CrossRef] [PubMed]














| Acronyms and Abbreviations | |
| AOPs | Apparent optical properties |
| CDOM | Colored dissolved organic matter |
| IOPs | Inherent optical properties |
| OACs | Optically active constituents |
| Symbols | |
| a(λ) | Total absorption coefficient at λ nm (m−1) |
| ag(λ) | Absorption coefficient of CDOM at λ nm (m−1) |
| bb(λ) | Total backscattering coefficient at λ nm (m−1) |
| Chla | Chlorophyll-a concentration (mg/m3) |
| Chla(z) | Vertical profile of chlorophyll-a concentration at water depth z m (mg/m3), described by three parameters: C0, h, and σ |
| Ed(λ, z) | Downwelling plane irradiance at λ nm and water depth z m (W m−2 nm−1) |
| Eu(λ, z) | Upwelling plane irradiance at λ nm and water depth z m (W m−2 nm−1) |
| Fr(z1, z2) | Fraction of rrs(λ,0−) at the layer between z1 m and z2 m |
| G(λ, z) | = rrs(λ, z)/(bb(λ, z)/(a(λ, z) + bb(λ, z))) |
| gGC | Average weighting function derived by Gordon and Clark (1980) [8] |
| gS | Average weighting function derived by Sokoletsky and Yacobi (2011) [9] |
| gx | Average weighting function, x represents the different functions |
| gZ | Average weighting function derived by Zaneveld et al. (2005) [10] |
| IOP’(λ, z) | = bb(λ, z)/(a(λ, z) + bb(λ, z)) |
| Lu(λ, z) | Upwelling radiance at λ nm and water depth z m (W m−2 sr−1 nm−1) |
| Kd | Diffuse attenuation coefficient of downwelling plane irradiance (m−1) |
| KLu | Diffuse attenuation coefficient of upwelling radiance (m−1) |
| Ku | Diffuse attenuation coefficient of upwelling plane irradiance (m−1) |
| rrs(0−) | Remote sensing reflectance just below the water surface (sr−1) |
| rrs(z) | Remote sensing reflectance at water depth z m (sr−1) |
| rrs(zb) | The asymptotic value of rrs(z) at deep water zb m (sr−1) |
| Rrs(λ) | Remote sensing reflectance just above the water surface at λ nm (sr−1) |
| rrs-v(0−) | Model derived rrs(0−)of stratified waters (sr−1) |
| θ | Solar zenith angle (°) |
| Sg | Spectral slope of ag spectrum from 400 to 700 nm (nm−1) |
| SPIM | Suspended particulate inorganic matter (mg/L) |
| Input Parameters | Default Values | Variable Values |
|---|---|---|
| λ (nm) | 400–750, every 5 nm | \ |
| Wind speed (m/s) | 2.25 | \ |
| θ(°) | 30 | 15–75, every 15° |
| SPIM (mg/L) | 30 | 0–60, every 5 mg/L |
| ag(440) (m−1) | 0.85 | 0–4.0, every 0.5 m−1 |
| Sg (nm−1) | 0.019 | \ |
| C0 | 0–40, every 5 | \ |
| h | 1–76, every 5 | \ |
| σ | 0.2–1.4, every 0.2 | \ |
| θ (°) | Parameters | 490 nm | 550 nm | 675 nm |
|---|---|---|---|---|
| SC1 | 0.0978 | 0.0617 | 0.0758 | |
| 15 | SC2 | 0.0460 | 0.1041 | 0.0836 |
| SC3 | −0.0068 | −0.0123 | −0.0067 | |
| SC1 | 0.0998 | 0.0644 | 0.0791 | |
| 30 | SC2 | 0.0455 | 0.1023 | 0.0813 |
| SC3 | −0.0067 | −0.0120 | −0.0065 | |
| SC1 | 0.1034 | 0.0695 | 0.0848 | |
| 45 | SC2 | 0.0443 | 0.0983 | 0.0770 |
| SC3 | −0.0064 | −0.0114 | −0.0060 | |
| SC1 | 0.1050 | 0.0720 | 0.0879 | |
| 60 | SC2 | 0.0436 | 0.0961 | 0.0744 |
| SC3 | −0.0062 | −0.0110 | −0.0058 | |
| SC1 | 0.1063 | 0.0746 | 0.0907 | |
| 75 | SC2 | 0.0427 | 0.0930 | 0.0714 |
| SC3 | −0.0059 | −0.0104 | −0.0054 |
© 2019 by the authors. Licensee MDPI, Basel, Switzerland. This article is an open access article distributed under the terms and conditions of the Creative Commons Attribution (CC BY) license (http://creativecommons.org/licenses/by/4.0/).
Share and Cite
Xue, K.; Ma, R. Evaluation of Weighting Average Functions as a Simplification of the Radiative Transfer Simulation in Vertically Inhomogeneous Eutrophic Waters. Appl. Sci. 2019, 9, 1635. https://doi.org/10.3390/app9081635
Xue K, Ma R. Evaluation of Weighting Average Functions as a Simplification of the Radiative Transfer Simulation in Vertically Inhomogeneous Eutrophic Waters. Applied Sciences. 2019; 9(8):1635. https://doi.org/10.3390/app9081635
Chicago/Turabian StyleXue, Kun, and Ronghua Ma. 2019. "Evaluation of Weighting Average Functions as a Simplification of the Radiative Transfer Simulation in Vertically Inhomogeneous Eutrophic Waters" Applied Sciences 9, no. 8: 1635. https://doi.org/10.3390/app9081635
APA StyleXue, K., & Ma, R. (2019). Evaluation of Weighting Average Functions as a Simplification of the Radiative Transfer Simulation in Vertically Inhomogeneous Eutrophic Waters. Applied Sciences, 9(8), 1635. https://doi.org/10.3390/app9081635
