Indole Degradation in a Model System and in Poultry Manure by Acinetobacter spp.
Abstract
1. Introduction
2. Materials and Methods
2.1. Source of Microorganisms
2.2. Medium Conditions and Bacteria Growth
2.3. Indole Degradation by NTA1-2A and TAT1-6A
2.4. Factors Affecting Indole Degradation
2.5. Enzyme Activity Test for Indole Metabolism
2.6. Poultry Manure Fermentation Experiment
2.7. Sample Preparation for HPLC Analysis
2.8. Statistical Analysis
3. Results
3.1. Indole Removal Efficiency
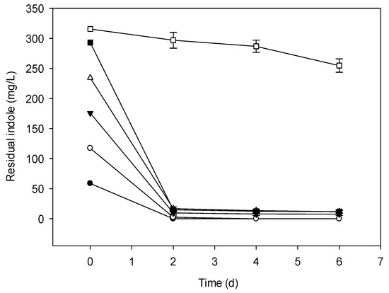
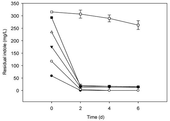
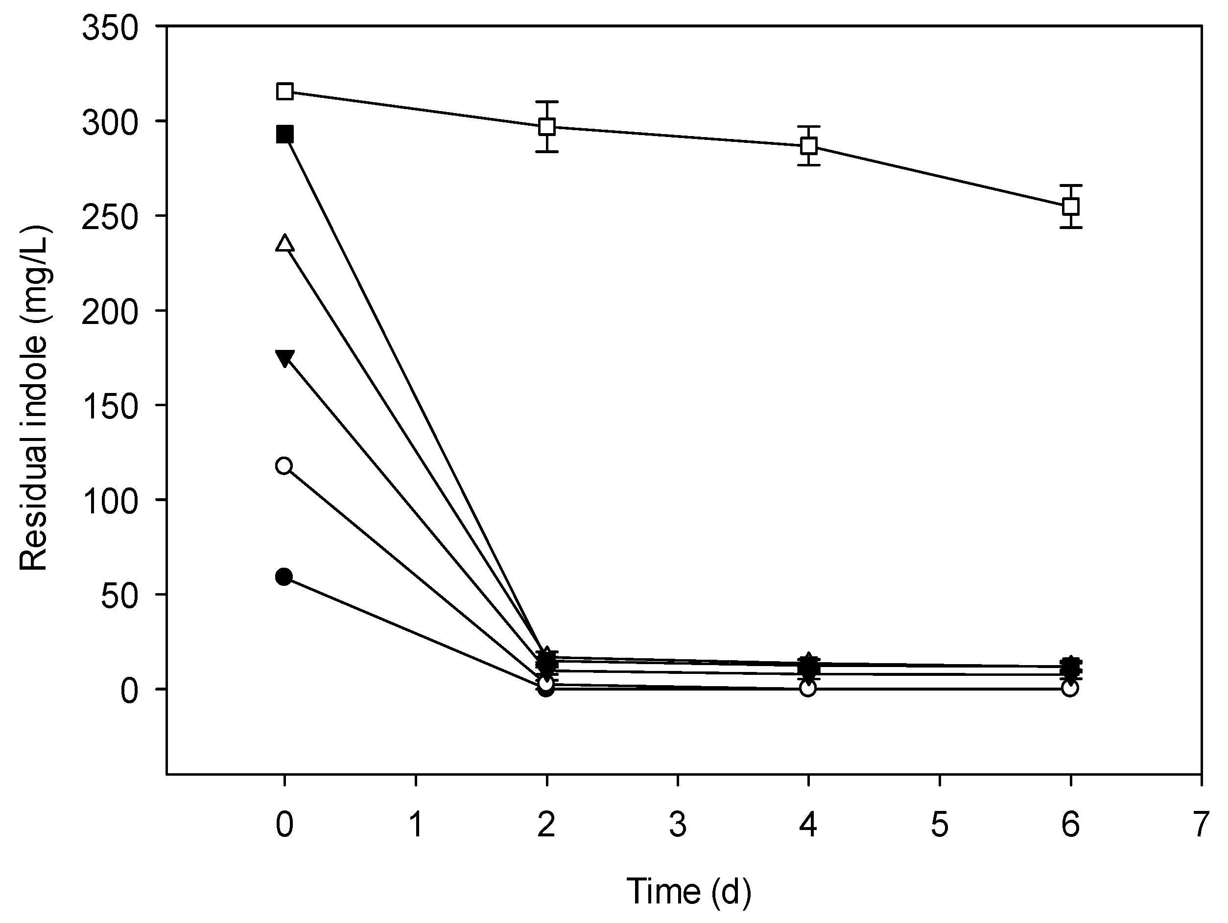
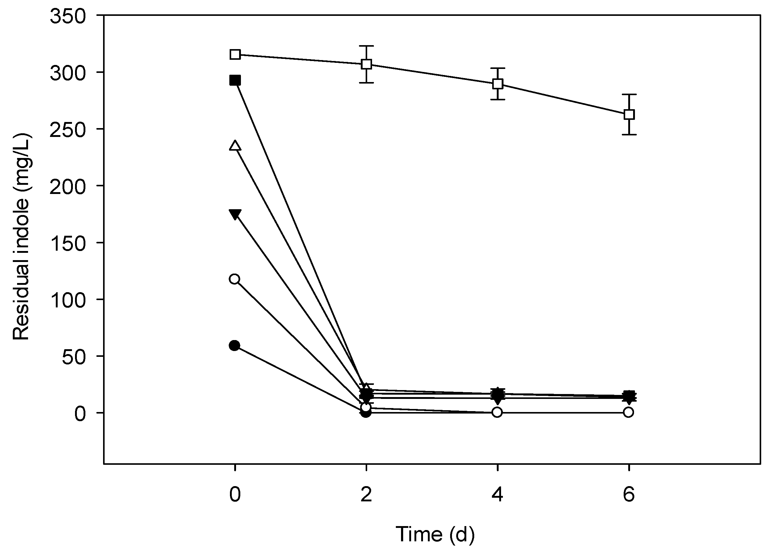
3.2. Indole Removal at Different Initial Concentrations
3.3. Factors Affecting Indole Degradation
3.3.1. Effect of Temperature and pH
3.3.2. Effect of Indole on Bacterial Growth
3.4. Enzymatic Activity of Indole Metabolism
3.5. Indole Removal from Poultry Manure
4. Discussion
5. Conclusions
Supplementary Files
Supplementary File 1Author Contributions
Funding
Conflicts of Interest
References
- Bak, F.; Widdel, F. Anaerobic degradation of indolic compounds by sulfate-reducing enrichment cultures, and description of Desulfobacterium indolicum gen. nov. sp. nov. Arch. Microbiol. 1986, 146, 170–176. [Google Scholar] [CrossRef]
- Kamatht, A.V.; Vaidyanathan, C.S. New Pathway for the Biodegradation of Indole in Aspergillus niger. Appl. Environ. Microbiol. 1990, 56, 275–280. [Google Scholar]
- Kohda, C.; Ando, T.; Nakai, Y. Isolation and characterization of anaerobic indole-and skatole-degrading bacteria from composting animal wastes. J. Gen. Appl. Microbiol. 1997, 43, 249–255. [Google Scholar] [CrossRef] [PubMed]
- Nakai, Y.; Niino, T.; Ando, T.; Kohda, C. Microorganisms aerobically degrading skatole or indole in composting processes. Anim. Sci. J. 1999, 70, 32–37. [Google Scholar] [CrossRef]
- Loughrin, J.H.; Lovanh, N.; Mahmood, R. Equilibrium sampling used to monitor malodors in a Swine waste lagoon. J. Environ. Qual. 2008, 37, 1–6. [Google Scholar] [CrossRef] [PubMed]
- Ochiai, M.; Wakabayashi, K.; Sugimura, T.; Nagao, M. Mutagenicities of indole and 30 derivatives after nitrite treatment. Mutat. Res. 1986, 172, 189–197. [Google Scholar] [CrossRef]
- Novotny, M.; Strand, J.W.; Smith, S.L.; Wiesler, D.; Schwende, F.J. Compositional studies of coal tar by capillary gas chromatographymass spectrometry. Fuel 1981, 60, 213–220. [Google Scholar] [CrossRef]
- Paudler, W.W.; Cheplen, M. Nitrogen bases in solvent-refined coal. Fuel 1979, 58, 775–778. [Google Scholar] [CrossRef]
- Qu, Y.; Shen, E.; Ma, Q.; Zhang, Z.; Liu, Z.; Shen, W.; Wang, J.; Li, D.; Li, H.; Zhou, J. Biodegradation of indole by a newly isolated Cupriavidus sp. SHE. J. Environ. Sci. 2015, 34, 126–132. [Google Scholar] [CrossRef]
- De la Torre, A.; Jimenez, J.A.; Carballo, M.; Fernandez, C. Ecotoxicological evaluation of pig slurry. Chemosphere 2000, 41, 1629–1635. [Google Scholar] [CrossRef]
- Loughrin, J.H.; Szogi, A.A.; Vanotti, M.B. Reduction of malodorous compounds from a treated swine anaerobic lagoon. J. Environ. Qual. 2006, 35, 194–199. [Google Scholar] [CrossRef]
- Chen, L.; Hoff, S.J.; Koziel, J.A.; Cai, L.; Zelle, B.; Sun, G. Performance evaluation of a wood-chip based biofilter using solid-phase microextraction and gas chromatography–mass spectroscopy–olfactometry. Bioresour. Technol. 2008, 99, 7767–7780. [Google Scholar] [CrossRef] [PubMed]
- Gu, J.; Fan, Y.; Shi, H. Relationship between structures of substituted indolic compounds and their degradation by marine anaerobic microorganisms. Mar. Pollut. Bull. 2002, 45, 379–384. [Google Scholar] [CrossRef]
- Kamath, A.V.; Vaidyanathan, C. Biodegradation of indoles. J. Indian Inst. Sci. 2013, 71, 1–24. [Google Scholar]
- Garbe, T.R.; Kobayashi, M.; Yukawa, H. Indole-inducible proteins in bacteria suggest membrane and oxidant toxicity. Arch. Microbiol. 2000, 173, 78–82. [Google Scholar] [CrossRef]
- Fetzner, S. Bacterial degradation of pyridine, indole, quinoline, and their derivatives under different redox conditions. Appl. Microbiol. Biotechnol. 1998, 49, 237–250. [Google Scholar] [CrossRef]
- Berry, D.F.; Madsen, E.L.; Bollag, J. Conversion of Indole to Oxindole under Methanogenic Conditions. Appl. Environ. Microbiol. 1987, 53, 180–182. [Google Scholar] [PubMed]
- Arora, P.K.; Bae, H. Identification of new metabolites of bacterial transformation of indole by gas chromatography-mass spectrometry and high performance liquid chromatography. Int. J. Anal. Chem. 2014, 2014. [Google Scholar] [CrossRef] [PubMed]
- Sakamoto, Y.; Uchida, M.; Ichihara, K. The bacterial decomposition of indole (I) studies on its metabolic pathway by successive adaptation. Med. J. Osaka Univ. 1953, 3, 477–486. [Google Scholar]
- Yin, B.; Gu, J.; Wan, N. Degradation of indole by enrichment culture and Pseudomonas aeruginosa Gs isolated from mangrove sediment. Int. Biodeterior. Biodegrad. 2005, 56, 243–248. [Google Scholar] [CrossRef]
- Arora, P.K.; Dhar, K.; García, R.A.V.; Sharma, A. Biotransformation of Indole to 3 Methylindole by Lysinibacillus xylanilyticus Strain MA. J. Chem. 2015. [Google Scholar] [CrossRef]
- Wang, Y.T.; Suidan, M.T.; Pfeffer, J.T. Anaerobic biodegradation of indole to methane. Appl. Environ. Microbiol. 1984, 48, 1058–1060. [Google Scholar]
- Berry, D.F.; Francis, A.J.; Bollagi, J.M. Microbial Metabolism of Homocyclic and Heterocyclic Aromatic Compounds under Anaerobic Conditions. Microb. Rev. 1987, 51, 43–59. [Google Scholar]
- Madsen, E.L.; Francis, A.J.; Bollag, J.M. Environmental factors affecting indole metabolism under anaerobic conditions. Appl. Eenviron. Mmicrobiol. 1988, 54, 74–78. [Google Scholar]
- Madsen, E.L.; Bollag, J.M. Pathway of indole metabolism by a denitrifying microbial community. Arch. Microbiol. 1988, 151, 71–76. [Google Scholar] [CrossRef]
- Gu, J.D.; Berry, D.F. Degradation of Substituted Indoles by an Indole-Degrading Methanogenic Consortium. Appl. Environ. Microbiol. 1991, 57, 2622–2627. [Google Scholar]
- Gu, J.D.; Berry, D.F. Metabolism of 3-methylindole by a methanogenic consortium. Appl. Environ. Microbiol. 1992, 58, 2667–2669. [Google Scholar] [PubMed]
- Doukyu, N.; Anon, R. Biodegradation of indole at high concentration by persolvent fermentation with Pseudomonas sp. ST-200. Extremophiles 1997, 1, 100–105. [Google Scholar] [CrossRef] [PubMed]
- Fukuoka, K.; Tanaka, Y.; Ozeki, Y.; Kanaly, R.A. Biotransformation of indole by Cupriavidus sp. strain KK10 proceeds through N-heterocyclic- and carbocyclic-aromatic ring cleavage and production of indigoids. Int. Biodeterior. Biodegrad. 2015, 97, 13–24. [Google Scholar] [CrossRef]
- Allen, C.C.R.; Boyd, C.; Larkin, M.J.; Reid, K.A.; Sharma, N.D.; Wilson, K. Metabolism of Naphthalene, 1-Naphthol, Indene, and Indole by Rhodococcus sp. Strain NCIMB 12038. Appl. Environ. Microbiol. 1997, 63, 151–155. [Google Scholar]
- Han, X.; Wang, W.; Xiao, X. Microbial biosynthesis and biotransformation of indigo and indigo-like pigments. Chin. J. Biotechnol. 2008, 24, 921–926. [Google Scholar] [CrossRef]
- Wang, J.; Zhang, X.; Fan, J.; Zhang, Z.; Ma, Q.; Peng, X. Indigoids biosynthesis from indole by two phenol-degrading strains, Pseudomonas sp. PI1 and Acinetobacter sp. PI2. Appl. Biochem. Biotechnol. 2015, 176, 1263–1276. [Google Scholar] [CrossRef]
- Qu, Y.; Xu, B.; Zhang, X.; Ma, Q.; Zhou, H.; Kong, C.; Zhang, Z.; Zhou, J. Biotransformation of indole by whole cells of recombinant biphenyl dioxygenase and biphenyl-2, 3-dihydrodiol-2, 3-dehydrogenase. Biochem. Eng. J. 2013, 72, 54–60. [Google Scholar] [CrossRef]
- Efeovbokhan, V.E.; Hymore, F.K.; Ayoola, A.A.; Adeeyo, O.A. Comparison of aerobic and anaerobic bioremediation of polluted water samples. Am. Int. J. Contemp. Res. 2014, 4, 120–126. [Google Scholar]
- Maeng, J.H.O.; Sakai, Y.; Ttani, Y.; Kato, N. Isolation and Characterization of a Novel Oxygenase that Catalyzes the first step of n-Alkane oxidation in Acinetobacter sp. Strain M-1. J. Bacteriol. 1996, 178, 3695–3700. [Google Scholar] [CrossRef] [PubMed]
- Throne-Holst, M.; Wentzel, A.; Ellingsen, T.E.; Kotlar, H.K.; Zotchev, S.B. Identification of Novel Genes Involved in Long-Chain n-Alkane Degradation by Acinetobacter sp. Strain DSM 17874. Appl. Eenviron. Microbiol. 2007, 73, 3327–3332. [Google Scholar] [CrossRef] [PubMed]
- Kim, M.H.; Hao, O.J. Cometabolic degradation of chlorophenols by Acinetobacter species. Water Resour. 1999, 33, 562–574. [Google Scholar] [CrossRef]
- Yu, X.Q.; Elmerich, A.B.C.; Lin, M. Diversity of degradation pathways of some aromatic compounds by phenotype and genotype testing in Acinetobacter strains. World J. Microbiol. Biotechnol. 2004, 20, 623–627. [Google Scholar] [CrossRef]
- Liu, Y.J.; Kusckh, P.; Zhang, A.N.; Wang, X.C. Characterization of phenol degradation by Acinetobacter sp. XA05 and Sphingomonas sp. FG03. Chem. Ecol. 2009, 25, 107–117. [Google Scholar] [CrossRef]
- Shamaan, A. Isolation, Identification and Characterization of Elevated Phenol Degrading Acinetobacter sp. Strain AQ5NOL. Aust. J. Basic Appl. Sci. 2011, 5, 1035–1045. [Google Scholar]
- Sadauskas, M.; Vaitekunas, J.; Gasparaviciute, R.; Meškys, R. Indole biodegradation in Acinetobacter sp. strain O153, genetic and biochemical characterization. Appl. Environ. Microbiol. 2017, 83. [Google Scholar] [CrossRef] [PubMed]
- Ma, Q.; Liu, Z.; Yang, B.; Dai, C.; Qu, Y. Characterization and functional gene analysis of a newly isolated indole-degrading bacterium Burkholderia sp. IDO3. J. Hazard. Mater. 2019, 367, 144–151. [Google Scholar] [CrossRef] [PubMed]
- Zhang, X.; Jing, J.; Zhang, L.; Song, Z.; Zhou, H.; Wu, M.; Qu, Y.; Liu, L. Biodegradation characteristics and genomic functional analysis of indole-degrading bacterial strain Acinetobacter sp. JW. J. Chem. Technol. Biotechnol. 2018. [Google Scholar] [CrossRef]
- Yang, Z.; Zhou, J.; Xu, Y.; Zhang, Y.; Luo, H.; Chang, K.; Wang, Y. Analysis of the metabolites of indole degraded by an isolated Acinetobacter pittii L1. BioMed Res. Int. 2017. [Google Scholar] [CrossRef] [PubMed]
- Li, Y.; Gu, G.; Zhao, J.; Yu, H. Anoxic degradation of nitrogenous heterocyclic compounds by acclimated activated sludge. Process Biochem. 2001, 37, 81–86. [Google Scholar] [CrossRef]
- Katapodis, P.; Moukouli, M.; Christakopoulos, P. Biodegradation of indole at high concentration by persolvent fermentation with the thermophilic fungus Sporotrichum thermophile. Int. Biodeterior. Biodegrad. 2007, 60, 267–272. [Google Scholar] [CrossRef]
- Tesso, T.A.; Zheng, A.; Cai, H.; Liu, G. Isolation and characterization of two Acinetobacter species able to degrade 3-methylindole. PLoS ONE 2019, 14, e0211275. [Google Scholar] [CrossRef] [PubMed]
- Yin, B.; Gu, J. Aerobic Degradation of 3-Methylindole by Pseudomonas aeruginosa Gs Isolated from Mangrove Sediment. Hum. Ecol. Risk Assess. 2006, 12, 248–258. [Google Scholar] [CrossRef]
- Li, P.; Tong, L.; Liu, K.; Wang, Y.; Wang, Y. Indole degrading of ammonia oxidizing bacteria isolated from swine wastewater treatment system. Water Sci. Technol. 2009, 59, 2405–2410. [Google Scholar] [CrossRef]
- Shanker, R.A.B.; Bollag, J.M. Transformation of Indole by Methanogenic and Sulfate-Reducing Microorganisms Isolated from Digested Sludge. Microb. Ecol. 1990, 20, 171–183. [Google Scholar] [CrossRef]
- Ma, Q.; Qu, Y.; Zhang, X.; Liu, Z.; Li, H.; Zhang, Z.; Wang, J.; Shen, W.; Zhou, J. Systematic investigation and microbial community profile of indole degradation processes in two aerobic activated sludge systems. Sci. Rep. 2015, 5, 17674. [Google Scholar] [CrossRef]
- Lin, G.H.; Chen, H.P.; Shu, H.Y. Detoxification of indole by an indole-induced flavoprotein oxygenase from Acinetobacter baumannii. PLoS ONE 2015, 10, e0138798. [Google Scholar] [CrossRef] [PubMed]
- Lee, J.; Attila, C.; Cirillo, S.L.; Cirillo, J.D.; Wood, T.K. Indole and 7-hydroxyindole diminish Pseudomonas aeruginosa virulence. Microb. Biotechnol. 2009, 2, 75–90. [Google Scholar] [CrossRef] [PubMed]
- Lee, J.H.; Wood, T.K.; Lee, J. Roles of indole as an interspecies and interkingdom signaling molecule. Trends Microbiol. 2015, 23, 707–718. [Google Scholar] [CrossRef] [PubMed]
- Kim, D.; Rahman, A.; Sitepu, I.R.; Hashidoko, Y. Accelerated degradation of exogenous indole by Burkholderia unamae strain CK43B exposed to pyrogallol-type polyphenols. Biosci. Biotechnol. Biochem. 2013, 77, 1722–1727. [Google Scholar] [CrossRef] [PubMed]
- Arora, P.K.; Sharma, A.; Bae, H. Microbial Degradation of Indole and Its Derivatives. J. Chem. 2015, 2015. [Google Scholar] [CrossRef]
- Hu, M.; Zhang, C.; Mu, Y. Indole Affects Biofilm Formation in Bacteria. Indian J. Microbiol. 2011, 50, 362–368. [Google Scholar] [CrossRef]
- Mueller, R.S.; Beyhan, S.; Saini, S.G.; Yildiz, F.H.; Bartlett, D.H. Indole Acts as an Extracellular Cue Regulating Gene Expression. J. Bacteriol. 2009, 191, 3504–3516. [Google Scholar] [CrossRef]
- Yildiz, F.H.; Visick, K.L. Vibrio biofilms: So much the same yet so different. Trends Microbiol. 2009, 17, 109–118. [Google Scholar] [CrossRef]
- Yang, C.; Yu, Y.; Sun, W.; Xia, C. Indole derivatives inhibited the formation of bacterial biofilm and modulated Ca 2 + efflux in diatom. Mar. Pollut. Bull. 2014, 88, 62–69. [Google Scholar] [CrossRef]
- Ma, Q.; Zhang, X.; Qu, Y. Biodegradation and biotransformation of indole: Advances and perspectives. Front. Microbiol. 2018, 9. [Google Scholar] [CrossRef]
- Chimerel, C.; Field, C.M.; Piñero-Fernandez, S.; Keyser, U.F.; Summers, D.K. Indole prevents Escherichia coli cell division by modulating membrane potential. Biochim. Biophys. Acta 2013, 1818, 1590–1594. [Google Scholar] [CrossRef] [PubMed]
- Mermod, N.; Harayama, S.; Timmis, K.N. New route to bacterial production of indigo. Bio/Technology 1986, 4, 321. [Google Scholar] [CrossRef]
- Eaton, R.W.; Chapman, P.J. Formation of indigo and related compounds from indolecarboxylic acids by aromatic acid-degrading bacteria: Chromogenic reactions for cloning genes encoding dioxygenases that acts on aromatic acids. J. Bacteriol. 1995, 177, 6983–6988. [Google Scholar] [CrossRef]
- Müller, C.E.; Johansson, M.; Salomonsson, A.C.; Albihn, A. Effect of anaerobic digestion residue vs livestock manure and inorganic fertilizer on the hygienic quality of silage and haylage in bales. Grass Forage Sci. 2013, 69, 74–89. [Google Scholar] [CrossRef]
- Elsaidy, N.; Abouelenien, F.; Kirrella, G.A.K. Impact of using raw or fermented manure as fish feed on microbial quality of water and fish. Egypt. J. Aquat. Res. 2015. [Google Scholar] [CrossRef]
- Heuer, H.; Schmitt, H.; Smalla, K. Antibiotic resistance gene spread due to manure application on agricultural fields. Curr. Opin. Microbiol. 2011, 14, 236–243. [Google Scholar] [CrossRef] [PubMed]
- Rui, L.; Reardon, K.F.; Wood, T.K. Protein engineering of toluene ortho-monooxygenase of Burkholderia cepacia G4 for regiospecific hydroxylation of indole to form various indigoid compounds. Appl. Microbiol. Biotechnol. 2005, 66, 422–429. [Google Scholar] [CrossRef]
- Wikoff, W.R.; Anfora, A.T.; Liu, J.; Schultz, P.G.; Lesley, S.A.; Peters, E.C.; Siuzdak, G. Metabolomics analysis reveals large effects of gut microflora on mammalian blood metabolites. Proc. Natl. Acad. Sci. USA 2009, 106, 3698–3703. [Google Scholar] [CrossRef]
- Carr, B.A.; Ghazi, S.R.; Dannan, A.; Yost, G.S. Characterization of Pulmonary CYP4B2, Specific Catalyst of Methyl Oxidation of 3-Methylindole. Mol. Pharm. 2003, 63, 1137–1147. [Google Scholar] [CrossRef]








| Indole Removal Efficiency (%) | |||||
|---|---|---|---|---|---|
| C (mg/L) | Incubation Time (d) | NTA1-2A | TAT1-6A | Mix Strains | p-Value |
| 58.58 | 2 | 77.72 ± 0.24 a | 100 ± 0.00 b | 100 ± 0.00 b | 0.000 |
| 4 | 77.87 ± 0.04 a | 100 ± 0.00 b | 100 ± 0.00 b | 0.000 | |
| 6 | 77.86 ± 0.03 a | 100 ± 0.00 b | 100 ± 0.00 b | 0.000 | |
| 117.15 | 2 | 88.64 ± 0.05 b | 96.32 ± 6.37 a | 98.04 ± 3.40 a | 0.069 |
| 4 | 88.60 ± 0.04 a | 100 ± 0.00 b | 100 ± 0.00 b | 0.000 | |
| 6 | 88.61 ± 0.14 a | 100 ± 0.00 b | 100 ± 0.00 b | 0.000 | |
| 175.73 | 2 | 91.89 ± 0.10 b | 92.59 ± 0.04 b | 94.67 ± 2.08 a | 0.054 |
| 4 | 91.78 ± 0.10 b | 92.61 ± 0.0 b | 95.57 ± 2.45 a | 0.038 | |
| 6 | 91.42 ± 0.26 a | 92.61 ± 0.0 a | 95.67 ± 2.31 b | 0.012 | |
| 234.30 | 2 | 70.37 ± 1.87 b | 91.32 ± 3.69 a | 93.00 ± 2.00 a | 0.000 |
| 4 | 70.37 ± 1.86 b | 91.32 ± 3.68 a | 93.00 ± 2.00 a | 0.005 | |
| 6 | 76.88 ± 3.22 b | 94.16 ± 2.44 a | 95.00 ± 1.73 a | 0.000 | |
| 292.88 | 2 | 44.33 ± 9.19 b | 94.23 ± 1.31 a | 94.67 ± 1.15 a | 0.002 |
| 4 | 59.00 ± 2.78 b | 94.31 ± 2.64 a | 95.67 ± 1.53 a | 0.000 | |
| 6 | 66.36 ± 25.1 a | 94.87 ± 1.06 b | 96.00 ± 1.00 b | 0.038 | |
| 351.45 | 2 | 12.71 ± 7.99 | 13.33 ± 10.25 | 18.00 ± 6.93 | 0.538 |
| 4 | 17.60 ± 4.91 | 18.68 ± 3.91 | 22.00 ± 3.22 | 0.269 | |
| 6 | 26.43 ± 3.95 | 25.29 ± 5.03 | 19.00 ± 3.52 | 0.482 | |
| Indole Removal Efficiency from Chicken Manure (%) | |||||
|---|---|---|---|---|---|
| Time (d) | NTA1-2A | TAT1-6A | Mix of Strains | Control | p-Value |
| 2 | 58.73 ± 5.81 ab | 67.65 ± 4.55 a | 69.55 ± 1.57 a | 43.55 ± 6.84 b | 0.025 |
| 4 | 72.38 ± 3.66 b | 78.35 ± 2.87 ab | 85.64 ± 1.59 a | 50.91 ± 5.44 c | 0.001 |
| 6 | 74.49 ± 2.63 a | 80.00 ± 2.06 a | 78.62 ± 3.10 a | 55.03 ± 4.50 b | 0.002 |
| 8 | 78.67 ± 1.70 a | 83.28 ± 1.33 a | 83.70 ± 1.02 a | 54.57 ± 2.81 b | 0.000 |
© 2019 by the authors. Licensee MDPI, Basel, Switzerland. This article is an open access article distributed under the terms and conditions of the Creative Commons Attribution (CC BY) license (http://creativecommons.org/licenses/by/4.0/).
Share and Cite
Tesso, T.A.; Liu, G. Indole Degradation in a Model System and in Poultry Manure by Acinetobacter spp. Appl. Sci. 2019, 9, 1622. https://doi.org/10.3390/app9081622
Tesso TA, Liu G. Indole Degradation in a Model System and in Poultry Manure by Acinetobacter spp. Applied Sciences. 2019; 9(8):1622. https://doi.org/10.3390/app9081622
Chicago/Turabian StyleTesso, Tujuba Ayele, and Guohua Liu. 2019. "Indole Degradation in a Model System and in Poultry Manure by Acinetobacter spp." Applied Sciences 9, no. 8: 1622. https://doi.org/10.3390/app9081622
APA StyleTesso, T. A., & Liu, G. (2019). Indole Degradation in a Model System and in Poultry Manure by Acinetobacter spp. Applied Sciences, 9(8), 1622. https://doi.org/10.3390/app9081622

