Abstract
Precise prediction of coal thickness is of the utmost importance in realizing intelligent and unmanned mining. As the channel wave is characterized by an easily recognizable waveform, a long propagation distance, and strong energy, it is widely used for coal thickness inversion. However, most traditional inversion methods are local in nature, and the inversion result is probably not optimal in the global scope. This paper introduces the GA-SIRT hybrid approach, which combines Genetic Algorithms (GA) and Simultaneous Iterative Reconstructive Techniques (SIRT) in order to deal with the above problem and to improve the accuracy of coal thickness inversion. The proposed model takes full advantage of the strong global search capability of GA and of the fast local convergence rate of the SIRT. Moreover, it inhibits the poor local search ability and the local optimal value effect of the GA and the SIRT respectively. The application of the GA-SIRT in the Guoerzhuang coal mine has significantly enhanced its accuracy, stability, and overall computational efficiency. Hence, the introduced novel hybrid model can precisely resolve and identify the coal thickness according to the channel wave. It can also be extended to other geophysical tomographic inversion problems towards the reduction of potential local optimal solutions.
1. Introduction
China is a major energy producer and consumer, mainly relying on coal. Its coal mines employ intelligent unmanned operational approaches, towards a safer and more efficient production environment [1]. Although coal resources are abundant in China, the mining conditions are complex, especially with the increase of mining depth [2]. Hence, precise prediction of coal thickness and of hidden geological anomalies in the working face is fundamental to realization of intelligent and unmanned mining. This is also directly related to the transformation of the whole process, and to the safety of underground workers [3].
The precise identification of coal thickness has long been a subject of research for coal enterprises and for related scholars. Various drilling and geophysical methods have been used [4], but each has its own characteristics and application limitations. The drilling method (as the most direct method for identifying coal thickness) is limited by cost, offering a limited amount of data [5]. Thus, there are blind zones, causing potential safety threats. The radio wave tomography technique has the advantages of low cost and high efficiency. However, the coal thickness can only be judged qualitatively rather than quantitatively, and the detection of coal thickness is poor, with large seam fluctuations [6]. Three-dimensional seismic exploration is a method of detecting coal thickness on a large scale, but the detection accuracy is low, due to the large detection distance and the fact that it is easily affected by overlying strata. Moreover, the accuracy is further affected -by the increase of the future mining depth [7,8]. As a guided wave propagating within the coal seam, the channel wave was first activated and recorded by Evison in 1955 [9]. Due to its long propagation distance, its strong energy, the easy identification of waveform, and the high-resolution imaging effect, the channel wave is widely used in the tomographic inversion of coal thickness [10,11,12,13,14].
There are many tomographic inversion algorithms based on the channel wave’s travel time, including Back Projection Technique (BPT), Algebraic Reconstruction Technique (ART), Simultaneous Iterative Reconstructive Technique (SIRT), and Least Square QR-factorization (LSQR) (where Q is an orthogonal matrix and R is a triangular one) [15,16,17]. Among them, the SIRT algorithm is the most widely used in seismic tomography inversion, because it is more suitable for sparse, irregular, and low signal-to-noise ratio (SNR) measured data, and thus it is easy to add prior information [18,19,20]. Most of the above traditional inversion methods mainly rely on the linearized form of the problem. An appropriate initial model is used to minimize the objective function by repeatedly moving to an improving neighboring set of solutions until the allowable conditions are met [21]. The result of the tomographic inversion reconstruction strongly depends on the initial model. However, as the coal seam distribution medium is heterogeneous, channel wave tomography is a complex, nonlinear inversion process involving a large number of unknown parameters. Therefore, due to the fact that in complex media the objective function has many local minima, it is prone to local optimal solutions if the initial model is not selected properly. This can lead to an adverse impact on the accuracy and stability of coal thickness inversion results. In many cases, searching for a global minimum of the objective function is a key technology in coal thickness inversion.
Genetic Algorithms (GA) constitute a stochastic global search and optimization method which imitates the evolution mechanism of organisms in nature. GAs have the characteristics of global optimization, strong adaptability, and strong robustness [22]. They have been widely used in function optimization, nonlinear parameter estimation, pattern recognition, image processing, and other fields [23,24,25,26,27] since they were proposed by John Holland in 1975 [28]. GAs have also been employed for the solution of seismological and other geophysical and environmental problems in the present day [29]. A population can be randomly generated as the initial model, under prior constraints defined by the GA with a bigger search space. This is compared with inversion methods, which are based on local linearization wherein only a single individual is used as the initial model. Besides, a GA offers a diversity of solutions in searching spatially, through selection, crossover, and mutation operations. Therefore, the probability of local optimal solutions is greatly reduced. This is why they are increasingly used for geophysical problems. However, the large dimensionality involved in most geophysical optimization problems can reduce the efficiency of the GA, especially when a large computational cost is required to obtain a small accuracy improvement in the later stages of evolution. In this case, the GA tracks the global minimum, but only reaches a point around the optimal value, and has a poor ability in local search.
This research introduces a new hybrid approach, GA-SIRT, which combines the best features of GAs’ strong global search capability and the SIRT’s faster local convergence rate, aiming to obtain the objective function’s global optimal solution as quickly and accurately as possible. The GA-SIRT has been employed to obtain a precise coal thickness distribution in the Guoerzhuang coal mine.
2. Description of the Method
The main goal of the hybrid algorithm is to invert a slowness field according to the channel wave’s travel time picked up from seismic surveys. Furthermore, the distribution of coal thickness could be obtained according to the relation between slowness and disclosed coal thickness.
2.1. Parametric Model
First, the detection region is discretized into grids, and the channel wave’s propagation path can be approximated by a straight line, considering the channel wave’s high propagation velocity and the working face’s relatively small size. In the process of tomography, the ith ray’s travel time ti can be expressed as:
where aij is the intercept of the ith ray in the jth grid, and sj is the slowness value of the jth grid. Assuming that the total number of rays is M and the total number of grids is N, the travel time equation of all ray paths can be expressed as follows:
It can also be expressed as:
where T is the M dimensional time vector acquired from the seismic survey; A is the (M*N) matrix operator which is the intercept of each ray in all meshes; and S is the N-dimensional slowness vector, which is the goal of tomographic inversion.
T = A·S
In this paper, we need to obtain the value of S when the objective function (f) reaches the global minimum, and f is defined as the root mean square error (RMSE) between the computed and the picked time:
2.2. The Hybrid Algorithm
In this study, the GA-SIRT was adopted to minimize the objective function using a two-step procedure. The specific process is shown in Figure 1. In the first step, the GA performs global inversion in order to produce an individual that can be as close as possible to the global minimum. In the second step, the best individual produced from the first step is used as the initial model of the SIRT, with strong local search ability for further repeated iterations. Finally, the slowness distribution S is obtained when the termination condition is met. In this way, the strong advantages of the two algorithms are fully utilized to improve the comprehensive performance of the tomographic inversion. The following Figure 1 is a logical flow diagram of the proposed algorithm.
Figure 1.
Flow chart of the hybrid algorithm.
Step 1. The Genetic Algorithm
(1) Initialize the involved parameters.
a) Set Iter = 0, where Iter is the current number of generations.
b) Set NIND = 50 as the size of the population.
c) Set MAXGEN = 1000 as the maximum number of generations.
d) Set px = 0.8 as the crossover probability and pm = 0.005 as the mutation probability.
e) Set GGAP = 0.95 as the generation gap.
The initial population is generated through binary coding after the parameters are defined, and the evolutionary range of the population can be limited by prior conditions.
(2) Calculate the fitness value corresponding to the value of the objective function for each individual of the population.
(3) Genetic Operators
a) Selection operation. The selection operation is used to determine the individuals to be crossed and mutated, and the number of offspring that will be produced by the selected individuals. The parent generations are chosen with the roulette selection method according to the generation gap GGAP. The individuals corresponding to the higher fitness value (slowness models with the smaller error) are retained with a high probability, whereas the individuals corresponding to the lower fitness value (slowness models with the higher error) are retained with a low probability.
b) Crossover operation. A new generation of individuals is produced by crossover operation (the interchanging and recombination of strings), according to a certain probability Px among the population of the remained individuals. The new individuals inherit the characteristics of their parents and realize the crossover of genetic information.
c) Mutation operation. The mutation experienced by the offspring after crossing is actually the change of offspring’s genes, produced by small probability perturbation. Firstly, an individual is selected randomly in the population, and the value of a string is randomly changed for the selected individual, with a certain probability Pm. As in the biological world, the value of Pm is usually very small.
(4) Calculate the fitness value, and record the best individuals in the Iter generation. Iter = Iter + 1.
(5) If Iter = MAXGEN, the process of genetic evolution will stop, and the result of slowness distribution S0 will be acquired. Otherwise, go to 3.
Step 2. The SIRT algorithm
The slowness result S0 obtained by the global search of the GA is used as the initial model for the local inversion of SIRT, and the repeated iteration is conducted according to the following formula 5:
where Ai is the ith row vector of A, is the transpose of Ai, g is the current iteration steps of SIRT and the initial value of g is 0, and Sg is the slowness distribution results after the iteration steps of g.
The slowness distribution result with a global optimum is finally obtained when the current iteration steps g reaches the maximum number of iterations N set in SIRT. In this research, the value of N was set to be 500.
3. Experimental Section
3.1. Survey Area
A channel wave transmission survey was developed at the Guoerzhuang Coal Mine, Handan, Shanxi province, China. The survey area is shown in the following Figure 2. It corresponds to the trapezoidal region covered by the ray. The No. 2 coal seam is mined in the survey area, and the variation range of coal thickness in the survey area is 0.4–2.4 m. The roof of the coal seam is mainly sandstone and the floor is siltstone, and a total of 5 normal faults have been exposed. The coal thickness and fault distribution exposed by the roadways are shown in Figure 2.
Figure 2.
The geological map of the survey area and the ray coverage map combined with realized survey geometry (location of all source and receiver stations).
3.2. Field Observations
In this exploration, explosive blasting was used as the seismic source and the seismic wave was received by a single-component detector. The layout of the receiver and the source stations are shown in Figure 2. The source stations (S1:S31) were arranged in the belt entry using a spacing of 10 m, and the diameter of the gun hole (parallel with the coal seam) was required to be 42 mm. The receiver stations (R1:R49) were fixed to the bolt with a distance of 10 m. The source stations from S31 to S1 were blasted one by one, and the seismic wave was received by the receiver stations. In the process of data collection, a total of 1426 channel seismic wave data were collected due to the faults of the receiver stations R1, R2, and R3.
3.3. Measurements
The travel time of the channel wave was obtained from seismic wave data before tomographic inversion. The time–frequency analysis method, using the Morlet wavelet as the mother, was adopted to pick up the travel time of the channel wave [30]. The channel wave propagation was analyzed in the form of energy flow, and its travel time was picked up corresponding to the center of its energy envelope. Finally, a total of 1342 effective channel wave travel times were picked up. The time–frequency analysis results of the seismic wave data (S5–R7) are shown in Figure 3.
Figure 3.
The time–frequency distribution of S5–R7. Results of the time–frequency analysis applied to data from source station S5 recorded at receiver station R7.
4. Results
The proposed GA-SIRT hybrid algorithm was employed to identify the coal thickness, and to perform comparative analyses in terms of accuracy, stability, and convergence speed between the GA, the SIRT, and the introduced hybrid algorithm. The aim was the verification of the identification performance of the proposed algorithm. All algorithms were implemented in the MATLAB 2017b (The MathWorks Inc., Natick, MA, USA, 2017) programming environment based on the CPU of Xeon(R) E3-1230 3.30GHz processor (The Intel Corporation, Santa Clara, USA, 2012).
4.1. Obtained Slowness Distribution
After the performance of 1000 evolution generations by the GA, the optimal inversion error decreased from 55.3 ms (Figure 4a) to 27.6 ms (Figure 4b). The randomly generated initial population (slowness model) can quickly approach the global optimal solution according to the genetic operator, therefore, the value of the RMSE has a large descending range. The SIRT’s strong local search ability was then used for further search on the basis of the initial solution determined by GA. The slowness result obtained by use of the GA was regarded as a reliable initial model for the SIRT. The result of the final inversion of slowness (after 500 iterations) was acquired with an error of 15.3 ms (Figure 4c). Since this step is a further local search for the object function’s global optimal solution, the value of RMSE generally decreases by a small margin.
Figure 4.
Inversion results of slowness. (a) Initial model with iterations Iter = 1; (b) result from the genetic algorithm (GA) inversion after 1000 iterations; (c) final result from the application of simultaneous iterative reconstructive technique algorithm (SIRT) tomography after 500 iterations;
The slowness of channel wave propagation has a good correspondence with the medium, and the slowness of channel wave propagation in a coal seam is higher than that in rock strata. As can be seen from Figure 4c, the low slowness region corresponding to blue color was mainly distributed around 350–550 m and the triangular region in the left side. Therefore, it was preliminarily estimated that the average coal thickness in this region was lower than that in the surroundings. In addition, the range of the thin coal area from Figure 4a–c became clearer and more accurate, and the final slowness distribution result also had a good correspondence with the fault.
4.2. Relationship between Coal Seam Thickness and Slowness
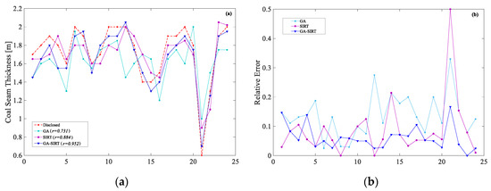
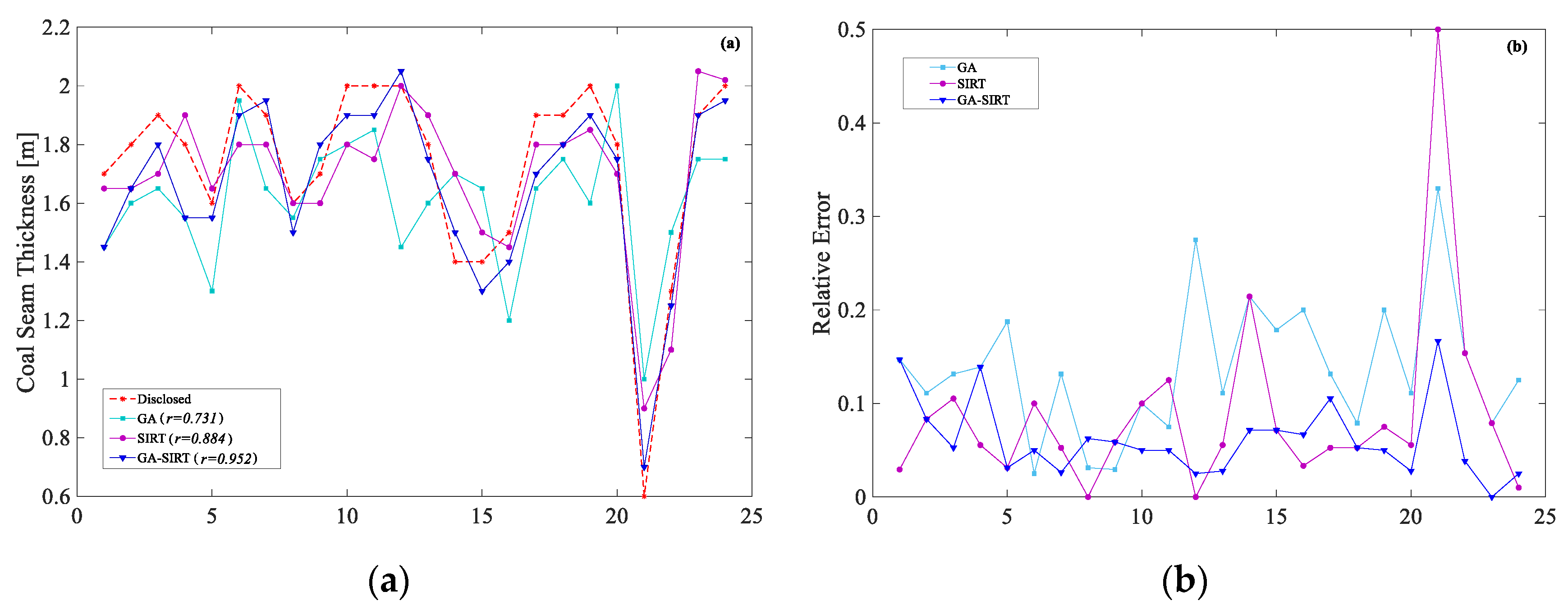
However, the slowness distribution result can only be used to qualitatively estimate the variation of coal thickness in the detection area. In order to analyze the variation of coal thickness quantitatively, the slowness result has to be translated into coal thickness. The coal thickness disclosed along with the head entry (150 to 550 m) and the belt entry (250 to 550m) was used to estimate the correlation of slowness with the disclosed thickness values. Figure 5 shows that a second order polynomial can better reflect the relationship between slowness and coal thickness where the determination coefficient R2= 0.9654 and the root mean square error RMSE = 0.087.
Figure 5.
Fitting result between coal seam thickness (H) and slowness (s). The fitting equation is H = 0.185s2 + 0.124s + 0.433, where the coefficient of determination R2 = 0.9654 and the root mean square error RMSE = 0.087.
4.3. Resulting Thickness Distribution
The derived polynomial approximation result was used to translate the distribution of the slowness (Figure 4c) into a thickness map (Figure 6c), which clearly shows the results for the required objectives of the surveys. As can be seen from Figure 6c, the thin areas of the coal are mainly distributed around 320–550 m and the triangular region in the left side, and faults have been disclosed around the areas. Therefore, affected by the faults, the rock at the top and bottom of the coal layer extends into the coal seam under the action of tension. This leads to a reduction of coal thickness. The distribution of the fault F3 disclosed is basically consistent with the inversion result; fault F3 runs diagonally across the working face from the belt entry to the head entry, and the fault drop gradually changes from 2.0 m to 3.5 m. As the channel wave propagated within the thin coal area caused by fault F3, it had a low propagation slowness. The thinnest area of coal in this area is 0.4 m, which has a great impact on mining. It was difficult to continue mining when the mining process (from left to right) reached the position of 360 m from belt entry and 430 m from head entry, according to the mining record.
Figure 6.
Distribution of coal seam thickness within survey areas. (a) Coal seam thickness distribution with SIRT algorithms; (b) coal seam thickness distribution applying GA algorithms; (c) coal seam thickness distribution employing GA-SIRT algorithms.
4.4. Performance Assessment
4.4.1. Accuracy and Stability Assessment
First, the samples were selected on the basis of the coal thickness value recorded in the process of mining. In order to show the accuracy of the algorithm comprehensively, samples of 24 points were selected evenly in the survey area, and the density of samples was increased in areas of coal thickness variation. From the correlation coefficient r (Figure 7a) and the relative error (Figure 7b) between the calculated coal thickness result (H) and the mining result (L), we can see that the inversion result of the GA-SIRT is closer to the real value with higher accuracy.
where r is the correlation coefficient, δ is the relative error, H is the calculated results of coal thickness, and L is the coal thickness exposed in the production process. Cov(H, L) is the covariance between H and L, Var[H] is the variance of H, and Var[L] is the variance of L.
Figure 7.
The correlation coefficient results (a) and the relative error results (b) of coal thickness between disclosed and calculated by GA, SIRT, and the hybrid algorithm (GA-SIRT) respectively.
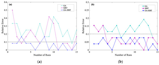
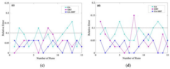
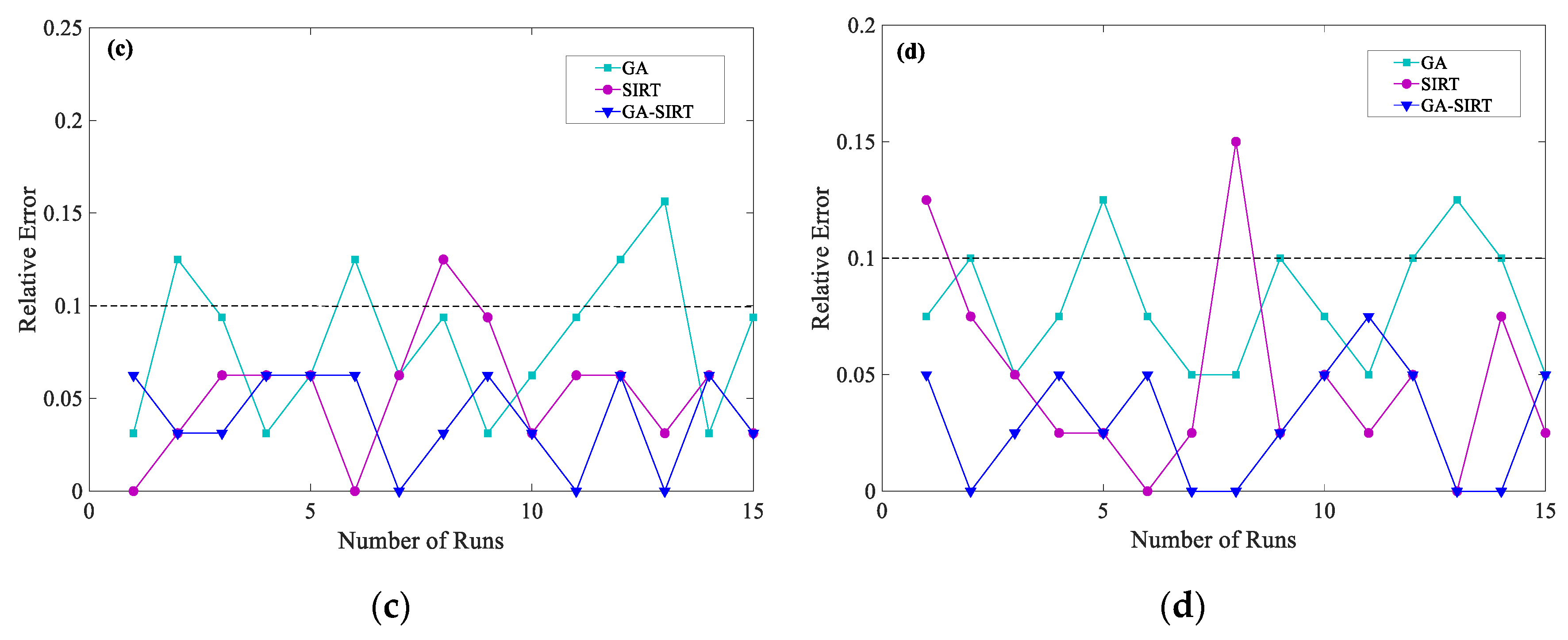
Single inversion results may have a certain randomness, therefore, 15 iterative calculations were performed on the four selected coal thickness sample points, using GA, SIRT, and the hybrid algorithm (Figure 8). Comparing the results, we can see that iterative divergence occurred when the SIRT was used independently. This is because the SIRT algorithm has local convergence when the initial model is poor, and the corresponding inversion result is unstable. When the proposed hybrid algorithm was applied for the coal thickness calculation, the average relative error was less than 10%. Hence, the GA-SIRT exhibited a better accuracy rate and stability performance compared with the GA and SIRT.

Figure 8.
The relative error of coal thickness varied with the number of calculations in four samples when GA, SIRT, and GA-SIRT were applied. The samples had the following coal thickness values (a) 0.6 m, (b) 1.3 m, (c) 1.6 m, (d) 2.0 m.
4.4.2. Efficiency Comparison
In addition to considering accuracy and stability, another important factor to verify the performance of an algorithm is computational efficiency, namely the computational time. Therefore, a comparative evaluation was conducted between the GA and the GA-SIRT where the RMSE varied with the number of iterations. As shown in Figure 9, the RMSE of the GA-SIRT was reduced to 25 ms after 1150 iterations within 4 min. However, the GA performed 4000 iterations to reach the same error within 17 min, in the same computing environment. This is due to the fact that the convergence rate of the GA becomes slower after 1000 generations, and the GA wastes much time on local optimum values. Although the SIRT only needed 30 s to reach the same error, it is not considered herein, due to its instability.
Figure 9.
The number of iterations required to achieve the same error (after 25 ms) by the GA, the SIRT, and the GA-SIRT.
5. Discussion
Comparing the inversion results of the three algorithms, we conclude that the GA-SIRT has a better overall performance. The inversion results of the GA (due to their poor ability of local searching) have a higher error level. The SIRT had a better performance considering the efficiency calculation, whereas its accuracy result was basically consistent with that of the GA-SIRT in several cases. However, in practical applications, stable results are always preferred over results with higher uncertainty. Thus, in terms of overall performance, the GA-SIRT hybrid algorithm outperformed the stand-alone ones.
On the other hand, the number of iterations has a certain impact on the inversion result. In the GA-SIRT inversion process, if the value of MAXGEN (set by the GA) is too small, then the best individual obtained by the GA is selected as the initial solution for SIRT. This is done before the populations evolve around the global minimum. When the number of iterations in the GA is higher than 1000, the convergence speed becomes slower and the hybrid algorithm might not get a stable result, or might even lead to higher errors. Increasing the number of iterations will not significantly improve the inversion accuracy. Thus, in the actual calculations, 1000 iterations was enough.
6. Conclusions
In this paper, the identification of coal thickness has been significantly improved, and the inversion results of the GA-SIRT have an important guiding significance for rational layout of the working face. This was achieved by proposing a hybrid algorithm, combining complementary features of GA’s global search and SIRT’s local linearization search, towards a better localization of the global minimum.
The results of the field tests have proven that the GA-SIRT hybrid approach is a feasible technology that offers a significant improvement in accuracy and stability. Additionally, the GA-SIRT exhibits superior computing efficiency compared to the stand-alone GA. The comparative results also demonstrate that a good starting model is necessary to initiate the linearized inversion.
Therefore, the GA-SIRT hybrid algorithm can effectively reduce the potential of local optimal solutions that were obtained by the traditional linearized inversion method. The introduced approach has realized the precise estimation of coal thickness, and is therefore of great significance for the early realization of unmanned coal mining. In addition, The GA-SIRT hybrid algorithm can also be applied in other geophysical tomographic inversion problems.
Author Contributions
Conceptualization, C.G.; Data curation, C.G., S.C. and W.Y.; Formal analysis, C.G.; Investigation, C.G., Z.Y. and S.C.; Methodology, Z.Y. and T.R.; Writing—original draft, C.G.; Writing—review & editing, Z.Y., T.R. and W.Y.
Funding
This work was supported by the Fundamental Research Funds for the Central Universities [No. 2017CXNL01].
Conflicts of Interest
The authors declare no conflict of interest.
References
- Yuan, L. Scientific conception of precision coal mining. J. China Coal Soc. 2017, 42, 1–7. [Google Scholar] [CrossRef]
- Huang, J.X.; Xu, G.; Hu, G.Z.; Kizil, M.; Chen, Z.W. A coupled electromagnetic irradiation, heat and mass transfer model for microwave heating and its numerical simulation on coal. Fuel Process. Technol. 2018, 177, 237–245. [Google Scholar] [CrossRef]
- Hu, Z.A.; Zhang, P.; Xu, G. Dispersion features of transmitted channel waves and inversion of coal seam thickness. Acta Geophys. 2018, 66, 1001–1009. [Google Scholar] [CrossRef]
- Hatherly, P. Overview on the application of geophysics in coal mining. Int. J. Coal Geol. 2013, 114, 74–84. [Google Scholar] [CrossRef]
- Cui, H.X.; Yang, W.Q.; Zhao, M.H. Research and application of seam thickness prediction method with borehole restrained frequency area quantified. Coal Sci. Technol. 2006, 6–8. [Google Scholar] [CrossRef]
- Greenfield, R.J.; Wu, T. Electromagnetic wave propagation in disrupted coal seams. Geophysics 1991, 56, 1571–1577. [Google Scholar] [CrossRef]
- Qiao, Y.H.; Teng, J.W.; Pi, J.L. Rayleigh channel wave field and dispersion of coal seams with small faults. Chin. J. Geophys. 2018, 61, 4976–4987. [Google Scholar] [CrossRef]
- Hu, Z.A.; Zhang, P.; Xu, G. Research advances of seismic tomography technology in coal seam. Prog. Geophys. 2017, 32, 2451–2459. [Google Scholar] [CrossRef]
- Evison, F.F. A Coal Seam as a Guide for Seismic Energy. Nature 1955, 176, 1224–1225. [Google Scholar] [CrossRef]
- Ji, G.Z.; Wei, J.C.; Yang, S.T.; Yang, J.H.; Ding, R.W.; Zhang, G.X. Preliminary study on wave field and dispersion characteristics of channel waves in HTI coal seam medium. Chin. J. Geophys. 2019, 62, 789–801. [Google Scholar] [CrossRef]
- Pi, J.L.; Teng, J.W.; Liu, Y.S. Preliminary study on the numerical-physical simulation of seismic channel waves. Chin. J. Geophys. 2018, 61, 2481–2493. [Google Scholar] [CrossRef]
- Qiao, Y.H.; Teng, J.W. Calculation method for theoretical dispersion curves of seismic channel waves considering variation of coal-seam thickness and analysis of dispersion characteristics. Chin. J. Geophys. 2018, 61, 3374–3384. [Google Scholar] [CrossRef]
- Wang, J.; Li, G.; Wu, G.Q.; Niu, H.; Liu, S.; Wang, B.L. Transmitted channel wave detecting technology of geologic anomalous body in coal mining face. Coal Sci. Technol. 2016, 44, 159–163. [Google Scholar] [CrossRef]
- Ji, G.Z.; Cheng, J.Y.; Hu, J.W.; Wang, J.; Li, G.; Wang, B.L. Inseam wave imaging using attenuation coefficient: Method and application. J. China Coal Soc. 2014, 39, 471–475. [Google Scholar] [CrossRef]
- Jiang, B.F.; Zhao, W.; Wang, W.T. Improved Ultrasonic Computerized Tomography Method for STS (Steel Tube Slab) Structure Based on Compressive Sampling Algorithm. Appl. Sci. 2017, 7, 432. [Google Scholar] [CrossRef]
- Zhou, G.Q.; Liu, S.D.; Guo, L.Q.; Zhang, P.S.; Cao, Y. Application of seismic wave CT technology to detect geological abnormal structure in coal mining face. Coal Sci. Technol. 2007, 35, 37–40. [Google Scholar]
- Du, H.; Chen, W.H.; Zhu, Q.J.; Liu, S.L.; Zhou, J.B. Identification of weak peaks in X-ray fluorescence spectrum analysis based on the hybrid algorithm combining genetic and Levenberg Marquardt algorithm. Appl. Radiat. Isotopes. 2018, 141, 149–155. [Google Scholar] [CrossRef]
- Hosseini, N.; Oraee, K.; Shahriar, K.; Goshtasbi, K. Passive seismic velocity tomography on longwall mining panel based on simultaneous iterative reconstructive technique (SIRT). J. Cent. South Univ. 2012, 19, 2297–2306. [Google Scholar] [CrossRef]
- Chen, Y.L.; Xie, J.K. Resolution, Uncertainty and Data Predictability of Tomographic Lg Attenuation Models-Application to Southeastern China. Geophys. J. Int. 2017, 210, 166–183. [Google Scholar] [CrossRef]
- Hosseini, N. Evaluation of the rockburst potential in longwall coal mining using passive seismic velocity tomography and image subtraction technique. J. Seismol. 2017, 21, 1101–1110. [Google Scholar] [CrossRef]
- Soupios, P.; Akca, I.; Mpogiatzis, P.; Basokur, A.T.; Papazachos, C. Applications of hybrid genetic algorithms in seismic tomography. J. Appl. Geophys. 2011, 75, 479–489. [Google Scholar] [CrossRef]
- Mariane, R.; Eduardo, F.; Fernando, R.; Henrique, A.; Helio, B. Optimization of Mass Concrete Construction Using a Twofold Parallel Genetic Algorithm. Appl. Sci. 2018, 8, 399. [Google Scholar] [CrossRef]
- Barboza, F.M.; Medeiros, W.E.; Santana, J.M. Customizing constraint incorporation in direct current resistivity inverse problems: A comparison among three global optimization methods. Geophysics 2018, 83, E409–E422. [Google Scholar] [CrossRef]
- Moro, G.D.; Pipan, M.; Gabrielli, P. Rayleigh wave dispersion curve inversion via genetic algorithms and Marginal Posterior Probability Density estimation. J. Appl. Geophys. 2007, 61, 39–55. [Google Scholar] [CrossRef]
- Mendes, M. A hybrid fast algorithm for first arrivals tomography. Geophys. Prospect. 2010, 57, 803–809. [Google Scholar] [CrossRef]
- Horne, S.; Macbeth, C. Inversion for seismic anisotropy using genetic algorithms. Geophys. Prospect. 1994, 42, 953–974. [Google Scholar] [CrossRef]
- Padhi, A.; Mallick, S. Multicomponent pre-stack seismic waveform inversion in transversely isotropic media using a non-dominated sorting genetic algorithm. Geophys. J. Int. 2014, 196, 1600–1618. [Google Scholar] [CrossRef]
- Holland, J.H. Adaptation in Natural and Artificial Systems; The University of Michigan Press: Ann Arbor, MI, USA, 1975. [Google Scholar]
- Zandieh, A.; Pezeshk, S.; Campbell, K.W. An Equivalent Point-Source Stochastic Simulation of the NGA-West2 Ground-Motion Prediction Equations. Bull. Seismol. Soc. Am. 2018, 108, 815–835. [Google Scholar] [CrossRef]
- Yang, Z.; Feng, T.; Wang, S.G. Dispersion Characteristics and Wave Shape Mode of SH Channel Wave in a 0.9m-Thin Coal Seam. Chin.J. Geophys. 2010, 53, 442–449. [Google Scholar] [CrossRef]
© 2019 by the authors. Licensee MDPI, Basel, Switzerland. This article is an open access article distributed under the terms and conditions of the Creative Commons Attribution (CC BY) license (http://creativecommons.org/licenses/by/4.0/).