A Model to Predict Acoustic Resonant Frequencies of Distributed Helmholtz Resonators on Gas Turbine Engines
Abstract
Featured Application
Abstract
1. Introduction
2. Materials and Methods
2.1. Numerical Simulation
2.2. Experimental Validation
3. Results
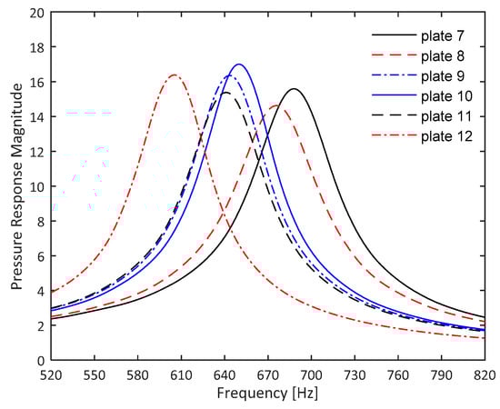
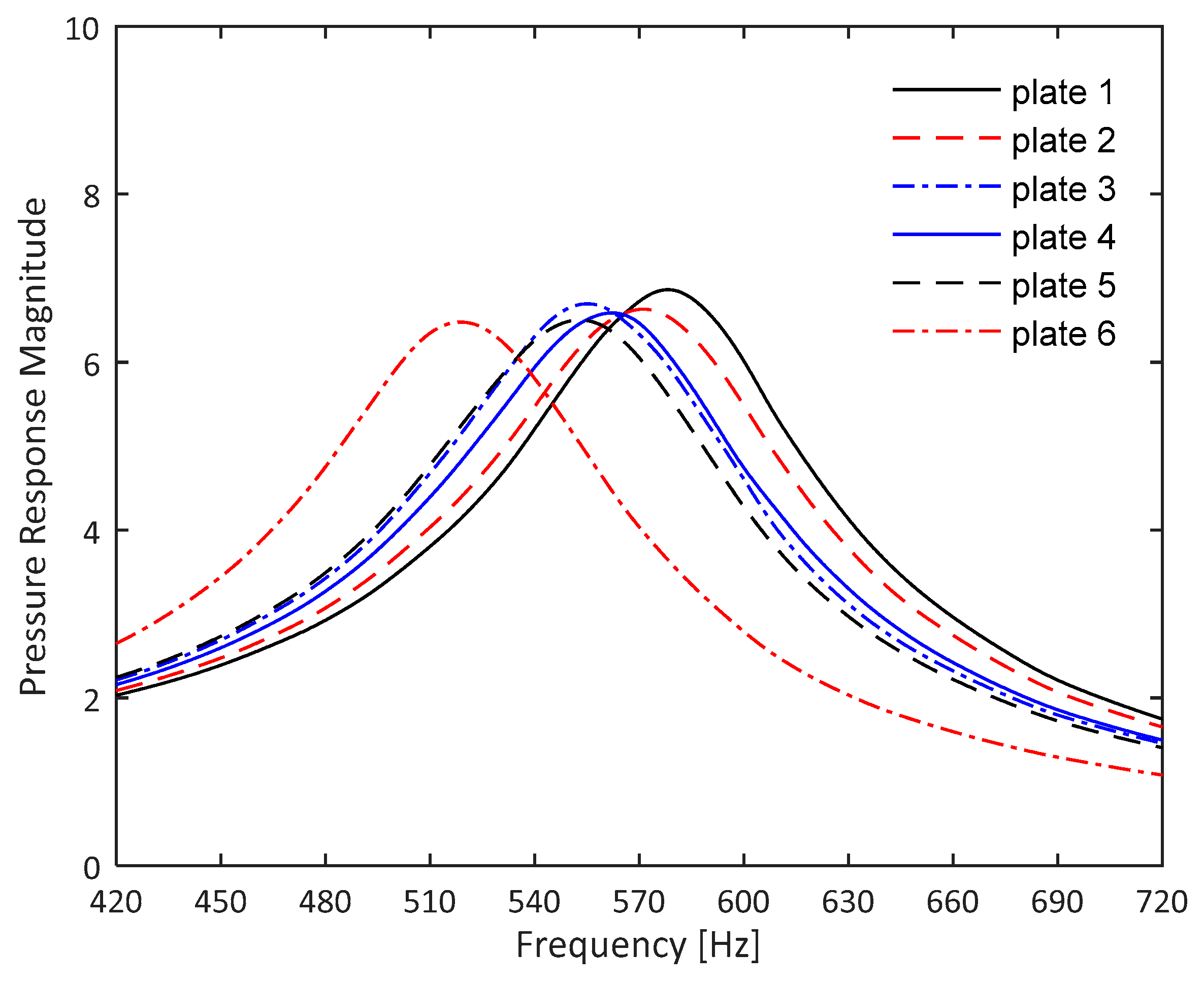
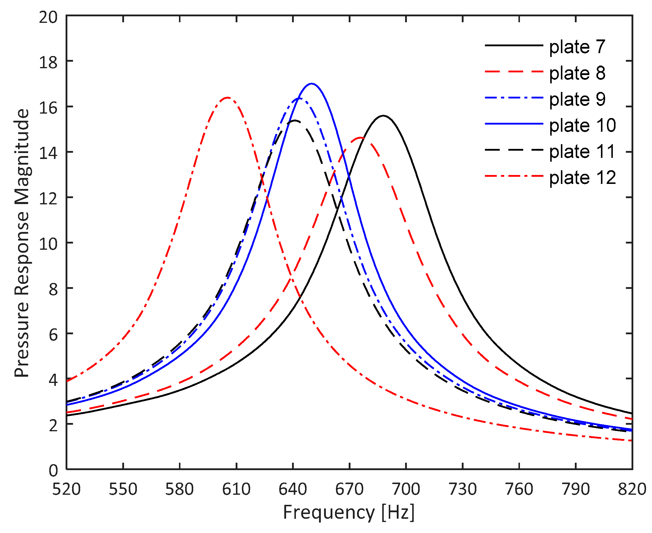
3.1. Acquisition of Model
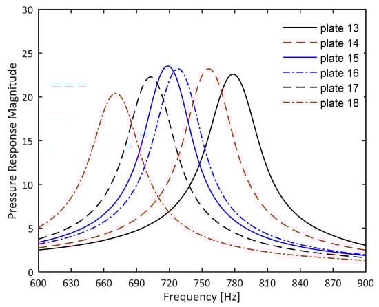
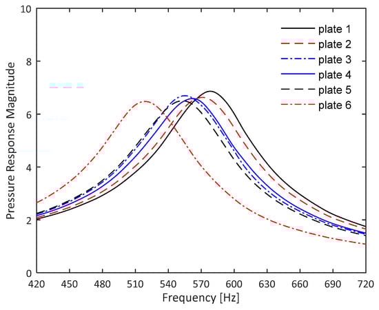
3.2. Validation of the Model
4. Conclusions
Author Contributions
Funding
Acknowledgments
Conflicts of Interest
References
- Elsa Gullaud, F.N. Effect of Perforated Plates on the Acoustics of Annular Combustors. AIAA J. 2012, 50, 2629–2642. [Google Scholar] [CrossRef]
- Lahiri, C. Acoustic Performance of Bias Flow Liners in Gas Turbine Combustors. Ph.D. Thesis, Technische Universität Berlin, Berlin, Germany, 2014. [Google Scholar]
- Noiray, N.; Durox, D.; Schuller, T.; Candel, S. Passive control of combustion instabilities involving premixed flames anchored on perforated plates. Proc. Combust. Inst. 2007, 31, 1283–1290. [Google Scholar] [CrossRef]
- Kuttruff, H. Acoustics: An Introduction; CRC Press: Boca Raton, FL, USA, 2007. [Google Scholar]
- Ingard, U. On the theory and design of acoustic resonators. J. Acoust. Soc. Am. 1953, 25, 1037–1061. [Google Scholar] [CrossRef]
- Bolt, R.H.; Labate, S.; Ingård, U. The acoustic reactance of small circular orifices. J. Acoust. Soc. Am. 1949, 21, 94–97. [Google Scholar] [CrossRef]
- Rayleigh, L. Theory of Sound; Macmillan: London, UK, 1940. [Google Scholar]
- Fok, B.M.W. Theoretical study of the conductance of a circular hole in a partition across a tube. Dokl. Akad. Nauk SSSR 1941, 31, 875–882. [Google Scholar]
- Atalla, N.; Sgard, F. Modeling of perforated plates and screens using rigid frame porous models. J. Sound Vib. 2007, 303, 195–208. [Google Scholar] [CrossRef]
- Melling, T.H. The acoustic impedance of perforates at medium and high sound pressure levels. J. Sound Vib. 1973, 29, 1–65. [Google Scholar] [CrossRef]
- Randeberg, R.T. Perforated Panel Absorbers with Viscous Energy Dissipation Enhanced by Orifice Design. Ph.D. Thesis, Norwegian University of Science and Technology, Trondheim, Norway, 2000. [Google Scholar]
- Rzhevkin, S.N. A Course of Lectures on the Theory of Sound; Pergamon Press: Oxford, UK, 1963. [Google Scholar]
- Sobolev, A.F. A semiempirical theory of a one-layer cellular sound-absorbing lining with a perforated face panel. Acoust. Phys. 2007, 53, 762–771. [Google Scholar] [CrossRef]
- Tayong, R. On the holes interaction and heterogeneity distribution effects on the acoustic properties of air-cavity backed perforated plates. Appl. Acoust. 2013, 74, 1492–1498. [Google Scholar] [CrossRef]
- Tayong, R.; Dupont, T.; Leclaire, P. Experimental investigation of holes interaction effect on the sound absorption coefficient of micro-perforated panels under high and medium sound levels. Appl. Acoust. 2011, 72, 777–784. [Google Scholar] [CrossRef]
- Bolton, J.S.; Kim, N. Use of CFD to calculate the dynamic resistive end correction for microperforated materials. Acoust. Aust. 2010, 38, 134–139. [Google Scholar]
- Temiz, M.A.; Lopez Arteaga, I.; Efraimsson, G.; Hirschberg, A. The influence of edge geometry on end-coefficients in micro perforated plates. J. Acoust. Soc. Am. 2015, 138, 3668–3677. [Google Scholar] [CrossRef] [PubMed]
- Li, X. End correction for the transfer impedance of microperforated panels using viscothermal wave theory. J. Acoust. Soc. Am. 2017, 141, 1426–1436. [Google Scholar] [CrossRef] [PubMed]
- Wang, J.; Rubini, P.; Qin, Q. Application of a porous media model for the acoustic damping of perforated plate absorbers. Appl. Acoust. 2017, 127, 324–335. [Google Scholar] [CrossRef]
- Fluent, A. 12.0 Theory Guide. Chapter 21: Solver Theory; ANSYS, Inc.: Southpointe, PA, USA, 2009. [Google Scholar]
- Poinsot, T.J.; Lelef, S.K. Boundary conditions for direct simulations of compressible viscous flows. J. Comput. Phys. 1992, 101, 104–129. [Google Scholar] [CrossRef]
- Selle, L.; Nicoud, F.; Poinsot, T. Actual impedance of nonreflecting boundary conditions: Implications for computation of resonators. AIAA J. 2004, 42, 958–964. [Google Scholar] [CrossRef]
- Seybert, A.F.; Ross, D.F. Experimental determination of acoustic properties using a two microphone random-excitation technique. J. Acoust. Soc. Am. 1977, 61, 1362–1370. [Google Scholar] [CrossRef]


















| Case No. | Diameter of the Impedance Tubes and Perforated Plates (mm) | Diameter of the Hole, d (mm) | x/d | y/d | |
|---|---|---|---|---|---|
| 1 | 90 | 2 | 1.2 | 1.2 | 0.545 |
| 2 | 90 | 2 | 1.5 | 1.5 | 0.349 |
| 3 | 90 | 2 | 2 | 2 | 0.196 |
| 4 | 90 | 2 | 2.5 | 2.5 | 0.126 |
| 5 | 90 | 2 | 3 | 3 | 0.087 |
| 6 | 90 | 2 | 4 | 4 | 0.049 |
| 7 | 90 | 2 | 5 | 5 | 0.031 |
| 8 | 135 | 3 | 1.2 | 1.2 | 0.545 |
| 9 | 135 | 3 | 1.5 | 1.5 | 0.444 |
| 10 | 135 | 3 | 2 | 2 | 0.250 |
| 11 | 135 | 3 | 2.5 | 2.5 | 0.160 |
| 12 | 135 | 3 | 3 | 3 | 0.111 |
| 13 | 135 | 3 | 4 | 4 | 0.063 |
| 14 | 135 | 3 | 5 | 5 | 0.040 |
| 15 | 180 | 4 | 1.2 | 1.2 | 0.545 |
| 16 | 180 | 4 | 1.5 | 1.5 | 0.444 |
| 17 | 180 | 4 | 2 | 2 | 0.250 |
| 18 | 180 | 4 | 2.5 | 2.5 | 0.160 |
| 19 | 180 | 4 | 3 | 3 | 0.111 |
| 20 | 180 | 4 | 4 | 4 | 0.063 |
| 21 | 180 | 4 | 5 | 5 | 0.040 |
| 22 | 135 | 3 | 1.5 | 5 | 0.105 |
| 23 | 135 | 3 | 2 | 5 | 0.079 |
| 24 | 135 | 3 | 3 | 5 | 0.052 |
| 25 | 135 | 3 | 4 | 5 | 0.039 |
| Case # EXP | Diameter (mm) | Plate Circumferential Length (mm) | Plate Axial Length (mm) | Hole Distance-x (mm) | Hole Distance-y (mm) | ||
|---|---|---|---|---|---|---|---|
| 1 | 2.0 | 59.4 | 50 | 6.0 | 12 | 0.0338 | 0.0436 |
| 2 | 2.0 | 59.4 | 50 | 6.0 | 9 | 0.0338 | 0.0582 |
| 3 | 2.0 | 59.4 | 50 | 6.0 | 6 | 0.0338 | 0.0873 |
| 4 | 2.0 | 59.4 | 50 | 4.2 | 12 | 0.0338 | 0.0623 |
| 5 | 2.0 | 59.4 | 50 | 4.2 | 9 | 0.0338 | 0.0831 |
| 6 | 2.0 | 59.4 | 50 | 4.2 | 6 | 0.0338 | 0.1247 |
| 7 | 3.0 | 59.4 | 50 | 6.0 | 12 | 0.0762 | 0.0982 |
| 8 | 3.0 | 59.4 | 50 | 6.0 | 9 | 0.0762 | 0.1309 |
| 9 | 3.0 | 59.4 | 50 | 6.0 | 6 | 0.0762 | 0.1963 |
| 10 | 3.0 | 59.4 | 50 | 4.2 | 12 | 0.0762 | 0.1402 |
| 11 | 3.0 | 59.4 | 50 | 4.2 | 9 | 0.0762 | 0.1870 |
| 12 | 3.0 | 59.4 | 50 | 4.2 | 6 | 0.0762 | 0.2805 |
| 13 | 4.0 | 59.4 | 50 | 6.0 | 12 | 0.135 | 0.1745 |
| 14 | 4.0 | 59.4 | 50 | 6.0 | 9 | 0.135 | 0.2327 |
| 15 | 4.0 | 59.4 | 50 | 6.0 | 6 | 0.135 | 0.3491 |
| 16 | 4.0 | 59.4 | 50 | 4.2 | 12 | 0.135 | 0.2493 |
| 17 | 4.0 | 59.4 | 50 | 4.2 | 9 | 0.135 | 0.3324 |
| 18 | 4.0 | 59.4 | 50 | 4.2 | 6 | 0.135 | 0.4987 |
| Case No. CFD | C | |||
|---|---|---|---|---|
| 1 | 0.545 | 429 | 5.562 | 0.654 |
| 2 | 0.349 | 457 | 4.275 | 0.503 |
| 3 | 0.196 | 492 | 2.970 | 0.349 |
| 4 | 0.126 | 517 | 2.194 | 0.258 |
| 5 | 0.087 | 535 | 1.696 | 0.199 |
| 6 | 0.049 | 561 | 1.062 | 0.125 |
| 7 | 0.031 | 576 | 0.721 | 0.085 |
| 8 | 0.545 | 373 | 8.141 | 0.639 |
| 9 | 0.444 | 401 | 6.452 | 0.506 |
| 10 | 0.250 | 435 | 4.512 | 0.354 |
| 11 | 0.160 | 461 | 3.320 | 0.260 |
| 12 | 0.111 | 481 | 2.529 | 0.198 |
| 13 | 0.063 | 510 | 1.544 | 0.121 |
| 14 | 0.040 | 530 | 0.955 | 0.075 |
| 15 | 0.545 | 331 | 11.000 | 0.647 |
| 16 | 0.444 | 357 | 8.764 | 0.516 |
| 17 | 0.250 | 392 | 6.037 | 0.355 |
| 18 | 0.160 | 417 | 4.471 | 0.263 |
| 19 | 0.111 | 437 | 3.411 | 0.201 |
| 20 | 0.063 | 470 | 1.988 | 0.117 |
| 21 | 0.040 | 492 | 1.179 | 0.069 |
| 22 | 0.105 | 473 | 2.721 | 0.2234 |
| 23 | 0.079 | 490 | 2.123 | 0.1665 |
| 24 | 0.052 | 508 | 1.522 | 0.1194 |
| 25 | 0.039 | 521 | 1.136 | 0.0891 |
| Case # | Model Relative Error (%) | ||||||
|---|---|---|---|---|---|---|---|
| 1 | 0.0436 | 579 | 595 | <1.7 mm | 2.45 | 2.21 | −9.80 |
| 2 | 0.0582 | 573 | 579 | <1.7 mm | 2.54 | 2.45 | −3.59 |
| 3 | 0.0873 | 556 | 554 | <1.7 mm | 2.82 | 2.86 | 1.18 |
| 4 | 0.0623 | 563 | 575 | <1.7 mm | 2.71 | 2.51 | −7.04 |
| 5 | 0.0831 | 554 | 557 | <1.7 mm | 2.86 | 2.80 | −1.92 |
| 6 | 0.1247 | 520 | 531 | <1.7 mm | 3.52 | 3.29 | −6.41 |
| 07 | 0.0982 | 683 | 719 | <2.55 mm | 5.19 | 4.49 | −13.5 |
| 08 | 0.1309 | 676 | 691 | <2.55 mm | 5.34 | 5.03 | −5.79 |
| 09 | 0.1963 | 644 | 649 | <2.55 mm | 6.09 | 5.95 | −2.34 |
| 10 | 0.1402 | 650 | 683 | <2.55 mm | 5.94 | 5.18 | −12.8 |
| 11 | 0.1870 | 642 | 654 | <2.55 mm | 6.14 | 5.83 | −5.10 |
| 12 | 0.2805 | 606 | 613 | <2.55 mm | 7.14 | 6.92 | −3.02 |
| 13 | 0.1745 | 778 | 790 | <3.4 mm | 7.86 | 7.55 | −3.88 |
| 14 | 0.2327 | 757 | 753 | <3.4 mm | 8.41 | 8.52 | 1.31 |
| 15 | 0.3491 | 719 | 700 | <3.4 mm | 9.54 | 10.15 | 6.37 |
| 16 | 0.2493 | 728 | 744 | <3.4 mm | 9.26 | 8.78 | −5.20 |
| 17 | 0.3324 | 703 | 707 | <3.4 mm | 10.07 | 9.93 | −1.37 |
| 18 | 0.4987 | 671 | 655 | <3.4 mm | 11.29 | 11.88 | 5.21 |
© 2019 by the authors. Licensee MDPI, Basel, Switzerland. This article is an open access article distributed under the terms and conditions of the Creative Commons Attribution (CC BY) license (http://creativecommons.org/licenses/by/4.0/).
Share and Cite
Wang, J.; Rubini, P.; Qin, Q.; Houston, B. A Model to Predict Acoustic Resonant Frequencies of Distributed Helmholtz Resonators on Gas Turbine Engines. Appl. Sci. 2019, 9, 1419. https://doi.org/10.3390/app9071419
Wang J, Rubini P, Qin Q, Houston B. A Model to Predict Acoustic Resonant Frequencies of Distributed Helmholtz Resonators on Gas Turbine Engines. Applied Sciences. 2019; 9(7):1419. https://doi.org/10.3390/app9071419
Chicago/Turabian StyleWang, Jianguo, Philip Rubini, Qin Qin, and Brian Houston. 2019. "A Model to Predict Acoustic Resonant Frequencies of Distributed Helmholtz Resonators on Gas Turbine Engines" Applied Sciences 9, no. 7: 1419. https://doi.org/10.3390/app9071419
APA StyleWang, J., Rubini, P., Qin, Q., & Houston, B. (2019). A Model to Predict Acoustic Resonant Frequencies of Distributed Helmholtz Resonators on Gas Turbine Engines. Applied Sciences, 9(7), 1419. https://doi.org/10.3390/app9071419

