Multiple Correspondence Analysis of Emergencies Attended by Integrated Security Services
Abstract
1. Introduction
2. Motivation
3. MCA Statistical Characterization
3.1. Matrix Fundamentals of MCA
3.2. Bootstrap Resampling and Parzen Windowing
3.3. Toy Example of Proposed Modified MCA
4. Emergency DB
5. Statistical and Graphical Interpretation
6. Experimental Results
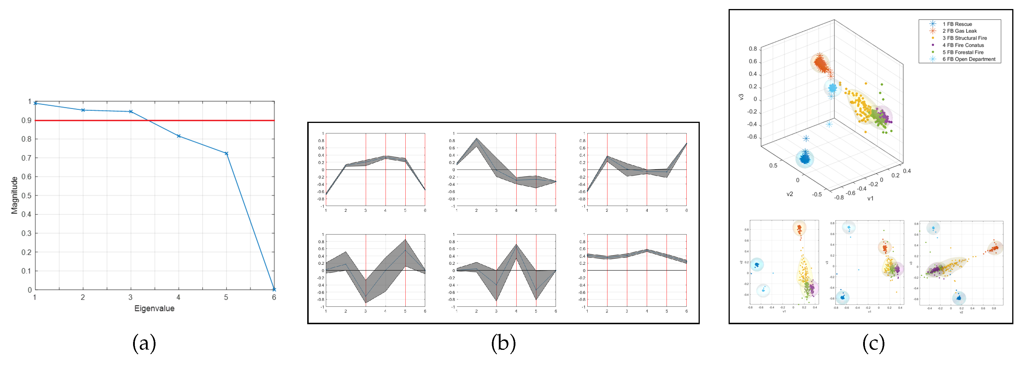
6.1. Individual FRI Analysis
6.1.1. Fire Brigades
6.1.2. Police
6.1.3. Health Services
6.1.4. Transit
6.2. Combined FRIs Analysis
6.2.1. Police and Health Services
6.2.2. Police and Transit
6.2.3. Police and Fire Brigades
6.2.4. Health Services and Transit
6.2.5. Health Services and Fire Brigades
6.2.6. Transit and Fire Brigades
7. Discussing the Results
8. Conclusions
Author Contributions
Funding
Acknowledgments
Conflicts of Interest
References
- Drabek, T.E. Managing the emergency response. Public Adm. Rev. 1985, 45, 85–92. [Google Scholar] [CrossRef]
- Corral-De-Witt, D.; Carrera, E.V.; Matamoros-Vargas, J.A.; Muñoz-Romero, S.; Rojo-Álvarez, J.L.; Tepe, K. From E-911 to NG-911: Overview and Challenges in Ecuador. IEEE Access 2018, 6, 42578–42591. [Google Scholar] [CrossRef]
- Belardo, S.; Karwan, K.R.; Wallace, W.A. Managing the response to disasters using microcomputers. Interfaces 1984, 14, 29–39. [Google Scholar] [CrossRef]
- Jennex, M.E. Modeling emergency response systems. In Proceedings of the 2007 40th Annual Hawaii International Conference on System Sciences, Waikoloa, HI, USA, 3–6 January 2007. [Google Scholar]
- Zlatanova, S.; Dilo, A. A data model for operational and situational information in emergency response: The Dutch case. In Proceedings of the Gi4DM Conference on Geomatics for District Management, Torino, Italy, 2–4 February 2010; Volume 4. [Google Scholar]
- Dilo, A.; Zlatanova, S. A data model for operational and situational information in emergency response. Appl. Geomat. 2011, 3, 207–218. [Google Scholar] [CrossRef]
- Neppalli, V.K.; Caragea, C.; Squicciarini, A.; Tapia, A.; Stehle, S. Sentiment analysis during Hurricane Sandy in emergency response. Int. J. Disaster Risk Reduct. 2017, 21, 213–222. [Google Scholar] [CrossRef]
- Li, Q.; Deng, Y.; Liu, C.; Zeng, Q.; Lu, Y. Modeling and analysis of subway fire emergency response: An empirical study. Saf. Sci. 2016, 84, 171–180. [Google Scholar] [CrossRef]
- Liu, Y.; Fan, Z.P.; Zhang, Y. Risk decision analysis in emergency response: A method based on cumulative prospect theory. Comput. Oper. Res. 2014, 42, 75–82. [Google Scholar] [CrossRef]
- Liu, Y.; Fan, Z.P.; Yuan, Y.; Li, H. A FTA-based method for risk decision-making in emergency response. Comput. Oper. Res. 2014, 42, 49–57. [Google Scholar] [CrossRef]
- Jasso, H.; Fountain, T.; Baru, C.; Hodgkiss, W.; Reich, D.; Warner, K. Spatiotemporal analysis of 9-1-1 call stream data. In Proceedings of the 2006 International Conference on Digital Government Research, San Diego, CA, USA; Digital Government Society of North America: Los Angeles, CA, USA, 2006; pp. 21–22. [Google Scholar]
- Corral-De-Witt, D.; Carrera, E.V.; Muñoz-Romero, S.; Rojo-Álvarez, J.L. Statistical, Spatial and Temporal Mapping of 911 Emergencies in Ecuador. Appl. Sci. 2018, 8, 199. [Google Scholar] [CrossRef]
- Turoff, M. Past and future emergency response information systems. Commun. ACM 2002, 45, 29–32. [Google Scholar] [CrossRef]
- Abdi, H.; Valentin, D. Multiple correspondence analysis. In Encyclopedia of Measurement and Statistics; SAGE Publications: Thousand Oaks, CA, USA, 2007; pp. 651–657. [Google Scholar]
- Greenacre, M.; Blasius, J. Multiple Correspondence Analysis and Related Methods; Chapman and Hall/CRC: New York, NY, USA, 2006. [Google Scholar]
- Rodriguez-Sabate, C.; Morales, I.; Sanchez, A.; Rodriguez, M. The Multiple Correspondence Analysis Method and Brain Functional Connectivity: Its Application to the Study of the Non-linear Relationships of Motor Cortex and Basal Ganglia.This work was partly supported by the Universidad de las Fuerzas Armadas ESPE under Research Grant 2015-PIC-004, and also by Research Grants PRINCIPIAS, FINALE, and KERMES (TEC2013-48439-C4-1-R, TEC2016-75161-C2-1-R, and TEC2016-81900-REDT) from Spanish Government and PRICAM (S2013/ICE-2933) from Comunidad de Madrid, Spain. Front. Neurosci. 2017, 11, 345. [Google Scholar] [PubMed]
- Efron, B.; Tibshirani, R.J. An Introduction to the Bootstrap; CRC Press: Boca Raton, FL, USA, 1994. [Google Scholar]
- Alonso-Atienza, F.; Rojo-Álvarez, J.L.; Rosado-Muñoz, A.; Vinagre, J.J.; García-Alberola, A.; Camps-Valls, G. Feature selection using support vector machines and bootstrap methods for ventricular fibrillation detection. Expert Syst. Appl. 2012, 39, 1956–1967. [Google Scholar] [CrossRef]
- Del Giudice, V.; Salvo, F.; De Paola, P. Resampling techniques for real estate appraisals: TesThis work was partly supported by the Universidad de las Fuerzas Armadas ESPE under Research Grant 2015-PIC-004, and also by Research Grants PRINCIPIAS, FINALE, and KERMES (TEC2013-48439-C4-1-R, TEC2016-75161-C2-1-R, and TEC2016-81900-REDT) from Spanish Government and PRICAM (S2013/ICE-2933) from Comunidad de Madrid, Spain.ting the bootstrap approach. Sustainability 2018, 10, 3085. [Google Scholar]
- Parzen, E. On estimation of a probability density function and mode. Ann. Math. Stat. 1962, 33, 1065–1076. [Google Scholar] [CrossRef]
- Carvalho, A.R.; Tavares, J.M.R.; Principe, J.C. A novel nonparametric distance estimator for densities with error bounds. Entropy 2013, 15, 1609–1623. [Google Scholar] [CrossRef]
- Yeung, D.Y.; Chow, C. Parzen-window network intrusion detectors. In Proceedings of the Object Recognition Supported by User Interaction for Service Robots, Quebec City, QC, Canada, 11–15 August 2002; Volume 4, pp. 385–388. [Google Scholar]
- Forchini, G.; Peng, B. A conditional approach to panel data models with common shocks. Econometrics 2016, 4, 4. [Google Scholar] [CrossRef]















| Order | Month | Emergencies |
|---|---|---|
| 1 | January | 74,358 |
| 2 | February | 70,010 |
| 3 | March | 88,119 |
| 4 | April | 86,192 |
| 5 | May | 91,265 |
| 6 | June | 84,627 |
| 7 | July | 89,300 |
| 8 | August | 98,531 |
| 9 | September | 99,878 |
| 10 | October | 94,322 |
| 11 | November | 93,897 |
| 12 | December | 108,347 |
| Total | 1,078,846 |
| Order | Specific Emergency or Category | Occurrence |
|---|---|---|
| 1 | Structural Fires | 24.63% |
| 2 | Fire Rescue | 18.12% |
| 3 | Rescue | 17.69% |
| 4 | Forest Fires | 12.86% |
| 5 | Gas Leaks | 9.71% |
| 6 | Floods | 5.99% |
| 7 | Open Department | 3.93% |
| 8 | Hazardous Material | 3.20% |
| 9 | Vehicular Fire | 2.68% |
| 10 | Personal or Accident Material | 0.39% |
| 11 | Close Hydrant | 0.33% |
| 12 | Unit crashed | 0.17% |
| 13 | Vehicular | 0.17% |
| 14 | Water supply | 0.09% |
| 15 | Domiciles | 0.04% |
| FRIs | C ≥ 30% | 30% > C ≥ 20% | 20% > C ≥ 10% | 10% > C ≥ 5% | 5%> C ≥ 1% | 1% > C | Total |
|---|---|---|---|---|---|---|---|
| FB | – | 1 | 3 | 2 | 3 | 6 | 15 |
| RMS | – | – | – | – | – | 3 | 3 |
| M | – | – | – | – | – | 2 | 2 |
| P | 1 | – | 1 | 4 | 7 | 32 | 45 |
| HS | 1 | 1 | 2 | 1 | – | 36 | 41 |
| MS | – | – | – | – | – | 8 | 8 |
| T | 1 | – | 2 | 1 | 2 | 7 | 13 |
| # Cat. | 3 | 2 | 8 | 8 | 12 | 94 | 127 |
| Total% | 31.78% | 3.99% | 20.06% | 21.29% | 12.70% | 10.18% | - - - |
| Cum.% | 31.78% | 35.77% | 55.83% | 77.13% | 89.82% | 100% | - - - |
| Order | FRIs | Participation | Categories |
|---|---|---|---|
| 1st | Police | 64.2% | 45 |
| 2nd | Health Services | 15.0% | 41 |
| 3rd | Transit | 12.8% | 13 |
| 4th | Fire Brigades | 3.0% | 15 |
| 5th | Municipal Services | 2.8% | 8 |
| 6th | Military | 1.3% | 2 |
| 7th | Risk Management Secretary | 0.9% | 3 |
| Total | 100.0% | 127 |
| FB | RMS | M | P | HS | MS | T |
|---|---|---|---|---|---|---|
| - | - | - | ||||
| - | - | - | ||||
| - | - | - | ||||
| - | - | - |
| Fire Brigades | Police | Health Services | Transit | |
|---|---|---|---|---|
| 1 | Rescue | Consumption/Drug Sale | Disease | Crashes |
| 2 | Gas Leak | Public Road Scandal | Accidental Poisoning | Collisions |
| 3 | Structural Fire | Suspicious Person | Traumatism NT | Vehicle Bad Parked |
| 4 | Fire Conatus | Family Brawl | Other NT Accidents | Vehicular Congestion |
| 5 | Forest Fire | Person Requesting Help | Traffic Accidents NT | Hit by a Car |
| 6 | Open Dept. | Excess of Noise | Fallen Same Height | Motorcycle Accident |
| 7 | Floods | Police Guard | Violation | Damaged Vehicle |
| 8 | Hazardous Materials | Non Typified Complaint | Exposure to Cold | Overturned Car |
| 9 | Vehicular Fires | Theft | Run over by a Car | Closed Way |
| 10 | Close Hydrant | Capture Bulletin | Wounded Head | Traffic Light damaged |
| 11 | Pers./Mat. Accident | Escort of Values | Convulsion | Fall of a Passenger |
© 2019 by the authors. Licensee MDPI, Basel, Switzerland. This article is an open access article distributed under the terms and conditions of the Creative Commons Attribution (CC BY) license (http://creativecommons.org/licenses/by/4.0/).
Share and Cite
Corral-De-Witt, D.; Carrera, E.V.; Muñoz-Romero, S.; Tepe, K.; Rojo-Álvarez, J.L. Multiple Correspondence Analysis of Emergencies Attended by Integrated Security Services. Appl. Sci. 2019, 9, 1396. https://doi.org/10.3390/app9071396
Corral-De-Witt D, Carrera EV, Muñoz-Romero S, Tepe K, Rojo-Álvarez JL. Multiple Correspondence Analysis of Emergencies Attended by Integrated Security Services. Applied Sciences. 2019; 9(7):1396. https://doi.org/10.3390/app9071396
Chicago/Turabian StyleCorral-De-Witt, Danilo, Enrique V. Carrera, Sergio Muñoz-Romero, Kemal Tepe, and José Luis Rojo-Álvarez. 2019. "Multiple Correspondence Analysis of Emergencies Attended by Integrated Security Services" Applied Sciences 9, no. 7: 1396. https://doi.org/10.3390/app9071396
APA StyleCorral-De-Witt, D., Carrera, E. V., Muñoz-Romero, S., Tepe, K., & Rojo-Álvarez, J. L. (2019). Multiple Correspondence Analysis of Emergencies Attended by Integrated Security Services. Applied Sciences, 9(7), 1396. https://doi.org/10.3390/app9071396

