A Visible and Near-IR Tunnel Photosensor with a Nanoscale Metal Emitter: The Effect of Matching of Hot Electrons Localization Zones and a Strong Electrostatic Field
Abstract
1. Introduction
2. Materials and Methods
2.1. The Design and Production Technology of a Photosensor
2.2. The Free Path Length of Hot Electrons in Molybdenum
2.3. A Model for Calculating the Optical Field in the Structure During Laser Irradiation
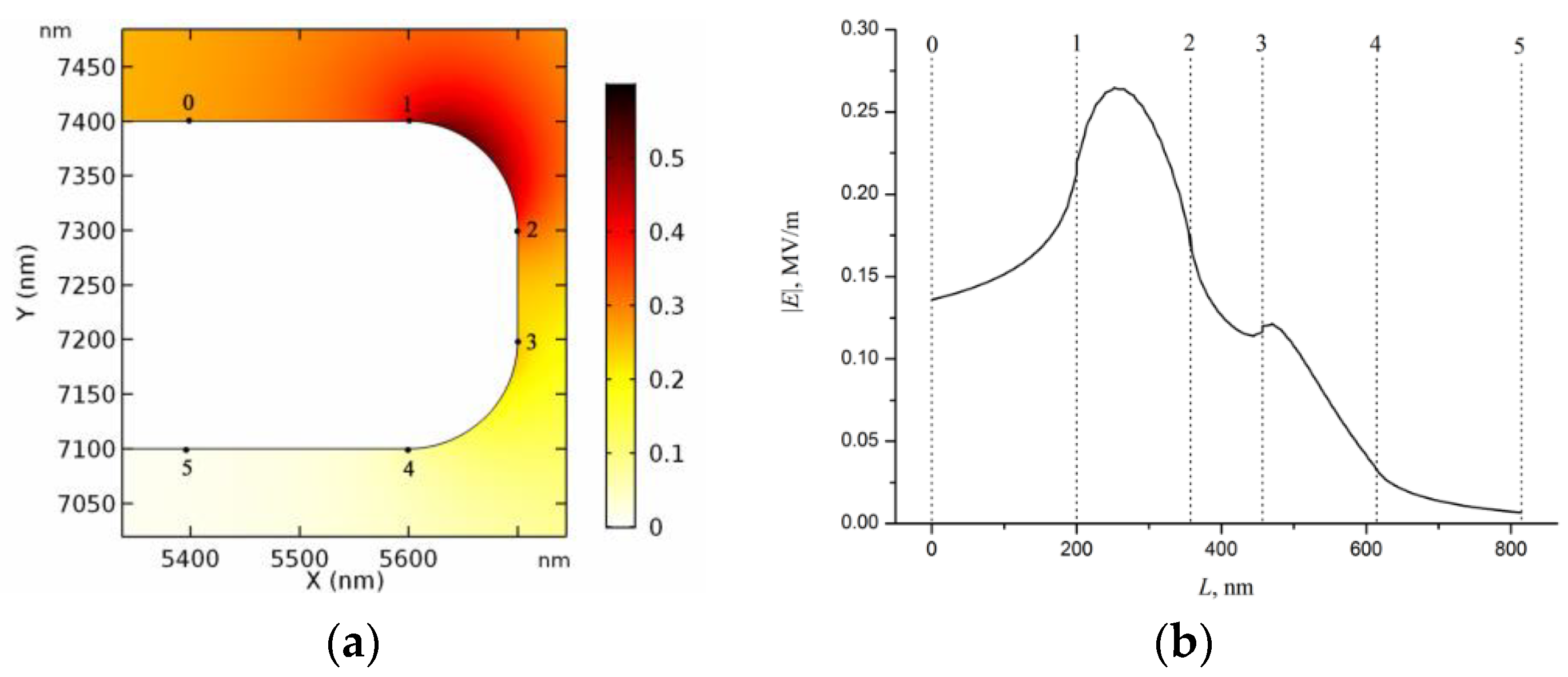
2.4. A Model for Calculation of the Electrostatic Field in the Structure
3. Results and Discussion
3.1. The Radiation Diffraction on the Structure
3.2. Spectral and Spatial Dependences of Amplification of the Optical and Electrostatic Fields on the Blade of the Structure
3.3. A Model for the Tunnel Photocurrent within the Structure
3.4. Design of the Experiment
3.5. Results of the Experimental Study and Their Interpretation
- (i)
 - The simplicity and low cost of manufacturing technology (traditional photolithography compared with e-beam lithography, molybdenum instead of gold).
 - (ii)
 - The “open” structure of the photosensor electrodes allows the formation of a directed electron flow from the tip of the blade into the free space. This is important for creating current sources for vacuum devices (X-ray tubes, UHF (Ultra high frequency) and THz (Terahertz) generators, and amplifiers) with ultrafast optical signal modulation. In known analogues with nanoscale vacuum gap, the possibility of forming an electron flow with a controlled trajectory is associated with great difficulties.
 
4. Conclusions
Author Contributions
Funding
Conflicts of Interest
References
- Brongersma, M.L.; Halas, N.J.; Nordlander, P. Plasmon-induced hot carrier science and technology. Nat. Nanotechnol. 2015, 10, 25–34. [Google Scholar] [CrossRef] [PubMed]
 - Goykhman, I.; Desiatov, B.; Khurgin, J.; Shappir, J.; Levy, U. Waveguide based compact silicon Schottky photodetector with enhanced responsivity in the telecom spectral band. Opt. Expess 2012, 20, 28594–28602. [Google Scholar] [CrossRef] [PubMed]
 - Wei, L.; Valentine, J. Metamaterial Perfect Absorber Based Hot Electron Photodetection. Nano Lett. 2014, 14, 3510–3514. [Google Scholar] [CrossRef]
 - Pu, H.; Kamruzzaman, M.; Sun, D.-W. Selection of feature wavelengths for developing multispectral imaging systems for quality, safety and authenticity of muscle foods-a review. Trends Food Sci. Technol. 2015, 45, 86–104. [Google Scholar] [CrossRef]
 - Piltan, S.; Sievenpiper, D. Plasmonic Nano-arrays for Enhanced Photoemission and Photodetection. JOSA B 2018, 35, 208–213. [Google Scholar] [CrossRef]
 - Forati, E.; Dill, T.J.; Tao, A.R.; Sievenpiper, D. Photoemission-based microelectronic devices. Nat. Commun. 2016, 7, 13399. [Google Scholar] [CrossRef]
 - Saidaminov, M.I.; Adinolfi, V.; Comin, R.; Abdelhady, A.L.; Peng, W.; Dursun, I.; Yuan, M.; Hoogland, S.; Sargent, E.H.; Bakr, O.M. Planar-integrated single-crystalline perovskite photodetectors. Nat. Commun. 2015, 6, 8724. [Google Scholar] [CrossRef]
 - Mak, K.F.; Shan, J. Photonics and optoelectronics of 2D semiconductor transition metal dichalcogenides. Nat. Photonics 2016, 10, 216–226. [Google Scholar] [CrossRef]
 - Buscema, M.; Groenendijk, D.J.; Blanter, S.I.; Steele, G.A.; van der Zant, H.S.J.; Castellanos-Gomez, A. Fast and Broadband Photoresponse of Few-Layer Black Phosphorus Field-Effect Transistors. Nano Lett. 2014, 14, 3347–3352. [Google Scholar] [CrossRef]
 - Huang, J.-A.; Luo, L.-B. Low-Dimensional Plasmonic Photodetectors: Recent Progress and Future Opportunities. Adv. Optical Mater. 2018, 6, 1701282. [Google Scholar] [CrossRef]
 - Zhang, Z.; Wang, K.; Zheng, K.; Deng, S.; Xu, N.; Chen, J. Electron Bombardment Induced Photoconductivity and High Gain in a Flat Panel Photodetector Based on ZnS Photoconductor and ZnO Nanowire Field Emitters. ACS Photonics 2018, 5, 4147–4155. [Google Scholar] [CrossRef]
 - Forati, E.; Sievenpiper, D. Electron emission by long and short wavelength lasers: Essentials for the design of plasmonic photocathodes. J. Appl. Phys. 2018, 124, 083101. [Google Scholar] [CrossRef]
 - Aban’shin, N.P.; Akchurin, G.G.; Avetisyan, Y.A.; Loginov, A.P.; Mosiyash, D.S.; Yakunin, A.N. Tunnel electron photoemission in the nanoscale DLC film structure with electrostatic field localization. Proc. SPIE 2017, 10337, 1033707. [Google Scholar] [CrossRef]
 - Aban’shin, N.P.; Avetisyan, Y.A.; Akchurin, G.G.; Loginov, A.P.; Morev, S.P.; Mosiyash, D.S.; Yakunin, A.N. A planar diamond-like carbon nanostructure for a low-voltage field emission cathode with a developed surface. Technical Phys. Lett. 2016, 42, 509–512. [Google Scholar] [CrossRef]
 - Foiles, C.L. Drude parameters of pure metals. In Electrical Resistivity, Thermoelectrical Power and Optical Properties; Hellwege, K.-H., Olsen, J.L., Eds.; Springer: Berlin/Heidelberg, Germany, 1985; pp. 212–222. ISBN 978-3-540-11694-3. [Google Scholar]
 - Abrikosov, A.A. Fundamentals of the Theory of Metals, Dover Edition; Dover Publications Inc.: New York, NY, USA, 2017; pp. 115–117. ISBN 0486819019. [Google Scholar]
 - Einstein, A. Übereinen die Erzeugung und Verwandlung des Lichtes betreffenden heuristischen Gesichtspunkt. Ann. Phys. 1905, 322, 132–148. [Google Scholar] [CrossRef]
 - Fowler, R.H. The analysis of photoelectric sensitivity curves for clean metals at various temperatures. Phys. Rev. 1931, 38, 45–56. [Google Scholar] [CrossRef]
 - Ordal, M.A.; Bell, R.J.; Alexander, R.W.; Newquist, L.A.; Querry, M.R. Optical properties of Al, Fe, Ti, Ta, W, and Mo at submillimeter wavelengths. Appl. Opt. 1988, 27, 1203–1209. [Google Scholar] [CrossRef]
 - Gao, L.; Lemarchand, F.; Lequime, M. Refractive index determination of SiO2 layer in the UV/Vis/NIR range: spectrophotometric reverse engineering on single and bi-layer designs. J. Europ. Opt. Soc. Rap. Public. 2013, 8, 13010. [Google Scholar] [CrossRef]
 - Nolle, E.L. Tunneling photoeffect mechanism in metallic nanoparticles activated by cesium and oxygen. Physics Uspekhi 2007, 50, 1079–1082. [Google Scholar] [CrossRef]
 - Chang, L.; Besteiro, L.V.; Sun, J.; Santiago, E.Y.; Gray, S.K.; Wang, Z.; Govorov, A.O. Electronic Structure of the Plasmons in Metal Nanocrystals: Fundamental Limitations for the Energy Efficiency of Hot Electron Generation. ACS Energy Lett. 2019, 4, 2552–2568. [Google Scholar] [CrossRef]
 - Akchurin, G.G.; Zimnyakov, D.A.; Aban’shin, N.P.; Akchurin, G.G., Jr.; Avetisyan, Y.A.; Loginov, A.P.; Yuvchenko, S.A.; Zarkov, S.V.; Yakunin, A.N. Spectral and polarization characteristics of a broadband vacuum photosensor with tunnel emission from a metal nanoscale blade. Proc. SPIE 2019, 11066, 110660A. [Google Scholar] [CrossRef]
 - Khorashad, L.K.; Besteiro, L.V.; Wang, Z.; Valentine, J.; Govorov, A.O. Localization of Temperature Using Plasmonic Hot Spots in Metal Nanostructures: The Nano-Optical Antenna Approach and Fano Effect. J. Phys. Chem. C 2016, 120. [Google Scholar] [CrossRef]
 - Tsujino, S.; Beaud, P.; Kirk, E.; Vogel, T.; Sehr, H.; Gobrecht, J.; Wrulich, A. Ultrafast electron emission from metallic nanotip arrays induced by near infrared femtosecond laser pulses. Appl. Phys. Lett. 2008, 92, 193501. [Google Scholar] [CrossRef]
 - Akchurin, G.G.; Yakunin, A.N.; Aban’shin, N.P.; Gorfinkel’, B.I.; Akchurin, G.G., Jr. Controlling the Red Boundary of the Tunneling Photoeffect in Nanodimensional Carbon Structures in a Broad (UV–IR) Wavelength Range. Tech. Phys. Lett. 2013, 39, 544–547. [Google Scholar] [CrossRef]
 - Yakunin, A.N.; Aban’shin, N.P.; Mosiyash, D.S.; Avetisyan, Y.A.; Akchurin, G.G. Features of field emission and formation of electron beam in a multi-electrode planar cathode. In Proceedings of the 2018 International Conference on Actual Problems of Electron Devices Engineering (APEDE), Saratov, Russia, 27–28 September 2018; Amirit Co. Ltd.: Saratov, Russia, 2018; pp. 249–252. [Google Scholar] [CrossRef]
 - Yakunin, A.N.; Aban’shin, N.P.; Avetisyan, Y.A.; Akchurin, G.G.; Akchurin, G.G., Jr.; Loginov, A.P.; Morev, S.P.; Mosiyash, D.S. Stabilization of Field- and Photoemission of a Planar Structure with a Nanosized Diamond-Like Carbon Film. J. Commun. Technol. Electron. 2019, 64, 83–88. [Google Scholar] [CrossRef]
 











© 2019 by the authors. Licensee MDPI, Basel, Switzerland. This article is an open access article distributed under the terms and conditions of the Creative Commons Attribution (CC BY) license (http://creativecommons.org/licenses/by/4.0/).
Share and Cite
Yakunin, A.; Aban’shin, N.; Akchurin, G.; Avetisyan, Y.; Loginov, A.; Yuvchenko, S.; Zarkov, S.; Volchkov, S.; Zimnyakov, D. A Visible and Near-IR Tunnel Photosensor with a Nanoscale Metal Emitter: The Effect of Matching of Hot Electrons Localization Zones and a Strong Electrostatic Field. Appl. Sci. 2019, 9, 5356. https://doi.org/10.3390/app9245356
Yakunin A, Aban’shin N, Akchurin G, Avetisyan Y, Loginov A, Yuvchenko S, Zarkov S, Volchkov S, Zimnyakov D. A Visible and Near-IR Tunnel Photosensor with a Nanoscale Metal Emitter: The Effect of Matching of Hot Electrons Localization Zones and a Strong Electrostatic Field. Applied Sciences. 2019; 9(24):5356. https://doi.org/10.3390/app9245356
Chicago/Turabian StyleYakunin, Alexander, Nikolay Aban’shin, Garif Akchurin, Yuri Avetisyan, Alexander Loginov, Sergey Yuvchenko, Sergey Zarkov, Sergey Volchkov, and Dmitry Zimnyakov. 2019. "A Visible and Near-IR Tunnel Photosensor with a Nanoscale Metal Emitter: The Effect of Matching of Hot Electrons Localization Zones and a Strong Electrostatic Field" Applied Sciences 9, no. 24: 5356. https://doi.org/10.3390/app9245356
APA StyleYakunin, A., Aban’shin, N., Akchurin, G., Avetisyan, Y., Loginov, A., Yuvchenko, S., Zarkov, S., Volchkov, S., & Zimnyakov, D. (2019). A Visible and Near-IR Tunnel Photosensor with a Nanoscale Metal Emitter: The Effect of Matching of Hot Electrons Localization Zones and a Strong Electrostatic Field. Applied Sciences, 9(24), 5356. https://doi.org/10.3390/app9245356
        
