Day-Ahead Optimal Battery Operation in Islanded Hybrid Energy Systems and Its Impact on Greenhouse Gas Emissions
Abstract
:1. Introduction
1.1. Literature Review
1.2. Main Contributions
2. Hybrid Energy System Model
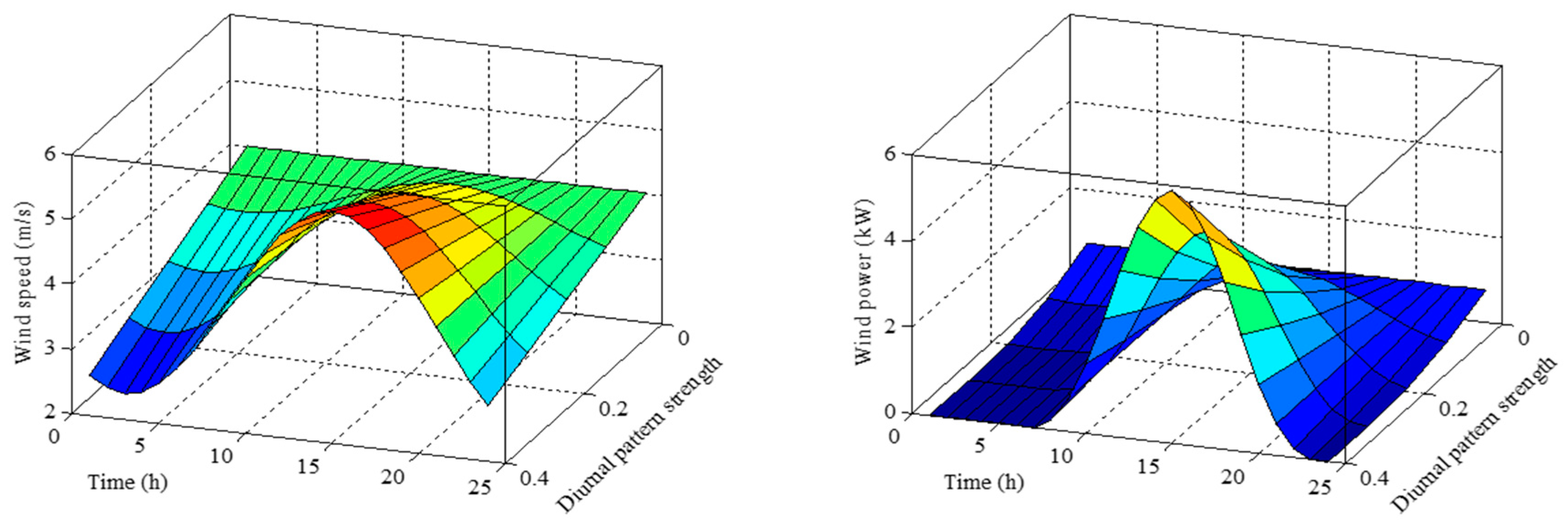
2.1. Wind Generator Model
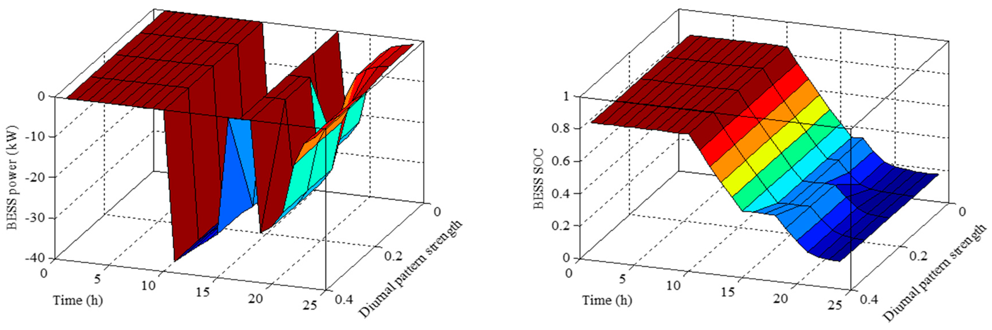
2.2. BESS and Power Converter Models
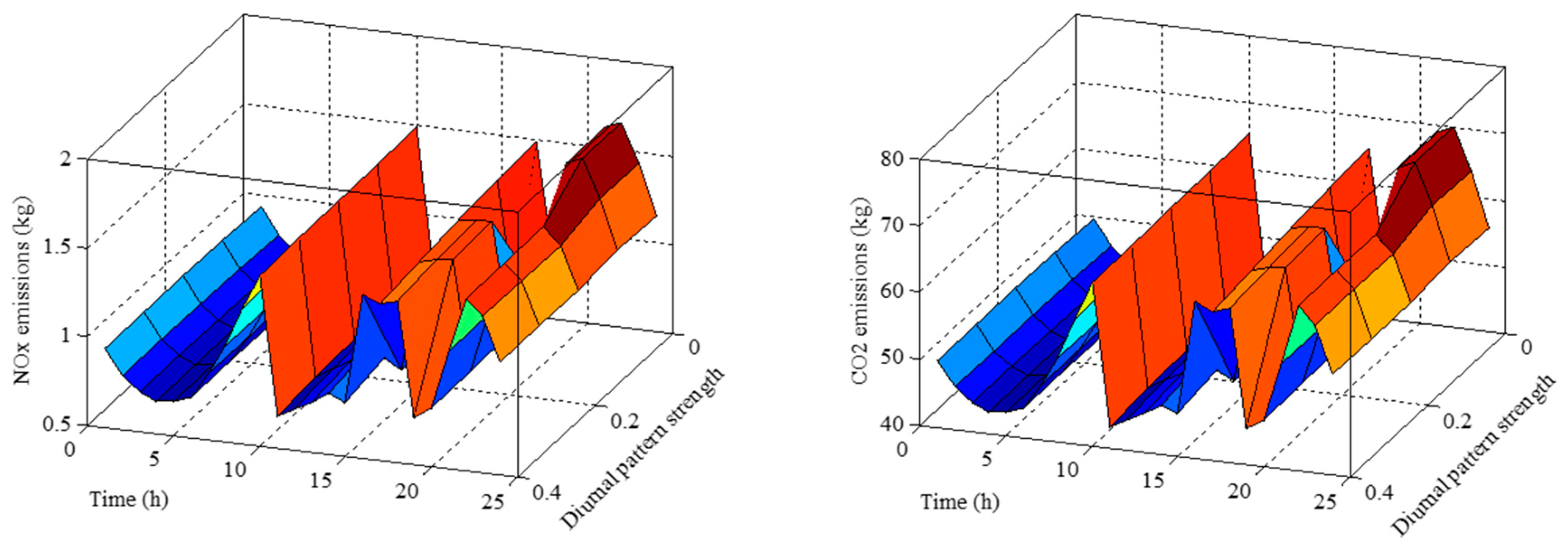
2.3. Diesel Generator Model
3. Optimization of Day-Ahead Operation
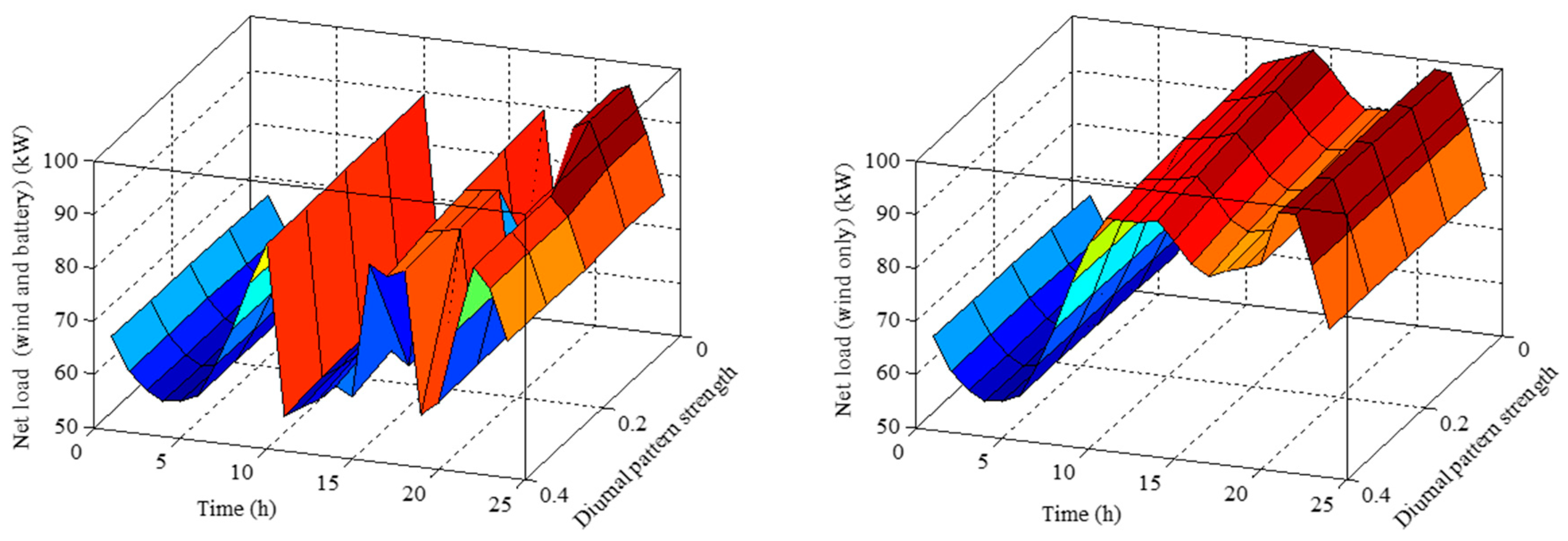
3.1. Problem Formulation
3.2. Optimization by TVMS-BPSO
4. Testing the Problem Formulation
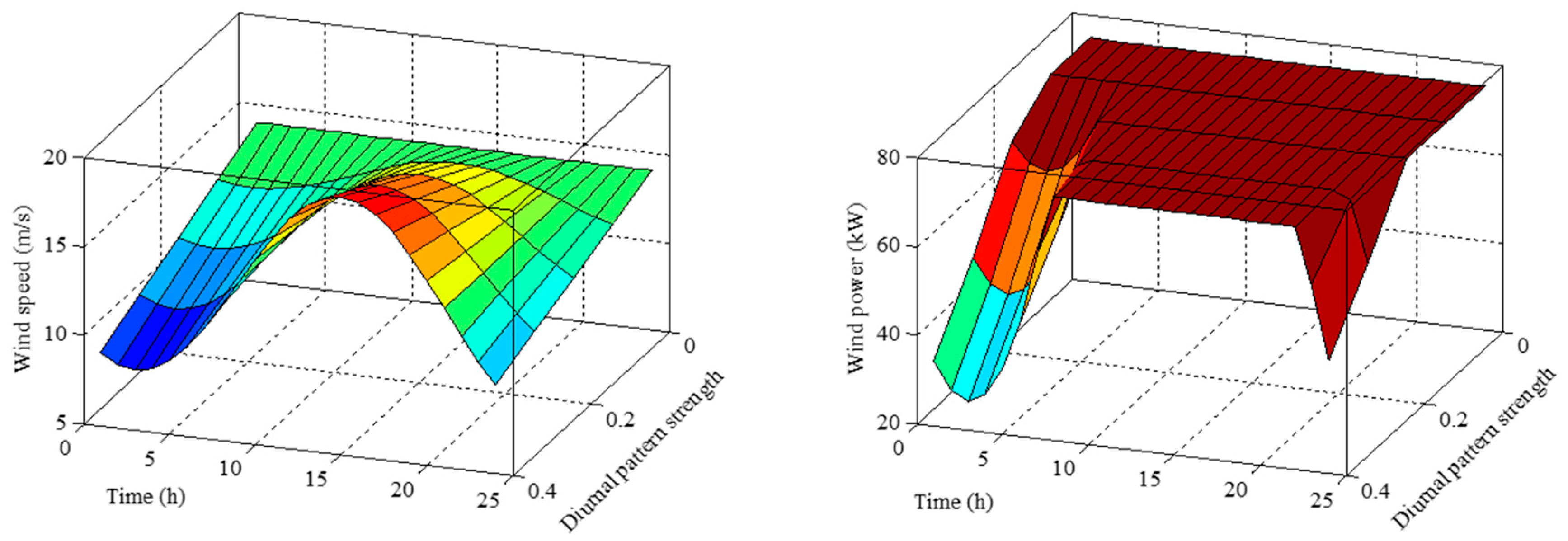
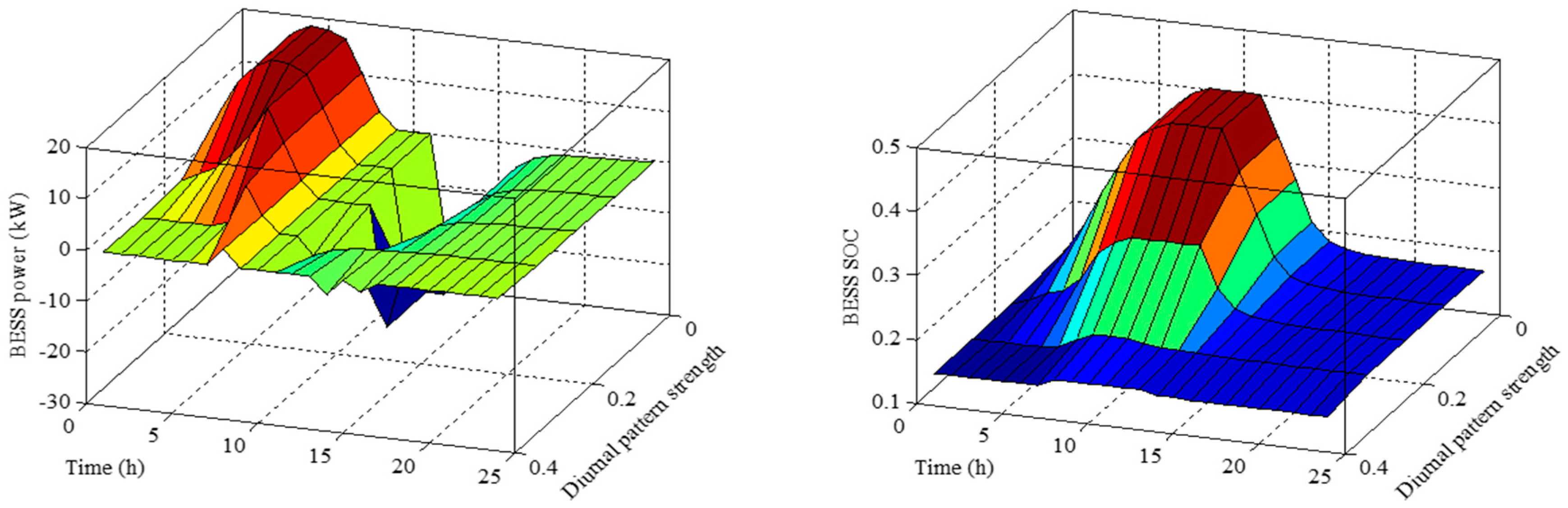
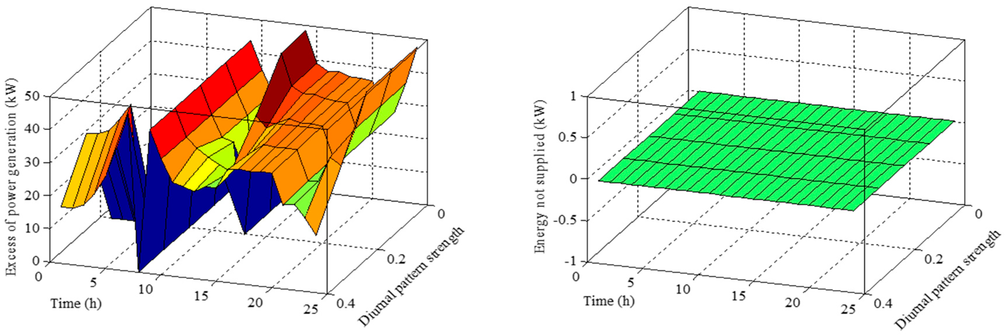
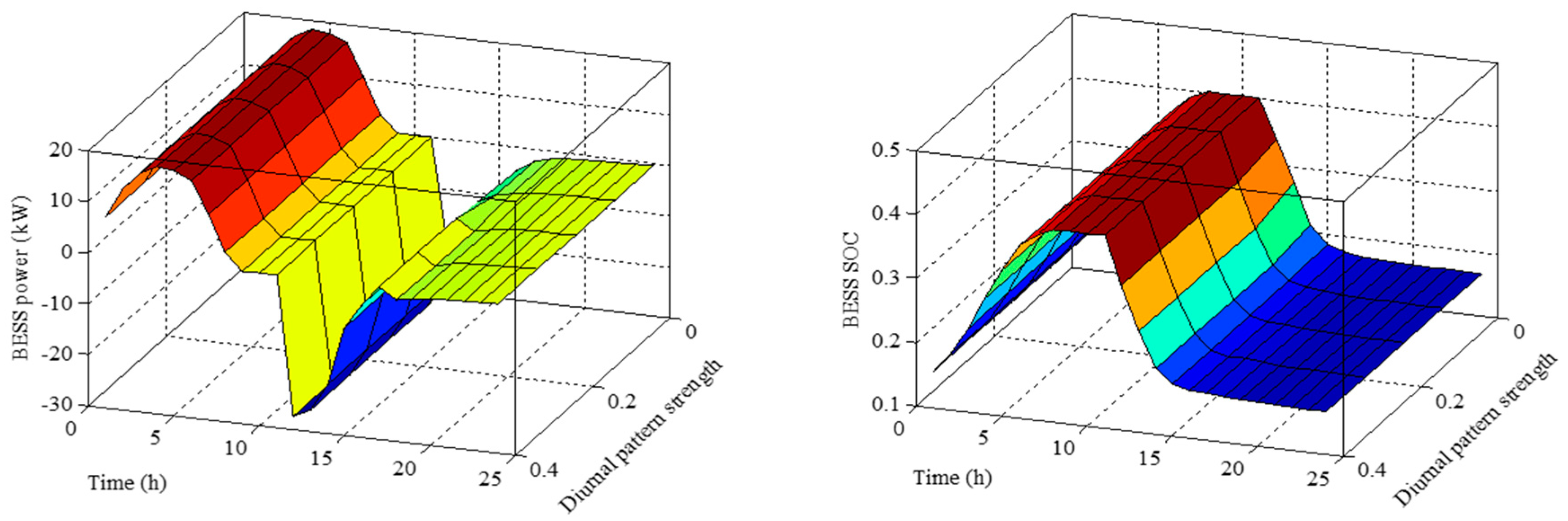
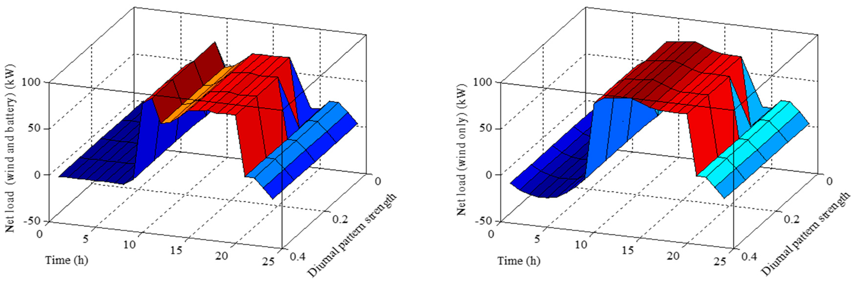
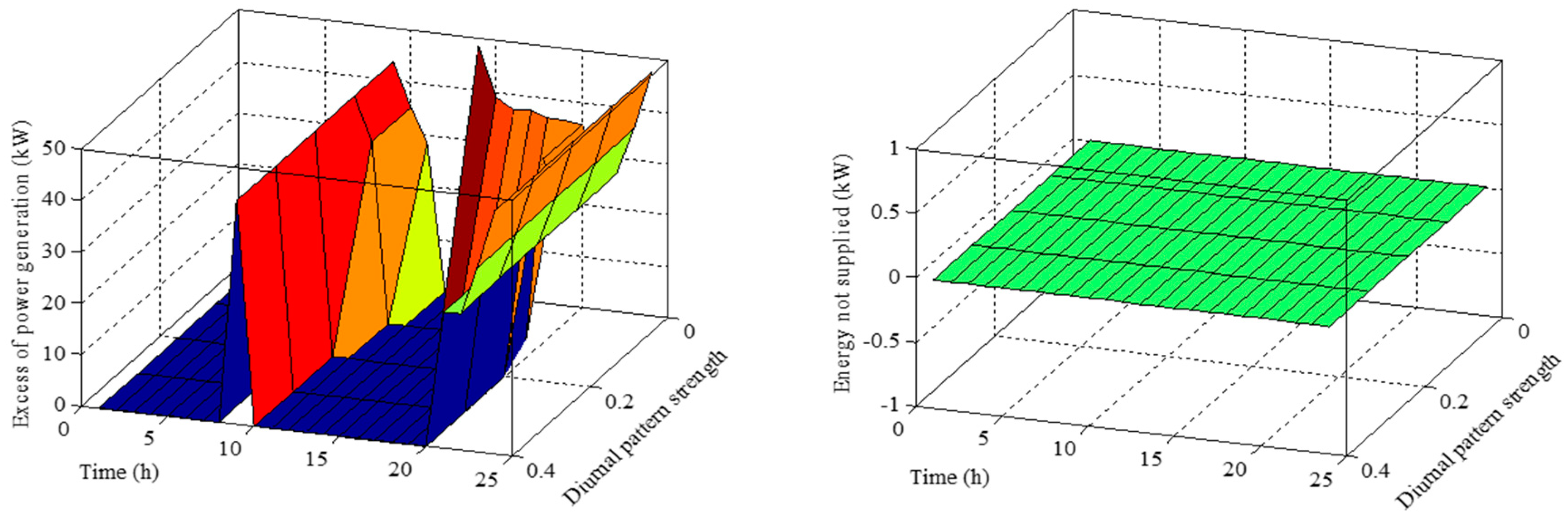
4.1. Case I: Low Wind Speed with Fully Charged Battery
4.2. Case II: High Wind Speed with Empty Battery
4.3. Case III: Very High Wind Speed with Empty Battery
5. Performance of TVMS-BPSO
6. Conclusions and Remarks
Author Contributions
Funding
Conflicts of Interest
Abbreviations
| Index for each individual (). | |
| Index for each iteration (). | |
| Index for each time step (). | |
| Wind speed at time (m/s). | |
| and | Cut-in, rated, and cut-off wind speed, respectively (m/s). |
| Average wind speed (m/s). | |
| Diurnal pattern strength. | |
| Hour of peak wind speed (h). | |
| Wind power at time (kW). | |
| Rated wind turbine power (kW). | |
| and | Parameters of wind turbine power curve. |
| Electrolyte temperature (K). | |
| Battery voltage at time (V). | |
| Battery efficiency at time (V). | |
| Battery state of charge at time . | |
| Battery power at time (kW). | |
| Converter power at time (kW). | |
| Converter power of individual at time and iteration (kW). | |
| Load demand at time (kW). | |
| Net load at time (kW). | |
| Diesel power at time (kW). | |
| Parameter of diesel power calculation (kW). | |
| Power surplus at time (kW). | |
| Power not supplied at time (kW). | |
| , | Minimum and maximum battery voltage (V), respectively. |
| , | Minimum and maximum state of charge, respectively. |
| and | Maximum battery and converter power (kW), respectively. |
| Maximum battery capacity (kWh). | |
| , | Minimum and maximum diesel power (kW). |
| Battery voltage during charge at time (V). | |
| , , , | Parameters of battery voltage during charging. |
| Battery efficiency during charge at time (V). | |
| Voltage efficiency during charge at time . | |
| Energy efficiency during charge at time . | |
| Battery voltage during discharge at time (V). | |
| , | Parameters of battery voltage during discharging. |
| Battery efficiency during discharge at time (V). | |
| Voltage efficiency during discharge at time . | |
| Energy efficiency during discharge at time . | |
| Parameters of power converter. | |
| Agent or individual at iteration . | |
| Population or swarm at iteration . | |
| Objective function of individual at iteration . | |
| Coefficient of particle swarm optimization. | |
| Random variables. | |
| Velocity of agent at time and iteration . | |
| Position of agent at time and iteration . | |
| Position of best agent in the group () at time . | |
| Position of best agent until the actual iteration () at time . | |
| Time-varying variable for iteration . | |
| , | Minimum and maximum value of . |
| , | Sigmoid function values for agent at time for iteration . |
| , | Binary variables for agent at time for iteration . |
| , | Objective function values for agent and iteration . |
References
- Rogelj, J.; Huppmann, D.; Krey, V.; Riahi, K.; Clarke, L.; Gidden, M.; Nicholls, Z.; Meinshausen, M. A new scenario logic for the Paris Agreement long-term temperature goal. Nature 2019, 573, 357–363. [Google Scholar] [CrossRef]
- Pfeifer, A.; Krajačić, G.; Ljubas, D.; Duić, N. Increasing the integration of solar photovoltaics in energy mix on the road to low emissions energy system—Economic and environmental implications. Renew. Energy 2019, 143, 1310–1317. [Google Scholar] [CrossRef]
- Martí-Ballester, C.-P. Do European renewable energy mutual funds foster the transition to a low-carbon economy? Renew. Energy 2019, 143, 1299–1309. [Google Scholar] [CrossRef]
- Arbabzadeh, M.; Sioshansi, R.; Johnson, J.X.; Keoleian, G.A. The role of energy storage in deep decarbonization of electricity production. Nat. Commun. 2019, 10, 1–11. [Google Scholar] [CrossRef]
- Sgouridis, S.; Carbajales-Dale, M.; Csala, D.; Chiesa, M.; Bardi, U. Comparative net energy analysis of renewable electricity and carbon capture and storage. Nat. Energy 2019, 4, 456–465. [Google Scholar] [CrossRef]
- Comello, S.; Reichelstein, S. The emergence of cost effective battery storage. Nat. Commun. 2019, 10, 1–9. [Google Scholar] [CrossRef]
- HOMER Pro. Available online: https://www.homerenergy.com/ (accessed on 14 October 2019).
- iHOGA. Available online: https://ihoga.unizar.es/ (accessed on 14 October 2019).
- Hybrid2. Available online: https://www.umass.edu/ (accessed on 14 October 2019).
- Lambert, T.; Gilman, P.; Lilienthal, P. Micropower system modeling with HOMER. In Integration of Alternative Sources of Energy, 1st ed.; Farret, F.A., Simões, M.G., Eds.; Wiley-IEEE Press: Hoboken, NJ, USA, 2006; pp. 379–418. [Google Scholar]
- Li, Q.; Choi, S.S.; Yuan, Y.; Yao, D.L. On the determination of battery energy storage capacity and short-term power dispatch of a wind farm. IEEE Trans. Sustain. Energy 2011, 2, 148–158. [Google Scholar] [CrossRef]
- Luo, F.; Meng, K.; Dong, Z.Y.; Zheng, Y.; Chen, Y.; Wong, K.P. Coordinated operational planning for wind farm with battery energy storage system. IEEE Trans. Sustain. Energy 2015, 6, 253–262. [Google Scholar] [CrossRef]
- Mohammadi, S.; Mozafari, B.; Solymani, S.; Niknam, T. Stochastic scenario-based model and investigating size of energy storages for PEM-fuel cell unit commitment of micro-grid considering profitable strategies. IET Gener. Transm. Distrib. 2014, 8, 1228–1243. [Google Scholar] [CrossRef]
- O’Dwyer, C.; Flynn, D. Using energy storage to manage high net load variability at sub-hourly time-scales. IEEE Trans. Power Syst. 2015, 30, 2139–2148. [Google Scholar] [CrossRef]
- Wen, Y.; Guo, C.; Pandžić, H.; Kirschen, D.S. Enhanced security-constrained unit commitment with emerging utility-scale energy storage. IEEE Trans. Power Syst. 2016, 31, 652–662. [Google Scholar] [CrossRef]
- Wen, Y.; Li, W.; Huang, G.; Liu, X. Frequency dynamics constrained unit commitment with battery energy storage. IEEE Trans. Power Syst. 2016, 31, 5115–5125. [Google Scholar] [CrossRef]
- Nguyen, T.A.; Crow, M.L. Stochastic optimization of renewable-based microgrid operation incorporating battery operating cost. IEEE Trans. Power Syst. 2016, 31, 2289–2296. [Google Scholar] [CrossRef]
- Khorramdel, H.; Aghaei, J.; Khorramdel, B.; Siano, P. Optimal battery sizing in microgrids using probabilistic unit commitment. IEEE Trans. Ind. Inform. 2016, 12, 834–843. [Google Scholar] [CrossRef]
- Li, N.; Uçkun, C.; Constantinescu, E.M.; Birge, J.R.; Hedman, K.W.; Botterud, A. Flexible operation of batteries in power system scheduling with renewable energy. IEEE Trans. Sustain. Energy 2016, 7, 685–696. [Google Scholar] [CrossRef]
- Jiang, Y.; Xu, J.; Sun, Y.; Wei, C.; Wang, J.; Ke, D.; Li, X.; Yang, J.; Peng, X.; Tang, B. Day-ahead stochastic economic dispatch of wind integrated power system considering demand response of residential hybrid energy system. Appl. Energy 2017, 190, 1126–1137. [Google Scholar] [CrossRef]
- Anand, H.; Ramasubbu, R. A real time pricing strategy for remote micro-grid with economic emission dispatch and stochastic renewable energy sources. Renew. Energy 2018, 127, 779–789. [Google Scholar] [CrossRef]
- Wu, X.; Zhang, K.; Cheng, M.; Xin, X. A switched dynamical system approach towards the economic dispatch of renewable hybrid power systems. Int. J. Electr. Power Energy Syst. 2018, 103, 440–457. [Google Scholar] [CrossRef]
- Dui, X.; Zhu, G.; Yao, L. Two-stage optimization of battery energy storage capacity to decrease wind power curtailment in grid-connected wind farms. IEEE Trans. Power Syst. 2018, 33, 3296–3305. [Google Scholar] [CrossRef]
- Psarros, G.N.; Karamanou, E.G.; Papathanassiou, S.A. Feasibility analysis of centralized storage facilities in isolated grids. IEEE Trans. Sustain. Energy 2018, 9, 1822–1832. [Google Scholar] [CrossRef]
- Psarros, G.N.; Papathanassiou, S.A. Internal dispatch for RES-storage hybrid power stations in isolated grids. Renew. Energy 2020, 147, 2141–2150. [Google Scholar] [CrossRef]
- Ahmadi, A.; Nezhad, A.E.; Hredzak, B. Security-constrained unit commitment in presence of lithium-ion battery storage units using information-gap decision theory. IEEE Trans. Ind. Inform. 2019, 15, 148–157. [Google Scholar] [CrossRef]
- Saleh, S.A. Testing a unit commitment based controller for grid-connected PMG-based WECSs with generator-charged battery units. IEEE Trans. Ind. Appl. 2019, 55, 2185–2197. [Google Scholar] [CrossRef]
- Gupta, P.P.; Jain, P.; Sharma, S.; Sharma, K.C.; Bhakar, R. Stochastic scheduling of battery energy storage system for large-scale wind power penetration. J. Eng. 2019, 2019, 5028–5032. [Google Scholar]
- Alvarez, M.; Rönnberg, S.K.; Bermúdez, J.; Zhong, J.; Bollen, M.H.J. A generic storage model based on a future cost piecewise-linear approximation. IEEE Trans. Smart Grid 2019, 10, 878–888. [Google Scholar] [CrossRef]
- Chen, L.; Zhu, X.; Cai, J.; Xu, X.; Liu, H. Multi-time scale coordinated optimal dispatch of microgrid cluster based on MAS. Electr. Power Syst. Res. 2019, 177, 105976. [Google Scholar] [CrossRef]
- Tan, Q.; Ding, Y.; Ye, Q.; Mei, S.; Zhang, Y.; Wei, Y. Optimization and evaluation of a dispatch mode for an integrated wind-photovoltaic-thermal power system based on dynamic carbon emissions trading. Appl. Energy 2019, 253, 113598. [Google Scholar] [CrossRef]
- Yiwei, F.; Zongxiang, L.; Wei, H.; Shuang, W.; Yiting, W.; Ling, D.; Jietan, Z. Research on joint optimal dispatching method for hybrid power system considering system security. Appl. Energy 2019, 238, 147–163. [Google Scholar]
- Giorsetto, P.; Utsurogi, K.F. Development of a new procedure for reliability modeling of wind generating units. IEEE Trans. Power Appar. Syst. 1983, PAS-102, 134–143. [Google Scholar] [CrossRef]
- Dialynas, E.N.; Machias, A.V. Reliability modelling interactive techniques of power systems including wind generating units. Archiv Elektrotechnik 1989, 72, 33–41. [Google Scholar] [CrossRef]
- Qiu, X.; Nguyen, T.A.; Guggenberger, J.D.; Crow, M.L.; Elmore, A.C. A field validated model of a vanadium redox flow battery for microgrids. IEEE Trans. Smart Grid 2014, 5, 1592–1601. [Google Scholar] [CrossRef]
- Nguyen, T.A.; Qiu, X.; Guggenberger, J.D., II; Crow, M.L.; Elmore, A.C. Performance characterization for photovoltaic-vanadium redox battery microgrid systems. IEEE Trans. Sustain. Energy 2014, 5, 1379–1388. [Google Scholar] [CrossRef]
- Nguyen, T.A.; Crow, M.L.; Elmore, A.C. Optimal sizing of a vanadium redox battery system for microgrid systems. IEEE Trans. Sustain. Energy 2015, 6, 729–737. [Google Scholar] [CrossRef]
- Rampinelli, G.A.; Krenzinger, A.; Romero, F.C. Mathematical models for efficiency of inverters used in grid connected photovoltaic systems. Renew. Sustain. Energy Rev. 2014, 34, 578–587. [Google Scholar] [CrossRef]
- Lujano-Rojas, J.M.; Dufo-López, R.; Bernal-Agustín, J.L.; Catalão, J.P.S. Optimizing daily operation of battery energy storage systems under real-time pricing schemes. IEEE Trans. Smart Grid 2017, 8, 316–330. [Google Scholar] [CrossRef]
- Beheshti, Z. A time-varying mirrored S-shaped transfer function for binary particle swarm optimization. Inf. Sci. 2019. [Google Scholar] [CrossRef]
- Lujano-Rojas, J.M.; Dufo-López, R.; Bernal-Agustín, J.L. Technical and economic effects of charge controller operation and coulombic efficiency on stand-alone hybrid power systems. Energy Convers. Manag. 2014, 86, 709–716. [Google Scholar] [CrossRef]
- Shah, S.D.; Cocker, D.R., III; Johnson, K.C.; Lee, J.M.; Soriano, B.L.; Miller, J.W. Emissions of regulated pollutants from in-use diesel back-up generators. Atmos. Environ. 2006, 40, 4199–4209. [Google Scholar] [CrossRef]

































| THC (kg) | CO (kg) | NOX (kg) | CO2 (kg) | PM (kg) | |
|---|---|---|---|---|---|
| 0 | 1.37 | 7.18 | 31.18 | 1444.12 | 0.49 |
| 0.1 | 1.38 | 7.08 | 31.13 | 1442.31 | 0.48 |
| 0.2 | 1.38 | 6.94 | 30.98 | 1438.01 | 0.48 |
| 0.3 | 1.39 | 6.75 | 30.76 | 1431.30 | 0.47 |
| 0.4 | 1.40 | 6.53 | 30.47 | 1422.96 | 0.46 |
| THC (g) | CO (g) | NOX (kg) | CO2 (kg) | PM (g) | |
|---|---|---|---|---|---|
| 0 | 1.57 | 3.51 | 24.70 | 1261.25 | 0.32 |
| 0.1 | 1.57 | 3.50 | 24.65 | 1260.11 | 0.32 |
| 0.2 | 1.58 | 3.36 | 24.57 | 1257.46 | 0.32 |
| 0.3 | 1.58 | 3.30 | 24.36 | 1251.68 | 0.31 |
| 0.4 | 1.58 | 3.22 | 24.09 | 1244.37 | 0.31 |
| THC (%) | CO (%) | NOX (%) | CO2 (%) | PM (%) | |
|---|---|---|---|---|---|
| 0 | −14.43 | 51.19 | 20.79 | 12.66 | 33.54 |
| 0.1 | −14.10 | 50.61 | 20.79 | 12.63 | 32.98 |
| 0.2 | −13.97 | 51.54 | 20.68 | 12.56 | 33.37 |
| 0.3 | −13.48 | 51.09 | 20.80 | 12.55 | 32.72 |
| 0.4 | −12.92 | 50.66 | 20.95 | 12.55 | 32.00 |
| / | Without BESS | With BESS | ||||||||
|---|---|---|---|---|---|---|---|---|---|---|
| 0 | 0.1 | 0.2 | 0.3 | 0.4 | 0 | 0.1 | 0.2 | 0.3 | 0.4 | |
| 1 | 66.8 | 67.3 | 67.5 | 67.6 | 67.6 | 66.8 | 67.3 | 67.5 | 67.6 | 67.6 |
| 2 | 60.8 | 61.3 | 61.5 | 61.5 | 61.5 | 60.8 | 61.3 | 61.5 | 61.5 | 61.5 |
| 3 | 57.4 | 57.9 | 58.2 | 58.2 | 58.2 | 57.4 | 57.9 | 58.2 | 58.2 | 58.2 |
| 4 | 55.7 | 56.2 | 56.5 | 56.5 | 56.5 | 55.7 | 56.2 | 56.5 | 56.5 | 56.5 |
| 5 | 56.2 | 56.6 | 56.9 | 56.9 | 56.9 | 56.2 | 56.6 | 56.9 | 56.9 | 56.9 |
| 6 | 57.6 | 58.0 | 58.3 | 58.4 | 58.4 | 57.6 | 58.0 | 58.3 | 58.4 | 58.4 |
| 7 | 63.9 | 64.2 | 64.4 | 64.6 | 64.6 | 63.9 | 64.2 | 64.4 | 64.6 | 64.6 |
| 8 | 71.0 | 71.2 | 71.3 | 71.4 | 71.5 | 71.0 | 71.2 | 71.3 | 71.4 | 71.5 |
| 9 | 80.6 | 80.6 | 80.6 | 80.6 | 80.6 | 80.6 | 80.6 | 80.6 | 80.6 | 80.6 |
| 10 | 89.2 | 89.0 | 88.8 | 88.6 | 88.3 | 89.2 | 89.0 | 88.8 | 88.6 | 88.3 |
| 11 | 95.7 | 95.3 | 94.9 | 94.3 | 93.7 | 58.4 | 58.0 | 57.6 | 57.0 | 56.4 |
| 12 | 96.7 | 96.2 | 95.5 | 94.6 | 93.6 | 61.6 | 61.0 | 60.3 | 59.5 | 58.4 |
| 13 | 97.8 | 97.1 | 96.2 | 95.0 | 93.6 | 64.7 | 64.0 | 63.0 | 61.9 | 60.5 |
| 14 | 99.2 | 98.4 | 97.4 | 96.0 | 94.4 | 68.1 | 67.3 | 66.2 | 64.9 | 63.2 |
| 15 | 96.1 | 95.3 | 94.1 | 92.7 | 91.0 | 66.9 | 66.0 | 64.9 | 63.4 | 61.7 |
| 16 | 91.9 | 91.1 | 90.0 | 88.7 | 87.0 | 64.4 | 63.6 | 62.6 | 61.2 | 87.0 |
| 17 | 89.4 | 88.7 | 87.8 | 86.6 | 85.2 | 89.4 | 88.7 | 87.8 | 86.6 | 85.2 |
| 18 | 89.6 | 89.1 | 88.4 | 87.5 | 86.5 | 63.8 | 63.2 | 88.4 | 87.5 | 86.5 |
| 19 | 89.4 | 89.0 | 88.6 | 88.1 | 87.4 | 67.4 | 67.0 | 88.6 | 88.1 | 60.0 |
| 20 | 89.4 | 89.2 | 89.0 | 88.8 | 88.5 | 79.5 | 79.3 | 63.2 | 62.9 | 62.7 |
| 21 | 98.6 | 98.6 | 98.6 | 98.6 | 98.6 | 94.3 | 94.3 | 76.6 | 76.6 | 76.6 |
| 22 | 98.2 | 98.4 | 98.5 | 98.6 | 98.7 | 95.9 | 96.0 | 88.6 | 88.8 | 88.9 |
| 23 | 88.8 | 89.1 | 89.3 | 89.5 | 89.5 | 87.2 | 87.6 | 85.0 | 85.2 | 85.2 |
| 24 | 77.3 | 77.7 | 77.9 | 78.0 | 78.0 | 76.1 | 76.6 | 75.6 | 75.7 | 75.7 |
| THC (kg) | CO (kg) | NOX (kg) | CO2 (kg) | PM (kg) | |
|---|---|---|---|---|---|
| 0 | 1.17 | 0.62 | 8.48 | 629.60 | 0.14 |
| 0.1 | 1.17 | 0.62 | 8.48 | 629.60 | 0.14 |
| 0.2 | 1.17 | 0.62 | 8.48 | 629.60 | 0.14 |
| 0.3 | 1.53 | 0.82 | 11.13 | 826.35 | 0.19 |
| 0.4 | 1.68 | 0.90 | 12.19 | 905.05 | 0.21 |
| THC (kg) | CO (kg) | NOX (kg) | CO2 (kg) | PM (kg) | |
|---|---|---|---|---|---|
| 0 | 1.02 | 0.55 | 7.42 | 550.90 | 0.13 |
| 0.1 | 1.02 | 0.55 | 7.42 | 550.90 | 0.13 |
| 0.2 | 1.10 | 0.59 | 7.95 | 590.25 | 0.14 |
| 0.3 | 1.53 | 0.82 | 11.13 | 826.35 | 0.19 |
| 0.4 | 1.68 | 0.90 | 12.19 | 905.05 | 0.21 |
| THC (%) | CO (%) | NOX (%) | CO2 (%) | PM (%) | |
|---|---|---|---|---|---|
| 0 | 12.5 | 12.5 | 12.5 | 12.5 | 12.5 |
| 0.1 | 12.5 | 12.5 | 12.5 | 12.5 | 12.5 |
| 0.2 | 6.25 | 6.25 | 6.25 | 6.25 | 6.25 |
| 0.3 | 0 | 0 | 0 | 0 | 0 |
| 0.4 | 0 | 0 | 0 | 0 | 0 |
| / | Without BESS | With BESS | ||||||||
|---|---|---|---|---|---|---|---|---|---|---|
| 0 | 0.1 | 0.2 | 0.3 | 0.4 | 0 | 0.1 | 0.2 | 0.3 | 0.4 | |
| 1 | 0 | 0 | 0 | 50 | 50 | 0 | 0 | 0 | 50 | 50 |
| 2 | 0 | 0 | 0 | 50 | 50 | 0 | 0 | 0 | 50 | 50 |
| 3 | 0 | 0 | 0 | 50 | 50 | 0 | 0 | 0 | 50 | 50 |
| 4 | 0 | 0 | 0 | 50 | 50 | 0 | 0 | 0 | 50 | 50 |
| 5 | 0 | 0 | 0 | 50 | 50 | 0 | 0 | 0 | 50 | 50 |
| 6 | 0 | 0 | 0 | 0 | 50 | 0 | 0 | 0 | 0 | 50 |
| 7 | 0 | 0 | 0 | 0 | 50 | 0 | 0 | 0 | 0 | 50 |
| 8 | 0 | 0 | 0 | 0 | 0 | 0 | 0 | 0 | 0 | 0 |
| 9 | 50 | 50 | 50 | 50 | 50 | 50 | 50 | 50 | 50 | 50 |
| 10 | 50 | 50 | 50 | 50 | 50 | 50 | 50 | 50 | 50 | 50 |
| 11 | 50 | 50 | 50 | 50 | 50 | 50 | 50 | 50 | 50 | 50 |
| 12 | 50 | 50 | 50 | 50 | 50 | 0 | 0 | 50 | 50 | 50 |
| 13 | 50 | 50 | 50 | 50 | 50 | 0 | 0 | 0 | 50 | 50 |
| 14 | 50 | 50 | 50 | 50 | 50 | 50 | 50 | 50 | 50 | 50 |
| 15 | 50 | 50 | 50 | 50 | 50 | 50 | 50 | 50 | 50 | 50 |
| 16 | 50 | 50 | 50 | 50 | 50 | 50 | 50 | 50 | 50 | 50 |
| 17 | 50 | 50 | 50 | 50 | 50 | 50 | 50 | 50 | 50 | 50 |
| 18 | 50 | 50 | 50 | 50 | 50 | 50 | 50 | 50 | 50 | 50 |
| 19 | 50 | 50 | 50 | 50 | 50 | 50 | 50 | 50 | 50 | 50 |
| 20 | 50 | 50 | 50 | 50 | 50 | 50 | 50 | 50 | 50 | 50 |
| 21 | 50 | 50 | 50 | 50 | 50 | 50 | 50 | 50 | 50 | 50 |
| 22 | 50 | 50 | 50 | 50 | 50 | 50 | 50 | 50 | 50 | 50 |
| 23 | 50 | 50 | 50 | 50 | 50 | 50 | 50 | 50 | 50 | 50 |
| 24 | 50 | 50 | 50 | 50 | 50 | 50 | 50 | 50 | 50 | 50 |
| THC (kg) | CO (kg) | NOX (kg) | CO2 (kg) | PM (kg) | |
|---|---|---|---|---|---|
| 0 | 1.17 | 0.62 | 8.48 | 629.60 | 0.14 |
| 0.1 | 0.94 | 4.59 | 18.35 | 899.93 | 0.32 |
| 0.2 | 0.90 | 5.28 | 20.30 | 953.02 | 0.35 |
| 0.3 | 0.90 | 5.28 | 20.30 | 953.02 | 0.35 |
| 0.4 | 0.90 | 5.28 | 20.30 | 953.02 | 0.35 |
| THC (kg) | CO (kg) | NOX (kg) | CO2 (kg) | PM (kg) | |
|---|---|---|---|---|---|
| 0 | 1.02 | 0.55 | 7.42 | 550.90 | 0.13 |
| 0.1 | 1.02 | 2.89 | 16.05 | 833.17 | 0.24 |
| 0.2 | 0.98 | 3.59 | 18.01 | 886.27 | 0.27 |
| 0.3 | 0.98 | 3.59 | 18.01 | 886.27 | 0.27 |
| 0.4 | 0.98 | 3.59 | 18.01 | 886.27 | 0.27 |
| THC (%) | CO (%) | NOX (%) | CO2 (%) | PM (%) | |
|---|---|---|---|---|---|
| 0 | 12.50 | 12.50 | 12.50 | 12.50 | 12.50 |
| 0.1 | −9.30 | 36.98 | 12.51 | 7.42 | 23.93 |
| 0.2 | −9.73 | 32.12 | 11.31 | 7.00 | 21.86 |
| 0.3 | −9.73 | 32.12 | 11.31 | 7.00 | 21.86 |
| 0.4 | −9.73 | 32.12 | 11.31 | 7.00 | 21.86 |
| / | Without BESS | With BESS | ||||||||
|---|---|---|---|---|---|---|---|---|---|---|
| 0 | 0.1 | 0.2 | 0.3 | 0.4 | 0 | 0.1 | 0.2 | 0.3 | 0.4 | |
| 1 | 0 | 0 | 0 | 0 | 0 | 0 | 0 | 0 | 0 | 0 |
| 2 | 0 | 0 | 0 | 0 | 0 | 0 | 0 | 0 | 0 | 0 |
| 3 | 0 | 0 | 0 | 0 | 0 | 0 | 0 | 0 | 0 | 0 |
| 4 | 0 | 0 | 0 | 0 | 0 | 0 | 0 | 0 | 0 | 0 |
| 5 | 0 | 0 | 0 | 0 | 0 | 0 | 0 | 0 | 0 | 0 |
| 6 | 0 | 0 | 0 | 0 | 0 | 0 | 0 | 0 | 0 | 0 |
| 7 | 0 | 0 | 0 | 0 | 0 | 0 | 0 | 0 | 0 | 0 |
| 8 | 0 | 0 | 0 | 0 | 0 | 0 | 0 | 0 | 0 | 0 |
| 9 | 50 | 50 | 50 | 50 | 50 | 50 | 50 | 50 | 50 | 50 |
| 10 | 50 | 50 | 90 | 90 | 90 | 50 | 50 | 90 | 90 | 90 |
| 11 | 50 | 96.4 | 96.4 | 96.4 | 96.4 | 50 | 96.4 | 96.4 | 96.4 | 96.4 |
| 12 | 50 | 97.5 | 97.5 | 97.5 | 97.5 | 0 | 70.2 | 70.2 | 70.2 | 70.2 |
| 13 | 50 | 98.5 | 98.5 | 98.5 | 98.5 | 0 | 72.9 | 72.9 | 72.9 | 72.9 |
| 14 | 50 | 100 | 100 | 100 | 100 | 50 | 79.7 | 79.7 | 79.7 | 79.7 |
| 15 | 50 | 96.9 | 96.9 | 96.9 | 96.9 | 50 | 87.9 | 87.9 | 87.9 | 87.9 |
| 16 | 50 | 92.7 | 92.7 | 92.7 | 92.7 | 50 | 88.7 | 88.7 | 88.7 | 88.7 |
| 17 | 50 | 90.2 | 90.2 | 90.2 | 90.2 | 50 | 88 | 90.2 | 90.2 | 90.2 |
| 18 | 50 | 90.4 | 90.4 | 90.4 | 90.4 | 50 | 88.9 | 88.2 | 88.2 | 88.2 |
| 19 | 50 | 90.2 | 90.2 | 90.2 | 90.2 | 50 | 89.1 | 88.7 | 88.7 | 88.7 |
| 20 | 50 | 50 | 90.2 | 90.2 | 90.2 | 50 | 50 | 89.1 | 89.1 | 89.1 |
| 21 | 50 | 50 | 50 | 50 | 50 | 50 | 50 | 50 | 50 | 50 |
| 22 | 50 | 50 | 50 | 50 | 50 | 50 | 50 | 50 | 50 | 50 |
| 23 | 50 | 50 | 50 | 50 | 50 | 50 | 50 | 50 | 50 | 50 |
| 24 | 50 | 50 | 50 | 50 | 50 | 50 | 50 | 50 | 50 | 50 |
| GA | BPSO | Difference (%) | |
|---|---|---|---|
| 0 | −24,680.21 | −24,679.41 | 0.00326 |
| 0.1 | −24,528.93 | −24,520.42 | 0.03469 |
| 0.2 | −24,348.18 | −24,331.04 | 0.07039 |
| 0.3 | −24,134.06 | −24,116.79 | 0.07154 |
| 0.4 | −23,877.54 | −23,877.54 | 0 |
© 2019 by the authors. Licensee MDPI, Basel, Switzerland. This article is an open access article distributed under the terms and conditions of the Creative Commons Attribution (CC BY) license (http://creativecommons.org/licenses/by/4.0/).
Share and Cite
Lujano-Rojas, J.M.; Yusta, J.M.; Artal-Sevil, J.S.; Domínguez-Navarro, J.A. Day-Ahead Optimal Battery Operation in Islanded Hybrid Energy Systems and Its Impact on Greenhouse Gas Emissions. Appl. Sci. 2019, 9, 5221. https://doi.org/10.3390/app9235221
Lujano-Rojas JM, Yusta JM, Artal-Sevil JS, Domínguez-Navarro JA. Day-Ahead Optimal Battery Operation in Islanded Hybrid Energy Systems and Its Impact on Greenhouse Gas Emissions. Applied Sciences. 2019; 9(23):5221. https://doi.org/10.3390/app9235221
Chicago/Turabian StyleLujano-Rojas, Juan M., José M. Yusta, Jesús Sergio Artal-Sevil, and José Antonio Domínguez-Navarro. 2019. "Day-Ahead Optimal Battery Operation in Islanded Hybrid Energy Systems and Its Impact on Greenhouse Gas Emissions" Applied Sciences 9, no. 23: 5221. https://doi.org/10.3390/app9235221
APA StyleLujano-Rojas, J. M., Yusta, J. M., Artal-Sevil, J. S., & Domínguez-Navarro, J. A. (2019). Day-Ahead Optimal Battery Operation in Islanded Hybrid Energy Systems and Its Impact on Greenhouse Gas Emissions. Applied Sciences, 9(23), 5221. https://doi.org/10.3390/app9235221

