A Novel Passive Method to Control the Swirling Flow with Vortex Rope from the Conical Diffuser of Hydraulic Turbines with Fixed Blades
Abstract
:1. Introduction
2. Experimental Setup
2.1. Swirling Flow Apparatus and Experimental Setup
2.2. The Passive Control Method with Diaphragm
3. Pressure Data Analysis
3.1. Mean Pressure Analysis
3.2. Unsteady Pressure Analysis
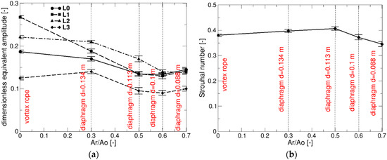
3.3. Pressure Pulsations Decomposition
4. Conclusions
- (i)
- The pressure recovery on the cone wall is significantly improved using the diaphragm method regarding the swirling flow (e.g., the pressure recovery on the cone wall is more than twice of that on the L2 level, which is located in the middle of the cone).
- (ii)
- The diaphragm method decreases the amplitude of the pressure fluctuation up to 45% while the frequency remains practically unchanged.
- (iii)
- The bubble-type vortex flow configuration occurs when the diaphragm shutter area ratio of 70% (d = 0.088 m) is selected. This vortex configuration is less harmful than the swirling flow with the helical vortex rope.
- (iv)
- The amplitude of the rotating component is significantly diminished when the shutter area of the diaphragm is increased. In contrast, the amplitude of the plunging component is slightly amplified when the diaphragm shutter area is increased.
- (v)
- The mitigation of this plunging component is the subject of another research study using a pulsating water jet control method [51].
5. Patents
Author Contributions
Funding
Acknowledgments
Conflicts of Interest
Nomenclature
| AS | Acquired signal |
| RS | Reconstructed signal |
| FT | Fourier transform |
| EA | Equivalent amplitude |
| PC | Plunging component |
| RC | Rotating component |
| Dt [m] | Reference diameter of the throat |
| Dominant frequency | |
| Main discharge at the inlet of the test section | |
| Dimensionless pressure coefficient | |
| Number of measured samples | |
| Mean pressure | |
| Root mean square of the pressure signal | |
| Strouhal number | |
| Vt [m/s] | Bulk velocity in the throat of convergent- divergent test section |
| Standard deviation | |
| Density |
References
- SWECO. Study on the Effective Integration of Distributed Energy Resources for Providing Flexibility to the Electricity System; European Commission: Brussels, Belgium, 2015. [Google Scholar]
- Muntean, S.; Susan-Resiga, R.; Goede, E.; Baya, A.; Terzi, R.; Tîrşi, C. Scenarios for refurbishment of a hydropower plant equipped with Francis turbines. Renew. Energy Environ. Sustain. 2016, 1, 1–6. [Google Scholar] [CrossRef]
- Valero, C.; Egusquiza, M.; Egusquiza, E.; Presas, A.; Valentin, D.; Bossio, M. Extension of Operating Range in Pump-Turbines. Influence of Head and Load. Energies 2017, 10, 2178. [Google Scholar] [CrossRef]
- Pavesi, G.; Cavazzini, G.; Ardizzon, G. Numerical Simulation of a Pump–Turbine Transient Load Following Process in Pump Mode. ASME J. Fluids Eng. 2018, 140, 021114. [Google Scholar] [CrossRef]
- Trivedi, C.; Cervantes, M.J.; Gandhi, B.K.; Dahlhaug, O.G. Transient Pressure Measurements on a High Head Model Francis Turbine During Emergency Shutdown, Total Load Rejection, and Runaway. ASME J. Fluids Eng. 2014, 136, 121107. [Google Scholar] [CrossRef]
- Trivedi, C.; Cervantes, M.J.; Dahlhaug, O.G.; Gandhi, B.K. Experimental Investigation of a High Head Francis Turbine during Spin-No-Load Operation. ASME J. Fluids Eng. 2015, 137, 061106. [Google Scholar] [CrossRef]
- Trivedi, C.; Gogstad, P.J.; Dahlhaug, O.G. Investigation of the unsteady pressure pulsations in the prototype Francis turbines during load variation and start-up. J. Renew. Sustain. Energy 2017, 9, 064502. [Google Scholar] [CrossRef]
- Susan-Resiga, R.; Ciocan, G.D.; Anton, I.; Avellan, F. Analysis of the swirling flow downstream a Francis turbine runner. ASME J. Fluids Eng. 2006, 128, 177–189. [Google Scholar] [CrossRef]
- Ciocan, T.; Susan-Resiga, R.F.; Muntean, S. Modelling and optimization of the velocity profiles at the draft tube inlet of a Francis turbine within an operating range. J. Hydraul. Res. 2016, 54, 74–89. [Google Scholar] [CrossRef]
- Kubota, T.; Han, F.; Avellan, F. Performance Analysis of Draft Tube for Gamm Francis Turbine. In Hydraulic Machinery and Cavitation; Cabrera, E., Espert, V., Martínez, F., Eds.; Springer: Dordrecht, The Netherlands, 1996; pp. 130–139. [Google Scholar]
- Vu, T.; Retieb, S. Accuracy assessment of current CFD tools to predict hydraulic turbine efficiency hill chart. In Proceedings of the 21st IAHR Symposium on Hydraulic Machinery and Systems, Laussane, Switzerland, 9–12 September 2002; pp. 193–198. [Google Scholar]
- Susan-Resiga, R.; Muntean, S.; Avellan, F.; Anton, I. Mathematical modeling of swirling flow in hydraulic turbines for the full operating range. Appl. Math. Model. 2011, 35, 4759–4773. [Google Scholar] [CrossRef]
- Valentin, D.; Presas, A.; Egusquiza, E.; Valero, C.; Egusquiza, M.; Bossio, M. Power Swing Generated in Francis Turbines by Part Load and Overload Instabilities. Energies 2017, 10, 2124. [Google Scholar] [CrossRef]
- Rheingans, W.J. Power swings in hydroelectric power plants. Trans. ASME 1940, 62, 171–184. [Google Scholar]
- Nishi, M.; Liu, S.-H. An Outlook on the Draft-Tube-Surge Study. Int. J. Fluid Mach. Syst. 2013, 6, 33–48. [Google Scholar] [CrossRef]
- Dorji, U.; Ghomashchi, R. Hydro turbine failure mechanisms: An overview. Eng. Fail. Anal. 2014, 44, 136–147. [Google Scholar] [CrossRef]
- Avellan, F. Introduction to cavitation in hydraulic machinery. In Proceedings of the 6th International Conference on Hydraulic Machinery and Hydrodynamics, Timisoara, Romania, 21–22 October 2004. [Google Scholar]
- Luo, X.-W.; Ji, B.; Tsujimoto, Y. A review of cavitation in hydraulic machinery. J. Hydrodyn Ser. B 2016, 28, 335–358. [Google Scholar] [CrossRef]
- Luna-Ramírez, A.; Campos-Amezcua, A.; Dorantes-Gómez, O.; Mazur-Czerwiec, Z.; Muñoz-Quezada, R. Failure analysis of runner blades in a Francis hydraulic turbine—Case study. Eng. Fail. Anal. 2016, 56, 14–325. [Google Scholar] [CrossRef]
- Nakanishi, K.; Ueda, T. Air supply into draft tube of Francis turbine. Fuji Electr. Rev. 1964, 10, 81–91. [Google Scholar]
- Nishi, M.; Wang, X.M.; Yoshida, K.; Takahashi, T.; Tsukamoto, T. An Experimental Study on Fins, Their Role in Control of the Draft Tube Surging. In Proceedings of the 18th IAHR Symposium on Hydraulic Machinery and Cavitation, Valencia, Spain, 16–19 September 1996; Cabrera, E., Ed.; Springer: Dordrecht, The Netherlands, 1996; pp. 905–914. [Google Scholar]
- Biela, V.; Beltran, H. Draft tube fins. In Proceedings of the 19th IAHR Symposium Section on Hydraulic Machinery and Cavitation, Singapore, 9–11 September 1998; Brekke, H., Ed.; World Scientific: Singapore, 1998; pp. 454–461. [Google Scholar]
- Gogstad, P.J.; Dahlhaug, O.G. Evaluation of runner cone extension to dampen pressure pulsations in a Francis model turbine. IOP Conf. Ser. Earth Environ. Sci. 2016, 49, 082019. [Google Scholar] [CrossRef]
- Pasche, S.; Avellan, F.; Gallaire, F. Optimal Control of Part Load Vortex Rope in Francis Turbines. J. Fluids Eng. 2019, 141, 081203. [Google Scholar] [CrossRef]
- Susan-Resiga, R.; Vu, T.C.; Muntean, S.; Ciocan, G.D.; Nennemann, B. Jet Control of the Draft Tube in Francis Turbines at Partial Discharge. In Proceedings of the 23rd IAHR Symposium on Hydraulic Machinery and Systems, Yokohama, Japan, 17–20 October 2006. [Google Scholar]
- Bosioc, A.I.; Susan-Resiga, R.; Muntean, S.; Tanasa, C. Unsteady Pressure Analysis of a Swirling Flow with Vortex Rope and Axial Water Injection in a Discharge Cone. ASME J. Fluids Eng. 2012, 134, 081104. [Google Scholar] [CrossRef]
- Susan-Resiga, R.; Muntean, S. Decelerated Swirling Flow Control in the Discharge Cone of Francis Turbines. In Proceedings of the 4th Int. Symposium on Fluid Machinery and Fluid Mechanics, Beijing, China, 24–27 November 2008; Springer: Berlin/Heidelberg, Germany, 2009; pp. 89–96. [Google Scholar] [CrossRef]
- Tănasă, C.; Susan-Resiga, R.; Muntean, S.; Bosioc, A. Flow-Feedback Method for Mitigating the Vortex Rope in Decelerated Swirling Flows. ASME J. Fluids Eng. 2013, 135, 061304. [Google Scholar] [CrossRef]
- Javadi, A.; Nilsson, H. Active flow control of the vortex rope and pressure pulsations in a swirl generator. Eng. Applic. Comput. Fluid Mech. 2017, 11, 30–41. [Google Scholar] [CrossRef]
- Kirschner, O.; Schmidt, H.; Ruprecht, A.; Mader, R.; Meusburger, P. Experimental investigation of vortex control with an axial jet in the draft tube of a model pump-turbine. IOP Conf. Ser. Earth Environ. Sci. 2010, 22, 012092. [Google Scholar] [CrossRef]
- Petit, O.; Bosioc, A.; Nilsson, H.; Muntean, S.; Susan-Resiga, R. Unsteady Simulation of the Flow in a Swirl Generator Using OpenFOAM. Int. J. Fluid Mach. Syst. 2011, 4, 199–208. [Google Scholar] [CrossRef]
- Javadi, A.; Bosioc, A.; Nilsson, H.; Muntean, S.; Susan-Resiga, R. Experimental and Numerical Investigation of the Precessing Helical Vortex in a Conical Diffuser, With Rotor–Stator Interaction. ASME J. Fluids Eng. 2016, 138, 081106. [Google Scholar] [CrossRef]
- Bosioc, A.; Muntean, S.; Tănasă, C.; Susan-Resiga, R.; Vékás, L. Unsteady pressure measurements of decelerated swirling flow in a discharge cone at lower runner speeds. IOP Conf. Ser. Earth Environ. Sci. 2014, 22, 032008. [Google Scholar] [CrossRef]
- Tănasă, C.; Muntean, S.; Ciocan, T.; Susan-Resiga, R.F. 3D Numerical Simulation versus Experimental Assessment of Pressure Pulsations Using a Passive Method for Swirling Flow Control in Conical Diffusers of Hydraulic Turbines. IOP Conf. Ser. Earth Environ. Sci. 2016, 49, 082018. [Google Scholar] [CrossRef]
- Riley, K.F.; Hobson, M.P.; Bence, S.J. Mathematical Methods for Physics and Engineering: A Comprehensive Guide; Cambridge University Press: Cambridge, UK, 2006. [Google Scholar]
- Skripkin, S.G.; Tsoy, M.A.; Kuibin, P.A.; Shtork, S.I. Study of Pressure Shock Caused by a Vortex Ring Separated from a Vortex Rope in a Draft Tube Model. ASME J. Fluids Eng. 2017, 139, 081103. [Google Scholar] [CrossRef]
- Zhang, R.; Mao, F.; Wu, J.; Chen, S.; Wu, Y.; Liu, S. Characteristics and Control of the Draft-Tube Flow in Part-Load Francis Turbine. ASME J. Fluids Eng. 2009, 131, 021101. [Google Scholar] [CrossRef]
- Štefan, D.; Rudolf, P.; Muntean, S.; Susan-Resiga, R. Proper Orthogonal Decomposition of Self-Induced Instabilities in Decelerated Swirling Flows and Their Mitigation Through Axial Water Injection. ASME J. Fluids Eng. 2017, 139, 081101. [Google Scholar] [CrossRef]
- Susan-Resiga, R.; Muntean, S.; Hasmatuchi, V.; Anton, I.; Avellan, F. Analysis and Prevention of Vortex Breakdown in the Simplified Discharge Cone of a Francis Turbine. ASME J. Fluids Eng. 2010, 132, 051102. [Google Scholar] [CrossRef]
- Sarpkaya, T. On stationary and travelling Vortex Breakdowns. J. Fluid Mech. 1971, 45, 545–559. [Google Scholar] [CrossRef]
- Hall, M. Vortex breakdown. Ann. Rev. Fluid Mech. 1972, 4, 195–218. [Google Scholar] [CrossRef]
- Leibovich, S. The Structure of Vortex Breakdown. Ann. Rev. Fluid Mech. 1978, 10, 221–246. [Google Scholar] [CrossRef]
- Leibovich, S. Vortex Stability and Breakdown: Survey and Extension. AIAA J. 1984, 22, 1192–1206. [Google Scholar] [CrossRef]
- Novak, F.; Sarpkaya, T. Turbulent Vortex Breakdown at High Reynolds Numbers. AIAA J. 2000, 38, 825–834. [Google Scholar] [CrossRef]
- Tănasă, C.; Bosioc, A.; Muntean, S.; Susan-Resiga, R.F. Experimental and Numerical Assessment of the Velocity Profiles Using a Passive Method for Swirling Flow Control. In Proceedings of the 6th IAHR International Meeting of the Workgroup on Cavitation and Dynamic Problems in Hydraulic Machinery and Systems (IAHRWG2015), Ljubljana, Slovenia, 9–11 September 2015. [Google Scholar]
- Wahl, T.L. Draft Tube Surging Hydraulic Model Study. Master’s Thesis, Colorado State University, Fort Collins, CO, USA, 1990. [Google Scholar]
- Wu, Y.; Li, S.; Liu, S.; Dou, H.-S.; Qian, Z. Vibration of Hydraulic Machinery; Springer: Dordrecht, The Netherlands, 2013. [Google Scholar]
- Favrel, A.; Muller, A.; Landry, C.; Yamamoto, K.; Avellan, F. Study of the vortex-induced pressure excitation source in Francis turbine draft tube by particle image velocimetry. Exp. Fluids 2015. [Google Scholar] [CrossRef]
- Pasche, S.; Gallaire, F.; Avellan, F. Origin of the synchronous pressure fluctuations in the draft tube of Francis turbines operating at part load conditions. J. Fluids Struct. 2019. [Google Scholar] [CrossRef]
- Jacob, T.; Prenat, J. Francis Turbine Surge: Discussion and Data Base. In Proceedings of the 18th IAHR Symposium on Hydraulic Machinery and Cavitation, Valencia, Spain, 16–19 September 1996; Cabrera, E., Ed.; Kluwer Academic Publishers: Dordrecht, The Netherlands, 1996. [Google Scholar]
- Tănasă, C.; Ciocan, T.; Muntean, S. Numerical assessment of pulsating water jet in the conical diffusers. AIP Conf. Proc. 2017, 1906, 050002. [Google Scholar] [CrossRef]











| Diaphragm Inner Diameter d [m] | Diaphragm Inner Area Ad = πd2/4 [m2] | Cone Outlet Area A0 = πD2/4 [m2] | Shutter Area Ar = AD − Ad [m2] | Shutter Area Ratio Aa = Ar/AD [-] |
|---|---|---|---|---|
| 0.134 | 0.0140 | 0.0201 | 0.0061 | 0.3 |
| 0.113 | 0.0100 | 0.0101 | 0.5 | |
| 0.100 | 0.0078 | 0.0121 | 0.6 | |
| 0.088 | 0.0060 | 0.0141 | 0.7 |
© 2019 by the authors. Licensee MDPI, Basel, Switzerland. This article is an open access article distributed under the terms and conditions of the Creative Commons Attribution (CC BY) license (http://creativecommons.org/licenses/by/4.0/).
Share and Cite
Tănasă, C.; Bosioc, A.; Muntean, S.; Susan-Resiga, R. A Novel Passive Method to Control the Swirling Flow with Vortex Rope from the Conical Diffuser of Hydraulic Turbines with Fixed Blades. Appl. Sci. 2019, 9, 4910. https://doi.org/10.3390/app9224910
Tănasă C, Bosioc A, Muntean S, Susan-Resiga R. A Novel Passive Method to Control the Swirling Flow with Vortex Rope from the Conical Diffuser of Hydraulic Turbines with Fixed Blades. Applied Sciences. 2019; 9(22):4910. https://doi.org/10.3390/app9224910
Chicago/Turabian StyleTănasă, Constantin, Alin Bosioc, Sebastian Muntean, and Romeo Susan-Resiga. 2019. "A Novel Passive Method to Control the Swirling Flow with Vortex Rope from the Conical Diffuser of Hydraulic Turbines with Fixed Blades" Applied Sciences 9, no. 22: 4910. https://doi.org/10.3390/app9224910
APA StyleTănasă, C., Bosioc, A., Muntean, S., & Susan-Resiga, R. (2019). A Novel Passive Method to Control the Swirling Flow with Vortex Rope from the Conical Diffuser of Hydraulic Turbines with Fixed Blades. Applied Sciences, 9(22), 4910. https://doi.org/10.3390/app9224910

