Aerodynamic Performance of Hex-Rotor UAV Considering the Horizontal Airflow
Abstract
Featured Application
Abstract
1. Introduction
2. Theoretical Analysis
3. Experiments
3.1. Basic Parameters
3.2. Experimental Setup
3.3. Experimental Results
4. Computational Fluid Dynamics (CFD) Simulation
4.1. Simulation Setup
4.2. Streamline Distribution
4.3. Pressure Distribution
4.4. Velocity Distribution
4.5. Vortex Distribution
5. Conclusions
- The pressure and velocity distribution proved that the deformation of the downwash resulting from the horizontal airflow will increase the power consumption, indicating that the aerodynamic performance of the Hex-rotor UAV is determined by the instant thrust variation. This is because when horizontal airflow is introduced, the streamlines are squeezed and coupled with each other and the maximum pressure region of the rotor may have the maximum thrust and a higher power loading.
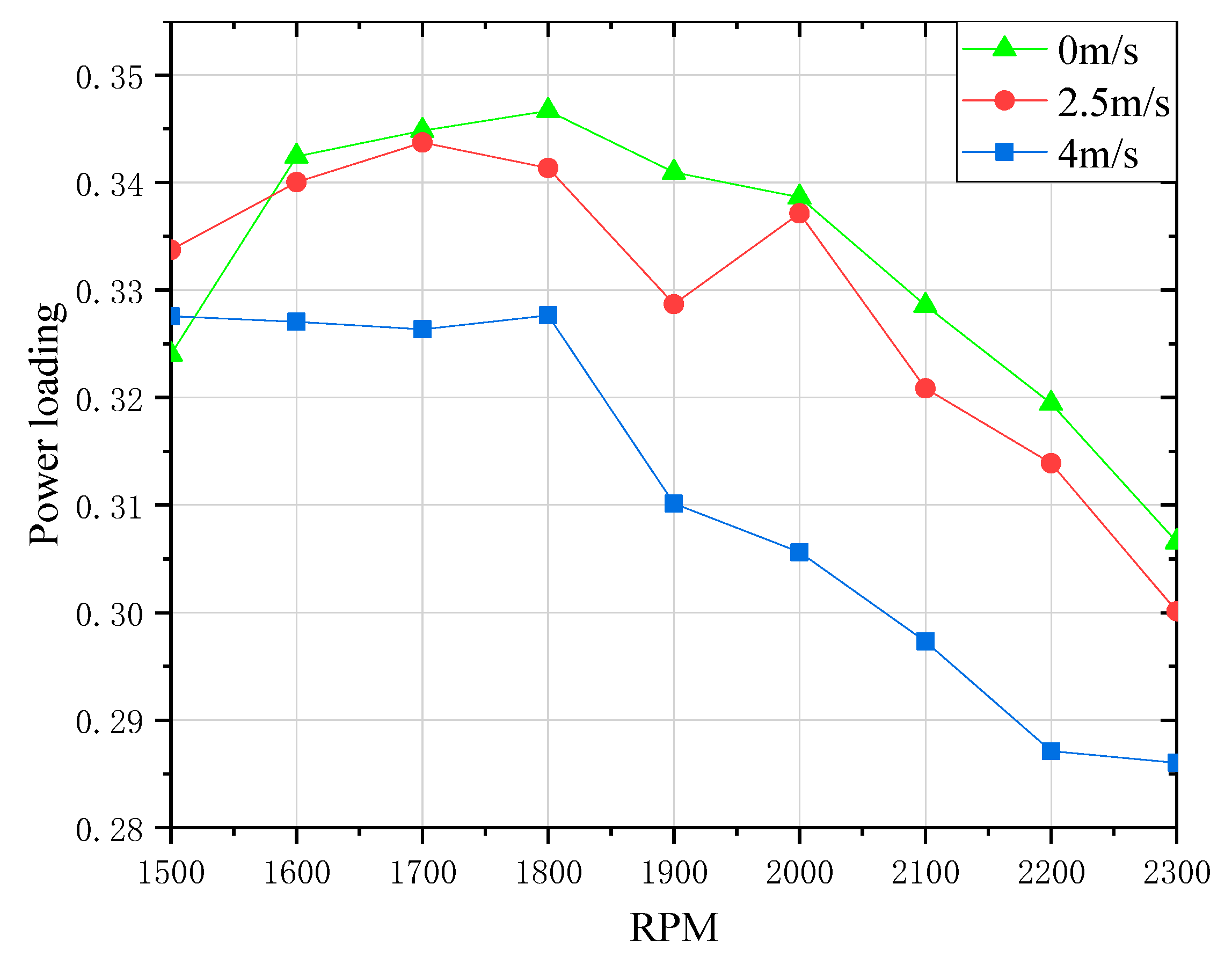
- For a lower rotor speed (1500–1900 RPM), the Hex-rotor UAV showed a good hover efficiency characterized by a higher power loading, especially at 1700–1800 RPM. In fact, the horizontal airflow increased mutual coupling of the vortices and improved the aerodynamic performance by maintaining a higher thrust. This can be useful in the aerodynamic design of a Hex-rotor UAV for wind resistance.
- For a higher rotor speed (1900–2300 RPM), the hover efficiency decreased with a thrust decrement and power increment as compared to the case at 0 m/s. Actually, the stronger coupling interference began to move along with the wind direction, which caused the rotor vibration, especially around the rotor tip. In this case, reactions will need to include increasing power, increasing angle of attack, sideslip, etc. in a quasi-steady manner to maintain the desired flight path when the rotor speed is higher than 1900 RPM, especially for the work mode at 2200 RPM.
- The aerodynamic performance of the Hex-rotor UAV is also related to the vortices movement or deformation of the blade tip. The streamline and vortices distribution at 2.5 m/s showed that the proper airflow may improve the aerodynamic performance by increasing the thrust, which also indicated that the Hex-rotor UAV will be simply manipulated by changing the rotor speed in a light breeze. On the other hand, the controller manipulation will be introduced in the gentle breeze with a higher wind speed. In addition, further research will involve a higher wind speed to study the wind resistance of the Hex-rotor UAV.
Author Contributions
Funding
Acknowledgments
Conflicts of Interest
References
- Mai, Y.; Zhao, H.; Guo, S. The Analysis of Image Stabilization Technology Based on Small-UAV Airborne Video. In Proceedings of the 2012 International Conference on Computer Science and Electronics Engineering, Hangzhou, China, 23–25 March 2012. [Google Scholar]
- Hoffmann, G.; Huang, H.; Waslander, S.; Tomlin, C. Quadrotor Helicopter Flight Dynamics and Control: Theory and Experiment. In Proceedings of the AIAA Guidance, Navigation, & Control Conference and Exhibit, Hilton Head, SC, USA, 20–23 August 2007. [Google Scholar]
- Pounds, P.; Mahony, R.; Corke, P. Modelling and control of a large quadrotor robot. Control Eng. Pract. 2010, 18, 691–699. [Google Scholar] [CrossRef]
- Salazar, S.; Romero, H.; Lozano, R.; Castillo, P. Modeling and Real-Time Stabilization of an Aircraft Having Eight Rotors. J. Intell. Robot. Syst. 2009, 54, 455–470. [Google Scholar] [CrossRef]
- Arellano-Muro, C.A.; Luque-Vega, L.F.; Castillo-Toledo, B.; Loukianov, A.G. Backstepping control with sliding mode estimation for a hexacopter. In Proceedings of the 2013 10th International Conference on Electrical Engineering, Computing Science and Automatic Control (CCE), Mexico City, Mexico, 30 September–4 October 2013. [Google Scholar]
- Chen, X.; Wang, L. Cascaded model predictive control of a quadrotor UAV. In Proceedings of the Control Conference, Fremantle, WA, Australia, 4–5 November 2013. [Google Scholar]
- Pflimlin, J.M.; Soueres, P.; Hamel, T. Position control of a ducted fan vtol uav in crosswind. Int. J. Control 2007, 80, 666–683. [Google Scholar] [CrossRef]
- Ma, Q.D.; Sun, Z.G.; Wu, J.R.; Zhang, W.Z. Dynamic modeling for a miniature six-rotor unmanned aerial vehicle. Appl. Mech. Mater. 2013, 321–324, 819–823. [Google Scholar] [CrossRef]
- Lee, J.Y.S.; Leang, K.K.; Yim, W. Design and Control of a Fully-Actuated Hexrotor for Aerial Manipulation Applications. J. Mech. Robot. 2018, 10. [Google Scholar] [CrossRef]
- Zhang, Z.; Liu, Z.; Wen, N. Research on Adaptive Backstepping Sliding Mode Control Method for a Hex-rotor Unmanned Aerial Vehicle. In Proceedings of the 2016 IEEE Chinese Guidance, Navigation and Control Conference (IEEE CGNCC2016), Nanjing, China, 12–14 August 2016. [Google Scholar]
- Shi, T.; Wang, H.; Cui, W.; Ren, L. Indoor path planning for hex-rotor aircraft with landmark-based visual navigation. In Proceedings of the 12th International Conference on Natural Computation, Fuzzy Systems and Knowledge Discovery (ICNC-FSKD), Changsha, China, 13–15 August 2016. [Google Scholar]
- Kirsch, B.; Alexopoulos, A.; Badreddin, E. Non-linear model based control and parameter identification of a hex-rotor UAV. In Proceedings of the IEEE International Conference on Systems, Man, and Cybernetics (SMC2016), Budapest, Hungary, 9–12 October 2016. [Google Scholar]
- Zhao, C.J.; Bai, Y.; Gong, X.; Xu, D.F.; Xu, Z.J. Control System Design of a Hex-Rotor Aircraft Based on the Neural Network Sliding Mode Method. Adv. Mater. Res. 2014, 971–973, 418–421. [Google Scholar] [CrossRef]
- Tan, Y.; Chen, J.; Norton, T.; Wang, J.; Liu, X.; Zheng, Y.; Yang, S. The computational fluid dynamic modeling of downwash flow field for a six-rotor uav. Front. Agric. Sci. Eng. 2018, 5, 159–167. [Google Scholar]
- Hrishikeshavan, V. Experimental Investigation of a Shrouded Rotor Micro Air Vehicle in Hover and in Edgewise Gusts. Doctoral Dissertation, University of Maryland, College Park, MD, USA, 2011. Available online: http://hdl.handle.net/1903/12351 (accessed on 17 February 2012).
- Chang-Jun, Z.; Yue, B.; Hun, G.; Cheng, P. Hex-rotor unmanned aerial vehicle controller and its flight experiment under aerodynamic disturbance. Opt. Precis. Eng. 2015, 23, 1088–1095. [Google Scholar] [CrossRef]
- Lei, Y.; Wang, J.L. Aerodynamic Performance of Quadrotor UAV with Non-Planar Rotors. Appl. Sci. 2019, 9, 2779. [Google Scholar] [CrossRef]
- Lei, Y.; Lin, R. Effect of wind disturbance on the aerodynamic performance of coaxial rotors during hovering. Meas. Control 2019, 52, 665–674. [Google Scholar] [CrossRef]
- Langford, J.S. The Daedalus Project: Summary of Lessons Learne. In Proceedings of the Aircraft Design and Operations Meeting, Seattle, WA, USA, 31 July–2 August 1989. [Google Scholar]
- Bohorquez, F.; Samuel, P.; Sirohi, J.; Pines, D.; Rudd, L.; Perel, R. Design, Analysis and Hover Performance of a Rotary Wing Micro Air Vehicle. J. Am. Helicopter Soc. 2003, 48, 80–90. [Google Scholar] [CrossRef]
- Gur, O.; Rosen, A. Optimizing electric propulsion systems for unmanned aerial vehicles. J. Aircr. 2009, 46, 1340–1353. [Google Scholar] [CrossRef]
- Onda, M.; Nanba, M.; Matsuuchi, K.; Furui, J.; Sasaki, A. Stratospheric LTA Platform and its Thrust Efficiency with a Stern Propeller. In Proceedings of the 1st UAV Conference, Portsmouth, VA, USA, 20–23 May 2002. [Google Scholar]
- Slutsky, B.A. Compensation of an elastic error in force measurement. AIAA J. 2005, 43, 1326–1335. [Google Scholar] [CrossRef]













| Radius (m) | Pitch (m) | Twist Angle | RPM | Mach Number | Reynolds Number (105) | Max Camber |
|---|---|---|---|---|---|---|
| 0.2 | 0.157 | 0 | 1500–2400 | 0.1–0.14 | 0.8–1.2 | 5.5% |
© 2019 by the authors. Licensee MDPI, Basel, Switzerland. This article is an open access article distributed under the terms and conditions of the Creative Commons Attribution (CC BY) license (http://creativecommons.org/licenses/by/4.0/).
Share and Cite
Lei, Y.; Cheng, M. Aerodynamic Performance of Hex-Rotor UAV Considering the Horizontal Airflow. Appl. Sci. 2019, 9, 4797. https://doi.org/10.3390/app9224797
Lei Y, Cheng M. Aerodynamic Performance of Hex-Rotor UAV Considering the Horizontal Airflow. Applied Sciences. 2019; 9(22):4797. https://doi.org/10.3390/app9224797
Chicago/Turabian StyleLei, Yao, and Mingxin Cheng. 2019. "Aerodynamic Performance of Hex-Rotor UAV Considering the Horizontal Airflow" Applied Sciences 9, no. 22: 4797. https://doi.org/10.3390/app9224797
APA StyleLei, Y., & Cheng, M. (2019). Aerodynamic Performance of Hex-Rotor UAV Considering the Horizontal Airflow. Applied Sciences, 9(22), 4797. https://doi.org/10.3390/app9224797

