Secure Transmission for Buffer-Aided Relay Networks in the Internet of Things
Abstract
1. Introduction
- We propose three secure transmission schemes, i.e., non-jamming (NJ), source cooperative jamming (SCJ) and source cooperative jamming with optimal power allocation (SCJ-OPA), to enhance the secrecy performance for buffer-aided relay networks in IoT scenarios.
- By modeling the dynamic buffer state transition as a Markov chain, we derive the closed-form expressions of the secrecy outage probability, the average secrecy throughput and the end-to-end delay under the non-colluding eavesdroppers (NCE) and colluding eavesdroppers (CE) scenarios, respectively. Based on these expressions, the impacts of different parameters on the secrecy performance can be evaluated effectively.
- Our findings highlight that although the NJ and the SCJ schemes can achieve good secrecy performance when the total transmit power is small or large, respectively, the SCJ-OPA scheme outperforms the other two schemes across the whole transmit power range of interest, which can make up the defects of the other two schemes.
2. System Model and Relay Selection Policy
2.1. System Model
2.2. Relay Selection Policy
3. Transmission Schemes
3.1. NJ Scheme
3.2. SCJ Scheme
3.3. SCJ-OPA Scheme
4. Performance Analysis
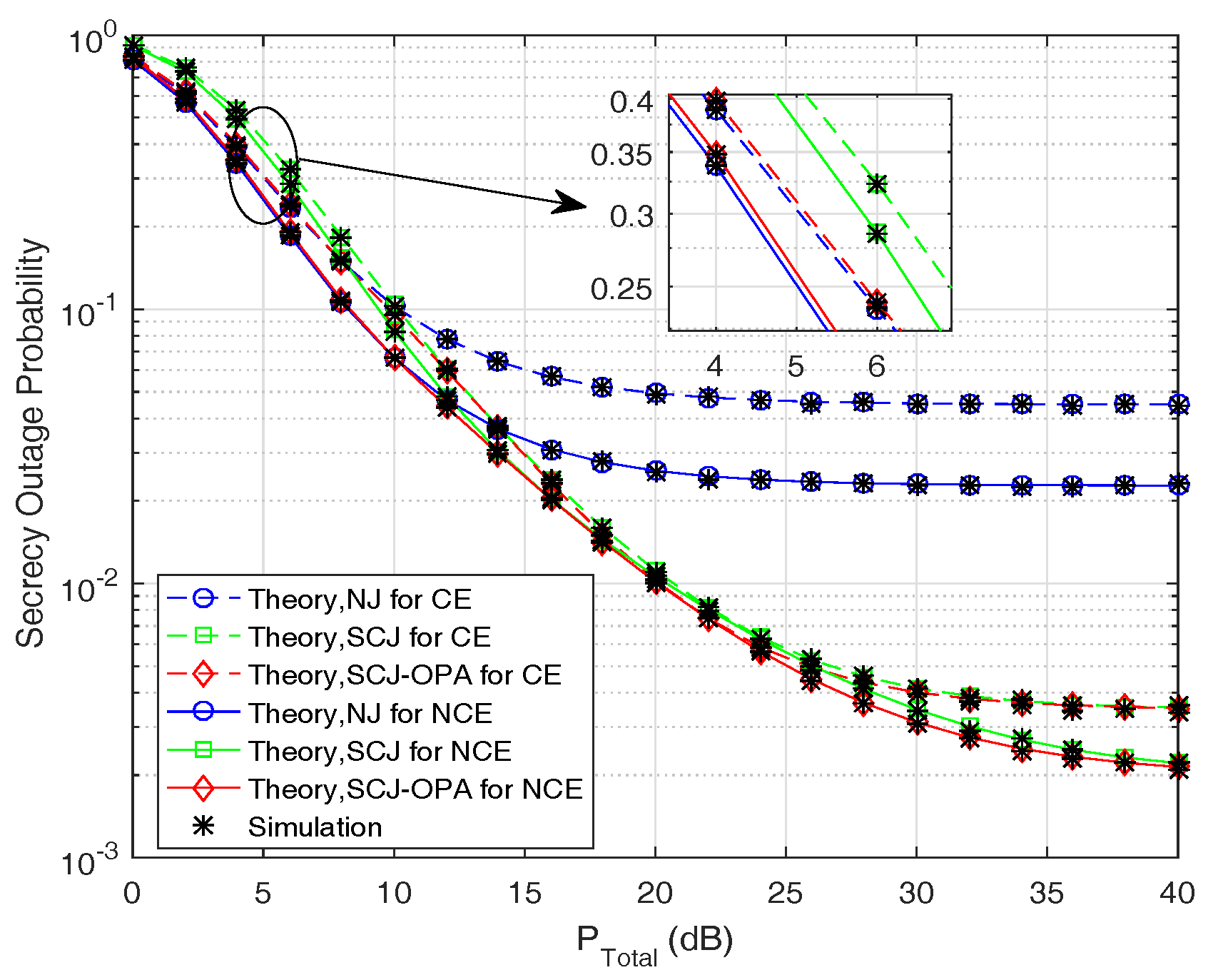
4.1. Secrecy Outage Analysis
4.1.1. NJ Scheme
4.1.2. SCJ Scheme
4.1.3. SCJ-OPA Scheme
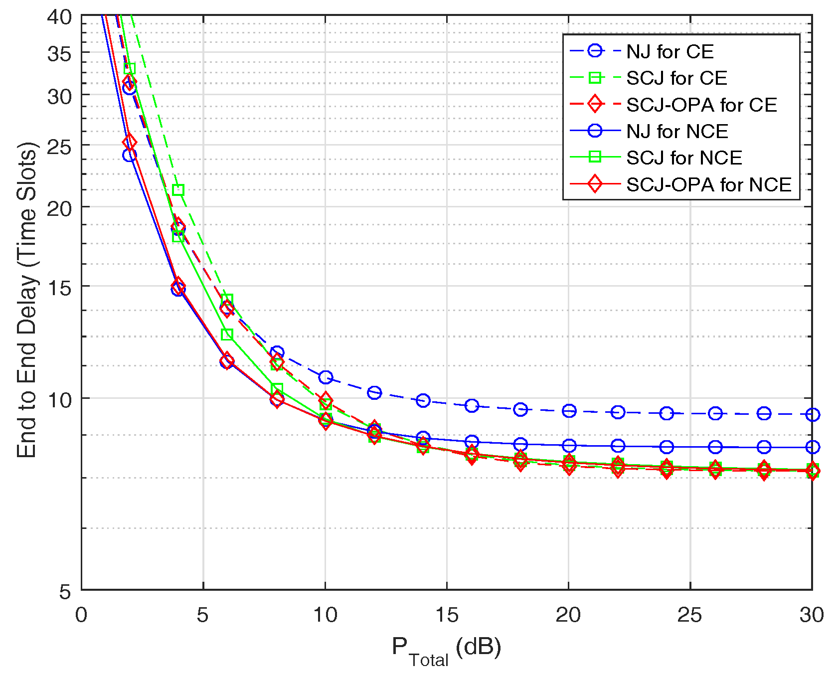
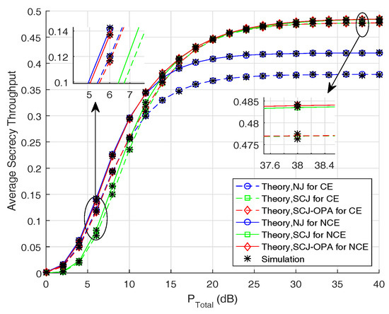
4.2. Average Secrecy Throughput and End to End Delay
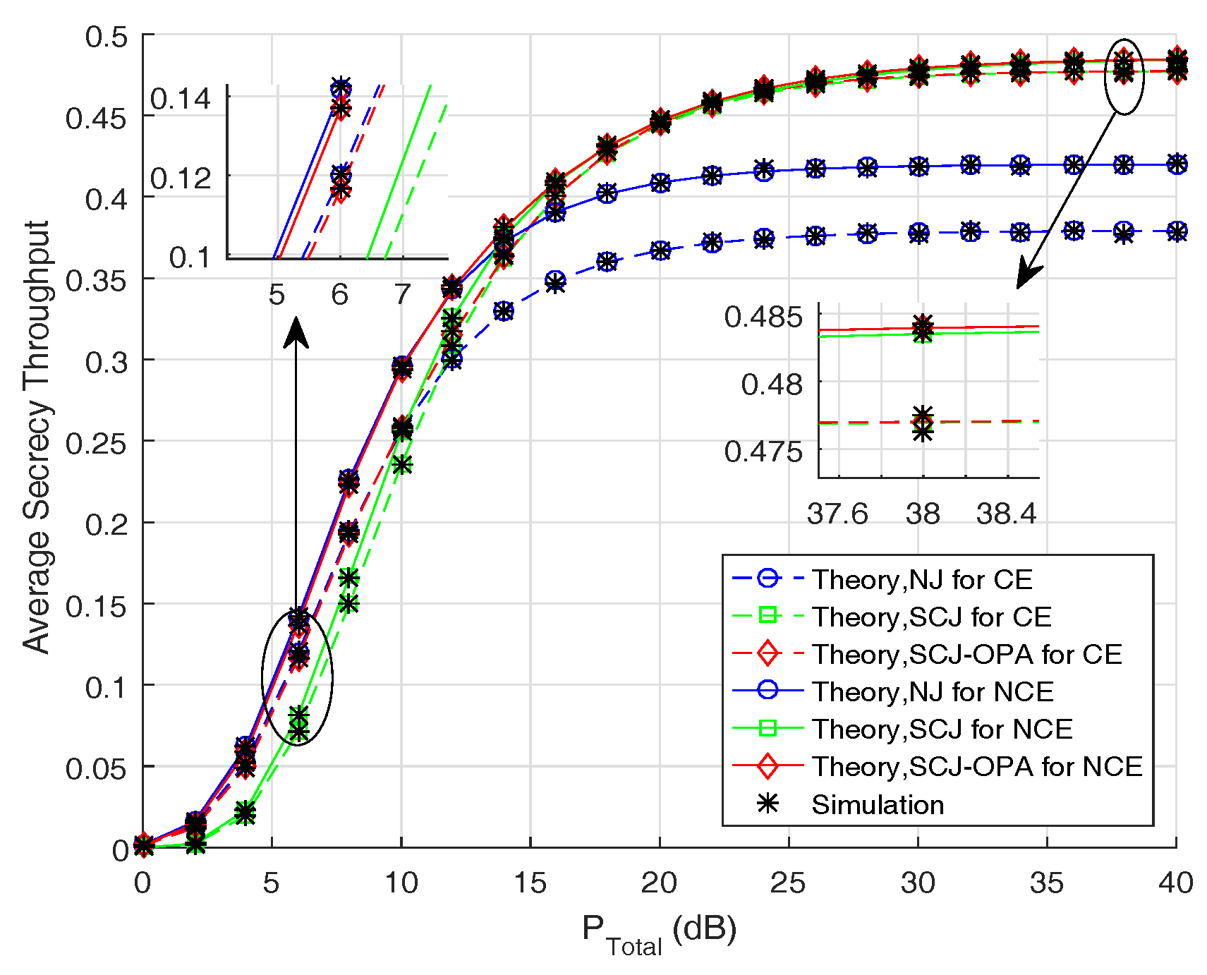
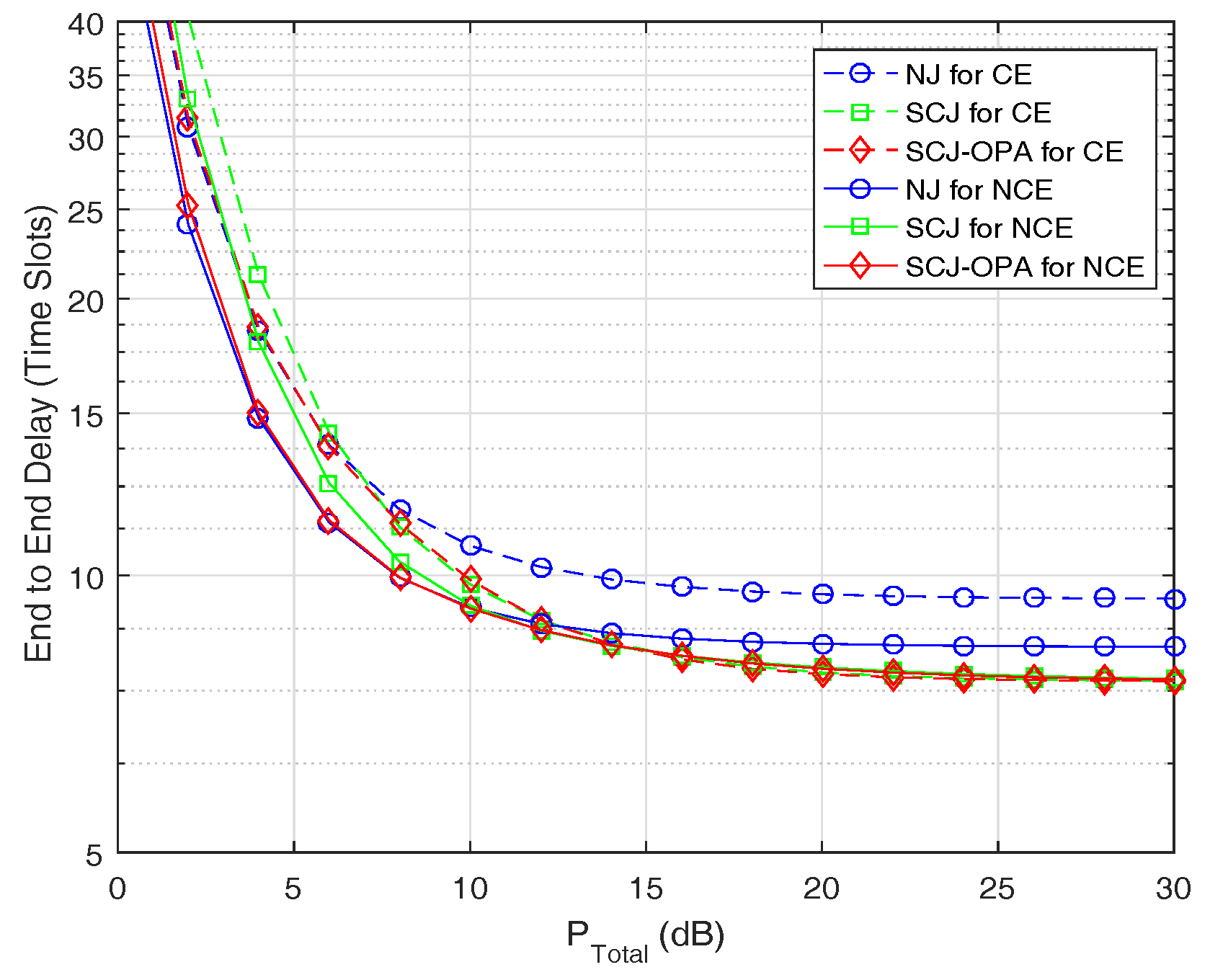
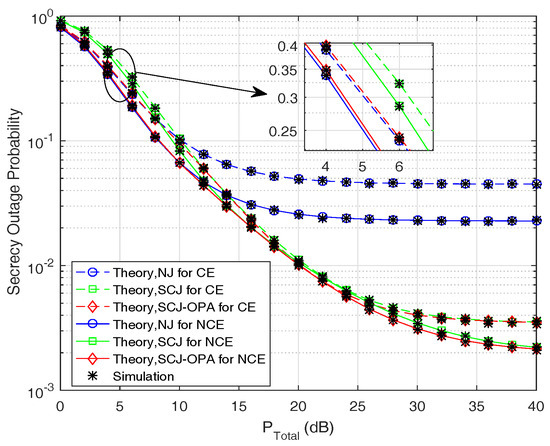
5. Simulation Analysis
6. Conclusions
Author Contributions
Funding
Conflicts of Interest
Appendix A
Appendix B
Appendix C
Appendix D
References
- Xu, L.; He, W.; Li, S. Internet of things in industries: A survey. IEEE Trans. Ind. Inform. 2014, 10, 2233–2243. [Google Scholar] [CrossRef]
- Mukherjee, A. Physical-layer security in the Internet of things: Sensing and communication confidentiality under resource constraints. Proc. IEEE 2015, 103, 1747–1761. [Google Scholar] [CrossRef]
- Xu, Q.; Ren, P.; Song, H.; Du, Q. Security enhancement for IoT communications exposed to eavesdroppers with uncertain locations. IEEE Access 2016, 4, 2840–2853. [Google Scholar] [CrossRef]
- Chen, Y.; Han, F.; Yang, Y.; Ma, H.; Han, Y.; Jiang, C.; Lai, H.; Claffey, D.; Safar, Z.; Liu, K. Time-reversal wireless paradigm for green Internet of things: An overview. IEEE Internet Things J. 2014, 1, 81–98. [Google Scholar] [CrossRef]
- Lyu, B.; Yang, Z.; Guo, H.; Tian, F.; Gui, G. Relay cooperation enhanced backscatter communication for Internet-of-things. IEEE Internet Things J. 2019, 6, 2860–2871. [Google Scholar] [CrossRef]
- Ji, B.; Li, Y.; Zhou, B.; Li, C.; Song, K.; Wen, H. Performance analysis of UAV relay assisted IoT communication network enhanced with energy harvesting. IEEE Access 2019, 7, 38738–38747. [Google Scholar] [CrossRef]
- Chen, G.; Coon, J.; Mondal, A.; Allen, B.; Chambers, J. Performance analysis for multi-hop full-duplex IoT networks subject to poisson distributed interferers. IEEE Internet Things J. 2019, 6, 3467–3479. [Google Scholar] [CrossRef]
- Massri, K.; Vitaletti, A.; Vernata, A.; Chatzigiannakis, I. Routing protocols for delay tolerant networks: A reference architecture and a thorough quantitative evaluation. J. Sens. Actuator Netw. 2016, 5, 6. [Google Scholar] [CrossRef]
- Michalopoulos, D.; Karagiannidis, G. Performance analysis of single relay selection in Rayleigh fading. IEEE Trans. Wirel. Commun. 2008, 7, 3718–3724. [Google Scholar] [CrossRef]
- Xia, B.; Fan, Y.; Thompson, J.; Poor, H. Buffering in a three-node relay network. IEEE Trans. Wirel. Commun. 2008, 7, 4492–4496. [Google Scholar] [CrossRef]
- Zlatanov, N.; Schober, R.; Popovski, P. Buffer-aided relaying with adaptive link selection. IEEE J. Sel. Areas Commun. 2013, 31, 1530–1542. [Google Scholar] [CrossRef]
- Ikhlef, A.; Michalopoulos, D.; Schober, R. Max-max relay selection for relays with buffers. IEEE Trans. Wirel. Commun. 2012, 11, 1124–1135. [Google Scholar] [CrossRef]
- Krikidis, I.; Charalambous, T.; Thompson, J. Buffer-aided relay selection for cooperative diversity systems without delay constraints. IEEE Trans. Wirel. Commun. 2012, 11, 1957–1967. [Google Scholar] [CrossRef]
- Nasir, H.; Javaid, N.; Raza, W.; Guizani, M.; Alrajeh, N.; Alabed, M. Virtual-link relay selection scheme for buffer-aided IoT based cooperative relay networks. IEEE Access 2018, 6, 74648–74659. [Google Scholar] [CrossRef]
- Shabbir, G.; Ahmad, J.; Raza, W.; Amin, Y.; Akram, A.; Loo, J.; Tenhunen, H. Buffer-aided successive relay selection scheme for energy harvesting IoT networks. IEEE Access 2019, 7, 36246–36258. [Google Scholar] [CrossRef]
- Alkhawatrah, M.; Gong, Y.; Chen, G.; Lambotharan, S.; Chambers, J. Buffer-aided relay selection for cooperative NOMA in the Internet of things. IEEE Internet Things J. 2019, 6, 5722–5731. [Google Scholar] [CrossRef]
- Mukherjee, A.; Fakoorian, S.; Huang, J.; Swindlehurst, A. Principles of physical layer security in multiuser wireless networks: A survey. IEEE Commun. Surv. Tutor. 2014, 16, 1550–1573. [Google Scholar] [CrossRef]
- Zou, Y.; Zhu, J.; Wang, X.; Hanzo, L. A survey on wireless security: Technical challenges, recent advances, and future trends. Proc. IEEE 2016, 104, 1727–1765. [Google Scholar] [CrossRef]
- Bloch, M.; Barros, J.; Rodrigues, M.; Mclaughlin, S. Wireless information-theoretic security. IEEE Trans. Inf. Theory 2008, 54, 2515–2534. [Google Scholar] [CrossRef]
- Liang, Y.; Poor, H.; Shamai, S. Secure communication over fading channels. IEEE Trans. Inf. Theory 2008, 54, 2470–2492. [Google Scholar] [CrossRef]
- Nan, Y.; Wang, L.; Geraci, G.; Elkashlan, M.; Yuan, J.; Renzo, M. Safeguarding 5G wireless communication networks using physical layer security. IEEE Commun. Mag. 2015, 53, 20–27. [Google Scholar]
- Zou, Y.; Zhu, J.; Wang, X.; Leung, V. Improving physical-layer security in wireless communications using diversity techniques. IEEE Netw. 2015, 29, 42–48. [Google Scholar] [CrossRef]
- Zhang, Y.; Shen, Y.; Wang, H.; Yong, J.; Jiang, X. On secure wireless communications for IoT under eavesdropper collusion. IEEE Trans. Autom. Sci. Eng. 2016, 13, 1281–1293. [Google Scholar] [CrossRef]
- Chen, D.; Yang, W.; Hu, J.; Cai, Y.; Tang, X. Energy-efficient secure transmission design for the Internet of things with an untrusted relay. IEEE Access 2018, 6, 11862–11870. [Google Scholar] [CrossRef]
- Hu, J.; Yang, N.; Cai, Y. Secure downlink transmission in the Internet of things: How many antennas are needed? IEEE J. Sel. Areas Commun. 2018, 36, 1622–1634. [Google Scholar] [CrossRef]
- Huang, P.; Hao, Y.; Lv, T.; Xing, J.; Yang, J.; Mathiopoulos, P. Secure beamforming design in relay-assisted Internet of things. IEEE Internet Things J. 2019, 6, 6453–6464. [Google Scholar] [CrossRef]
- Chen, G.; Tian, Z.; Gong, Y.; Chen, Z.; Chambers, J. Max-ratio relay selection in secure buffer-aided cooperative wireless networks. IEEE Trans. Inf. Forensics Secur. 2014, 9, 719–729. [Google Scholar] [CrossRef]
- Tang, X.; Cai, Y.; Huang, Y.; Duong, T.; Yang, W.; Yang, W. Secrecy outage analysis of buffer-aided cooperative MIMO relaying systems. IEEE Trans. Veh. Technol. 2018, 67, 2035–2048. [Google Scholar] [CrossRef]
- Sun, A.; Liang, T.; Zhang, Y. Performance analysis of secure buffer-aided cognitive radio network. In Proceedings of the 2015 4th IEEE/CIC International Conference on Communications in China (ICCC), Shenzhen, China, 2–4 November 2015; pp. 1–4. [Google Scholar]
- Bletsas, A.; Shin, H.; Win, M. Cooperative communications with outage-optimal opportunistic relaying. IEEE Trans. Wirel. Commun. 2007, 6, 3450–3460. [Google Scholar] [CrossRef]
- Chatzigiannakis, I.; Kinalis, A.; Nikoletseas, S. Efficient data propagation strategies in wireless sensor networks using a single mobile sink. Comput. Commun. 2008, 31, 896–914. [Google Scholar] [CrossRef]
- Chatzigiannakis, I.; Kinalis, A.; Nikoletseas, S. Fault-tolerant and efficient data propagation in wireless sensor networks using local, additional network information. J. Parallel Distrib. Comput. 2007, 67, 456–473. [Google Scholar] [CrossRef]
- Zheng, T.; Wang, H.; Yuan, J.; Towsley, D.; Lee, M. Multi-antenna transmission with artificial noise against randomly distributed eavesdroppers. IEEE Trans. Commun. 2015, 63, 4347–4362. [Google Scholar] [CrossRef]
- Zhou, X.; Ganti, R.; Andrews, J. Secure wireless network connectivity with multi-antenna transmission. IEEE Trans. Wirel. Commun. 2011, 10, 425–430. [Google Scholar] [CrossRef]
- Huang, Y.; Zhang, P.; Wu, Q.; Wang, J. Secrecy performance of wireless powered communication networks with multiple eavesdroppers and outdated CSI. IEEE Access 2018, 6, 33774–33788. [Google Scholar] [CrossRef]
- Gopala, P.; Lai, L.; Gamal, H. On the secrecy capacity of fading channels. IEEE Trans. Inf. Theory 2008, 54, 4687–4698. [Google Scholar] [CrossRef]
- Oggier, F.; Hassibi, B. The secrecy capacity of the MIMO wiretap channel. IEEE Trans. Inf. Theory 2011, 57, 4961–4972. [Google Scholar] [CrossRef]
- Chatzigiannakis, I.; Nikoletseas, S. Design and analysis of an efficient communication strategy for hierarchical and highly changing ad-hoc mobile networks. Mob. Netw. Appl. 2004, 9, 319–332. [Google Scholar] [CrossRef]
- Chatzigiannakis, I.; Nikoletseas, S.; Spirakis, P. On the average and worst-case efficiency of some new distributed communication and control algorithms for ad-hoc mobile networks. In Proceedings of the 1st ACM Int’l Workshop on Principles of Mobile Computing (POMC’01), Newport, RI, USA, August 2001; pp. 1–19. [Google Scholar]
- Gradshteyn, I.; Ryzhik, I. Table of Integrals, Series, and Products; Publishing House: San Diego, CA, USA, 2007. [Google Scholar]
- Chen, G.; Gong, Y.; Xiao, P.; Tafazolli, R. Dual antenna selection in self-backhauling multiple small cell networks. IEEE Commun. Lett. 2016, 20, 1611–1614. [Google Scholar] [CrossRef]
- Tian, Z.; Gong, Y.; Chen, G.; Chambers, J. Buffer-aided relay selection with reduced packet delay in cooperative networks. IEEE Trans. Veh. Technol. 2017, 66, 2567–2575. [Google Scholar] [CrossRef]
- Coolidge, J.L. The Story of the Binomial Theorem. Am. Math. Mon. 1949, 23, 147–157. [Google Scholar] [CrossRef]
- Afana, A.; Asghari, V.; Ghrayeb, A.; Affes, S. Cooperative relaying in spectrum-sharing systems with beamforming and interference constraints. In Proceedings of the 2012 IEEE 13th International Workshop on Signal Processing Advances in Wireless Communications (SPAWC), Cesme, Turkey, 17–20 June 2012; pp. 429–433. [Google Scholar]







| Symbol | Description | Symbol | Description |
|---|---|---|---|
| M | Number of relay sensors | The transpose operation | |
| The m-th relay sensor | The number of available links in the first hop | ||
| K | Number of eavesdroppers | The number of available links in the second hop | |
| The k-th eavesdropper | The power allocation factor | ||
| L | Buffer size | The overall secrecy outage probability | |
| The channel coefficient of link | The secrecy outage probability at state | ||
| The channel vector of link | The stationary probability vector | ||
| The expectation operation | The stationary probability vector at state | ||
| The distance between a and b | The predefined secrecy rate | ||
| The path loss factor | The secrecy outage threshold | ||
| The achievable secrecy rate of link | N | The number of all the buffer states | |
| The variance of AWGN | The state transition matrix | ||
| The maximum transmit power of S | The (v,n)th entry of A | ||
| The maximum transmit power of relay sensor | The identity matrix | ||
| The total power | The all-ones matrix | ||
| The n-th buffer state | The average secrecy throughput | ||
| The number of data packets in at state | The average end-to-end delay | ||
| The Euclidean or vector norm | The average queuing length at |
© 2019 by the authors. Licensee MDPI, Basel, Switzerland. This article is an open access article distributed under the terms and conditions of the Creative Commons Attribution (CC BY) license (http://creativecommons.org/licenses/by/4.0/).
Share and Cite
Wei, C.; Yang, W.; Cai, Y. Secure Transmission for Buffer-Aided Relay Networks in the Internet of Things. Appl. Sci. 2019, 9, 4506. https://doi.org/10.3390/app9214506
Wei C, Yang W, Cai Y. Secure Transmission for Buffer-Aided Relay Networks in the Internet of Things. Applied Sciences. 2019; 9(21):4506. https://doi.org/10.3390/app9214506
Chicago/Turabian StyleWei, Chen, Wendong Yang, and Yueming Cai. 2019. "Secure Transmission for Buffer-Aided Relay Networks in the Internet of Things" Applied Sciences 9, no. 21: 4506. https://doi.org/10.3390/app9214506
APA StyleWei, C., Yang, W., & Cai, Y. (2019). Secure Transmission for Buffer-Aided Relay Networks in the Internet of Things. Applied Sciences, 9(21), 4506. https://doi.org/10.3390/app9214506

