Genome Size Unaffected by Variation in Morphological Traits, Temperature, and Precipitation in Turnip
Abstract
Featured Application
Abstract
1. Introduction
2. Materials and Methods
2.1. Plant Materials
2.2. Measurement of Morphological Characteristics
2.3. Measurement of Seed Characteristics
2.4. GS Measurements
2.5. Contribution of Ecogeographical Variables to Changes in Morphology and GS
2.6. Statistical Analysis
3. Results
3.1. Variation in Morphological Characteristics
3.2. Variation in Seed Characteristics
3.3. Variation in GS
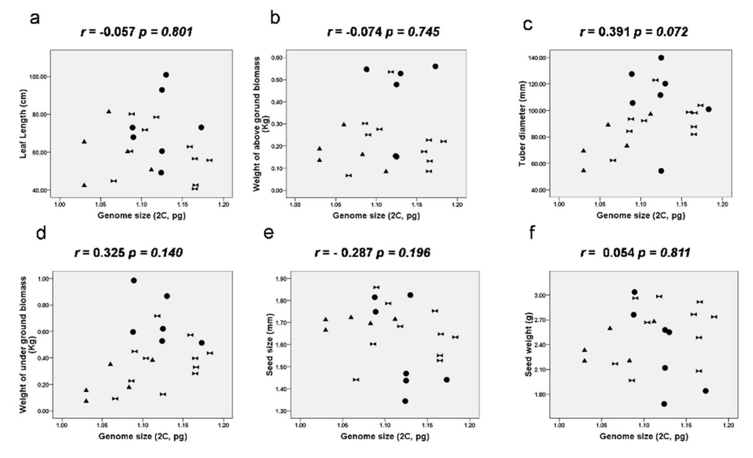
3.4. Correlation between Plant Characteristics
3.5. Correlation between Environments and Plant Characteristics
3.6. PCA of Bioclimatic Variables and Seed Characteristics
4. Discussion
5. Conclusions
Supplementary Materials
Author Contributions
Funding
Acknowledgments
Conflicts of Interest
References
- Yan, H.; Martin, S.L.; Bekele, W.A.; Latta, R.G.; Diederichsen, A.; Peng, Y.; Tinker, N.A. Genome size variation in the genus Avena. Genome 2016, 59, 209–220. [Google Scholar] [CrossRef] [PubMed]
- Pellicer, J.; Hidalgo, O.; Dodsworth, S.; Leitch, I.J. Genome size diversity and its impact on the evolution of land plants. Genes 2018, 9, 88. [Google Scholar] [CrossRef] [PubMed]
- Benor, S.; Fuchs, J.; Blattner, F.R. Genome size variation in Corchorusolitorius (Malvaceae s.l.) and its correlationwith elevation and phenotypic traits. Genome 2011, 54, 575–585. [Google Scholar] [CrossRef] [PubMed]
- Du, Y.P.; Bi, Y.; Zhang, M.F.; Yang, F.P.; Jia, G.X.; Zhang, X.H. Genome size diversity in Lilium (Liliaceae) is correlated with karyotype and environmental traits. Front. Plant Sci. 2017, 8, 1303. [Google Scholar] [CrossRef] [PubMed]
- Gallagher, R.V.; Leishman, M.R.; Miller, J.T.; Hui, C.; Richardson, D.M.; Suda, J.; Trávniček, P. Invasiveness in introduced Australian acacias: The role of species traits and genome size. Divers. Distrib. 2011, 17, 884–897. [Google Scholar] [CrossRef]
- Khorami, S.S.; Arzani, K.; Karimzadeh, G.; Shojaeiyan, A.; Ligterink, W. Genome size: A novel predictor of nut weight and nut size of walnut trees. HortScience 2018, 53, 275–282. [Google Scholar] [CrossRef]
- Krahulcová, A.; Trávníček, P.; Krahulec, F.; Rejmánek, M. Small genomes and large seeds: Chromosome numbers, genome size and seed mass in diploid Aesculus species (Sapindaceae). Ann. Bot. 2017, 119, 957–964. [Google Scholar] [CrossRef]
- Realini, M.F.; Poggio, L.; Cẚmara-Hernẚndez, J.; Gonzẚlez, G.E. Intra-specific variation in genome size in maize: Cytological and phenotypic correlates. AoB Plants 2016, 8. [Google Scholar] [CrossRef]
- Knight, C.A.; Beaulieu, J.M. Genome size scaling through phenotype space. Ann. Bot. 2008, 101, 759–766. [Google Scholar] [CrossRef]
- Herben, T.; Suda, J.; Klimešová, J.; Mihulka, S.; Říha, P.; Šímová, I. Ecological effects of cell-level processes: Genome size, functional traits and regional abundance of herbaceous plant species. Ann. Bot. 2012, 110, 1357–1367. [Google Scholar] [CrossRef]
- Morgan, H.D.; Westoby, M. The relationship between nuclear DNA content and leaf strategy in seed plants. Ann. Bot. 2005, 96, 1321–1330. [Google Scholar] [CrossRef]
- Beaulieu, J.M.; Moles, A.T.; Leitch, I.J.; Bennett, M.D.; Dickie, J.B.; Knight, C.A. Correlated evolution of genome size and seed mass. New Phytol. 2007, 173, 422–437. [Google Scholar] [CrossRef] [PubMed]
- Gunn, B.F.; Baudouin, L.; Beulé, T.; Ilbert, P.; Duperray, C.; Crisp, M.; Issali, A.; Konan, J.L.; Rival, A. Ploidy and domestication are associated with genome size variation in palms. Am. J. Bot. 2015, 102, 1625–1633. [Google Scholar] [CrossRef] [PubMed]
- Stetter, M.G.; Muller, T.; Schmid, K.J. Incomplete domestication of South American grain amaranth (Amaranthuscaudatus) from its wild relatives. bioRxiv 2015. [Google Scholar] [CrossRef]
- Münzbergová, Z. The effect of genome size on detailed species traits within closely related species of the same habitat. Bot. J. Linn. Soc. 2009, 160, 290–298. [Google Scholar] [CrossRef]
- Kahiluoto, H.; Kaseva, J.; Balek, J.; Olesen, J.E.; Ruiz-Ramos, M.; Gobin, A.; Kersebaum, K.C.; Takáč, J.; Ruget, F.; Ferrise, R.; et al. Decline in climate resilience of European wheat. Proc. Natl. Acad. Sci. USA 2019, 116, 123–128. [Google Scholar] [CrossRef]
- Henry, R.J.; Nevo, E. Exploring natural selection to guide breeding for agriculture. Plant Biotechnol. J. 2014, 12, 655–662. [Google Scholar] [CrossRef] [PubMed]
- Jarvis, D.I.; Brown, A.H.; Cuong, P.H.; Collado-Panduro, L.; Latournerie-Moreno, L.; Gyawali, S.; Tanto, T.; Sawadogo, M.; Mar, I.; Sadiki, M.; et al. A global perspective of the richness and evenness of traditional crop-variety diversity maintained by farming communities. Proc. Natl. Acad. Sci. USA 2008, 105, 5326–5331. [Google Scholar] [CrossRef] [PubMed]
- Reed, T.E.; Schindler, D.E.; Waples, R.S. Interacting effects of phenotypic plasticity and evolution on population persistence in a changing climate. Conserv. Biol. 2011, 25, 56–63. [Google Scholar] [CrossRef] [PubMed]
- Díez, C.M.; Gaut, B.S.; Meca, E.; Scheinvar, E.; Montes-Hemandez, S.; Eguiarte, L.E.; Tenaillon, M.I. Genome size variation in wild and cultivated maize along altitudinal gradients. New Phytol. 2013, 199, 264–276. [Google Scholar] [CrossRef]
- Pellicer, J.; Estiarte, M.; Garcia, S.; Garnatje, T.; Peñuelas, J.; Sardans, J.; Vallès, J. Genome size unaffected by moderate changes in climate and phosphorus availability in Mediterranean plants. Afr. J. Biotechnol. 2010, 9, 6070–6077. [Google Scholar]
- Leitch, I.J. Genome sizes through the ages. Heredity 2007, 99, 121–122. [Google Scholar] [CrossRef] [PubMed]
- Zeng, X.; Guo, Y.; Xu, Q.; Mascher, M.; Guo, G.; Li, G.; Li, S.; Mao, L.; Liu, Q.; Xia, Z.; et al. Origin and evolution of qingke barley in Tibet. Nat. Commun. 2018, 9, 5433. [Google Scholar] [CrossRef] [PubMed]
- Liu, J.; Milne, R.I.; Cadotte, M.W.; Wu, Z.Y.; Provan, J.; Zhu, G.F.; Gao, L.M.; Li, D.Z. Protect Third Pole’s fragile ecosystem. Science 2018, 362, 6421. [Google Scholar]
- Meng, L.H.; Yang, J.; Guo, W.; Tian, B.; Chen, G.J.; Yang, Y.P.; Duan, Y.W. Differentiation in drought tolerance mirrors the geographic distributions of alpine plants on the Qinghai-Tibet Plateau and adjacent highlands. Sci. Rep. 2017, 7, 42466. [Google Scholar] [CrossRef] [PubMed]
- Wei, Y.; Wang, S.; Fang, Y.; Nawaz, Z. Integrated assessment on the vulnerability of animal husbandry to snow disasters under climate change in the Qinghai-Tibetan Plateau. Glob. Planet. Chang. 2017, 157, 139–152. [Google Scholar] [CrossRef]
- D’AlpoimGuedes, J. Rethinking the spread of agriculture to the Tibetan Plateau. Holocene 2015, 25, 1498–1510. [Google Scholar] [CrossRef]
- Facts and Details. Agriculture in Tibet. Available online: http://factsanddetails.com/china/cat6/sub37/item1693.html (accessed on 11 July 2017).
- Basak, S.; Wang, G.Y.; Sun, X.; Yang, Y.P. Variations in genome size of turnip landraces from two high altitude environments. J. Am. Soc. Hortic. Sci. 2018, 143, 136–143. [Google Scholar] [CrossRef]
- Li, X.; Yin, X.; Yang, S.; Yang, Y.Q.; Qian, M.; Zhou, Y.; Zhang, C.; Du, Y.; Yang, Y.P. Variations in seed characteristics among and within Stipapurpurea populations on the Qinghai–Tibet Plateau. Botany 2015, 93, 651–662. [Google Scholar] [CrossRef]
- Doležel, J.; Doleželova, M.; Novak, F.J. Flow cytometric estimation of nuclear DNA amount in diploid bananas (Musa acuminate and M. balbisiana). Biol. Plant. 1994, 36, 351–357. [Google Scholar] [CrossRef]
- Loureiro, J.; Rodriguez, E.; Doležel, J.; Santos, C. Two new nuclear isolation buffers for plant DNA flow cytometry: A test with 37 species. Ann. Bot. 2007, 100, 875–888. [Google Scholar] [CrossRef]
- R Core Team. R: A Language and Environment for Statistical Computing; R Foundation for Statistical Computing: Vienna, Austria. Available online: https://www.R-project.org/ (accessed on 26 March 2018).
- Wang, G.Y.; Basak, S.; Grumbine, R.E.; Yang, Y.P. Polyploidy and aneuploidy of seed plants from the Qinghai Tibetan Plateau and their biological implications. Plant Syst. Evol. 2017, 303, 565–571. [Google Scholar] [CrossRef]
- Qi, W.; Bu, H.; Cornelissen, J.H.C.; Zhang, C.; Guo, S.; Wang, J.; Zhou, X.; Li, W.; Du, G. Untangling interacting mechanisms of seed mass variation with elevation: Insights from the comparison of inter-specific and intra-specific studies on eastern Tibetan angiosperm species. Plant Ecol. 2015, 216, 283–292. [Google Scholar] [CrossRef]
- Adhikari, B.; Pendry, C.A.; Moller, M. New chromosome counts of Berberis L. (Berberidaceae) suggest that polyploidy does not play significant role in the diversification of the genus in the Nepal Himalaya. Edinb. J. Bot. 2014, 71, 297–308. [Google Scholar] [CrossRef]
- Šmarda, P.; Bureš, P. Understanding intraspecific variation in genome size in plants. Preslia 2010, 82, 41–61. [Google Scholar]
- Johnston, J.S.; Pepper, A.E.; Hall, A.E.; Chen, Z.J.; Hodnett, G.; Drabek, J.; Lopez, R.; Price, H.J. Evolution of genome size in Brassicaceae. Ann. Bot. 2005, 95, 229–235. [Google Scholar] [CrossRef]
- Sun, H.; Niu, Y.; Chen, Y.S.; Song, B.; Liu, C.Q.; Peng, D.L.; Chen, J.G.; Yang, Y. Survival and reproduction of plant species in the Qinghai–Tibet Plateau. J. Syst. Evol. 2014, 52, 378–396. [Google Scholar] [CrossRef]
- Murray, B.G. When does intraspecific C-value variation become taxonomically significant? Ann. Bot. 2005, 95, 119–125. [Google Scholar] [CrossRef] [PubMed]
- Oliver, M.J.; Petrov, D.; Ackerly, D.D.; Falkowski, P.; Schofield, O.M. The mode and tempo of genome size evolution in eukaryotes. Genome Res. 2007, 17, 594–601. [Google Scholar] [CrossRef]
- Knight, C.A.; Molinari, N.A.; Petrov, D.A. The large genome constraint hypothesis: Evolution, ecology and phenotype. Ann. Bot. 2005, 95, 177–190. [Google Scholar] [CrossRef] [PubMed]
- Caceres, M.E.; De Pace, C.; Scarascia-Mugnozza, G.T.; Kotsonis, P.; Ceccarelli, M.; Cionini, P.G. Genome size variations within Dasypyrumvillosum: Correlations with chromosomal traits, environmental factors and plant phenotypic characteristics and behaviour in reproduction. Theor. Appl. Genet. 1998, 96, 559–567. [Google Scholar] [CrossRef]
- Creber, H.M.C.; Davies, M.S.; Francis, D.; Walker, H.D. Variation in DNA C value in natural populations of Dactylisglomerata L. New Phytol. 1994, 128, 555–561. [Google Scholar] [CrossRef]
- Lysak, M.; Rostkova, A.; Dixon, J.; Rossi, G.; Doležel, J. Limited genome size variation in Sesleriaalbicans. Ann. Bot. 2000, 86, 399–403. [Google Scholar] [CrossRef]
- Poggio, L.; Rosato, M.; Chiavarino, A.M.; Naranjo, C.A. Genome size and environmental correlations in maize (Zea mays ssp. mays, Poaceae). Ann. Bot. 1998, 82, 107–115. [Google Scholar] [CrossRef]
- De Frenne, P.; Graae, B.; Rodríguez-Sánchez, F.; Kolb, A.; Chabrerie, O.; Decocq, G.; Kort, H.D.; Schrijver, A.D.; Diekmann, M.; Eriksson, O.; et al. Latitudinal gradients as natural laboratories to infer species’ responses to temperature. J. Ecol. 2013, 101, 784–795. [Google Scholar] [CrossRef]
- Mercer, K.; Martἰnez-Vẚsquez, A.; Perales, H.R. Asymmetrical local adaptation of maize landraces along an altitudinal gradient. Evol. Appl. 2008, 1, 489–500. [Google Scholar] [CrossRef]
- Eagles, H.A.; Lothrop, J.E. Highland maize from central Mexico—Its origin, characteristics, and use in breeding programs. Crop Sci. 1994, 34, 11–19. [Google Scholar] [CrossRef]






© 2019 by the authors. Licensee MDPI, Basel, Switzerland. This article is an open access article distributed under the terms and conditions of the Creative Commons Attribution (CC BY) license (http://creativecommons.org/licenses/by/4.0/).
Share and Cite
Basak, S.; Sun, X.; Wang, G.; Yang, Y. Genome Size Unaffected by Variation in Morphological Traits, Temperature, and Precipitation in Turnip. Appl. Sci. 2019, 9, 253. https://doi.org/10.3390/app9020253
Basak S, Sun X, Wang G, Yang Y. Genome Size Unaffected by Variation in Morphological Traits, Temperature, and Precipitation in Turnip. Applied Sciences. 2019; 9(2):253. https://doi.org/10.3390/app9020253
Chicago/Turabian StyleBasak, Supriyo, Xudong Sun, Guangyan Wang, and Yongping Yang. 2019. "Genome Size Unaffected by Variation in Morphological Traits, Temperature, and Precipitation in Turnip" Applied Sciences 9, no. 2: 253. https://doi.org/10.3390/app9020253
APA StyleBasak, S., Sun, X., Wang, G., & Yang, Y. (2019). Genome Size Unaffected by Variation in Morphological Traits, Temperature, and Precipitation in Turnip. Applied Sciences, 9(2), 253. https://doi.org/10.3390/app9020253

