Locomotion Control of Snake-Like Robot with Rotational Elastic Actuators Utilizing Observer
Abstract
:1. Introduction
2. Modeling of the Snake-Like Robot Switching Side-Slipping Passively
2.1. Modeling of the Five-Link Snake-Like Robot with a Rotational Elastic Actuator
2.2. Constraint Forces to Prevent Side-Slipping
3. Design of the Luenberger Observer
4. Design of Head Position Control System Considering Side-Slipping
5. Numerical Simulations
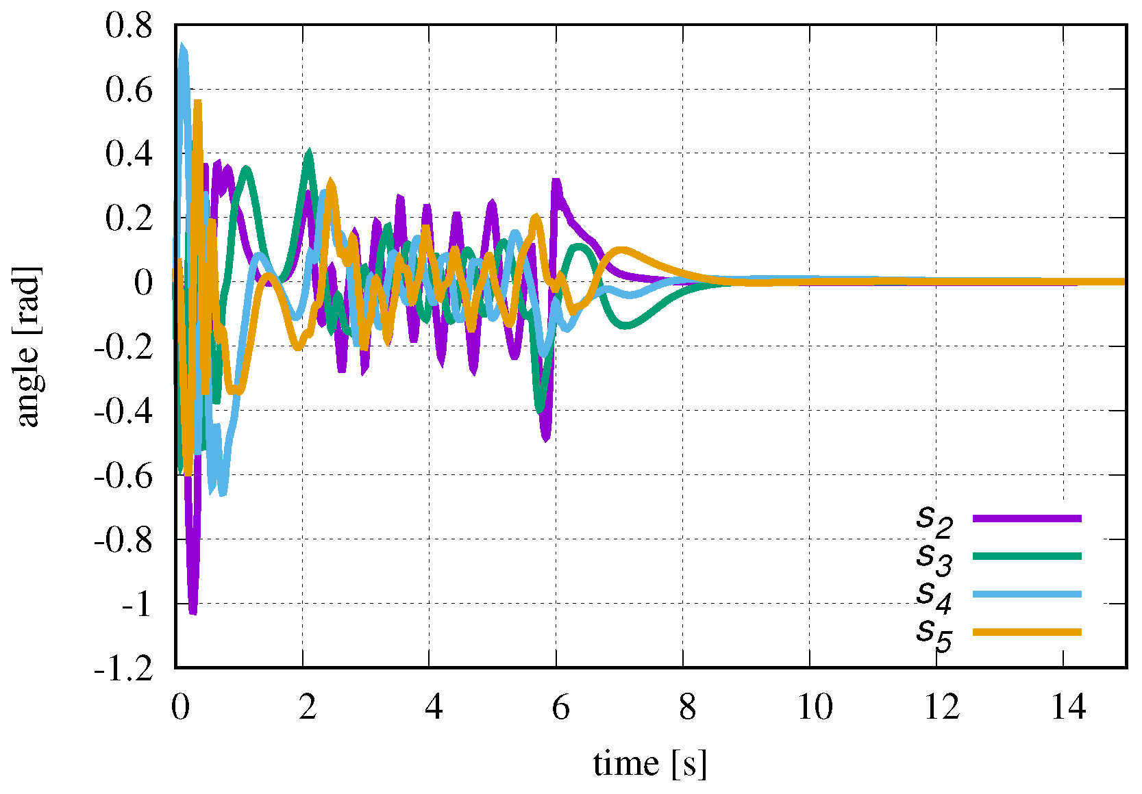
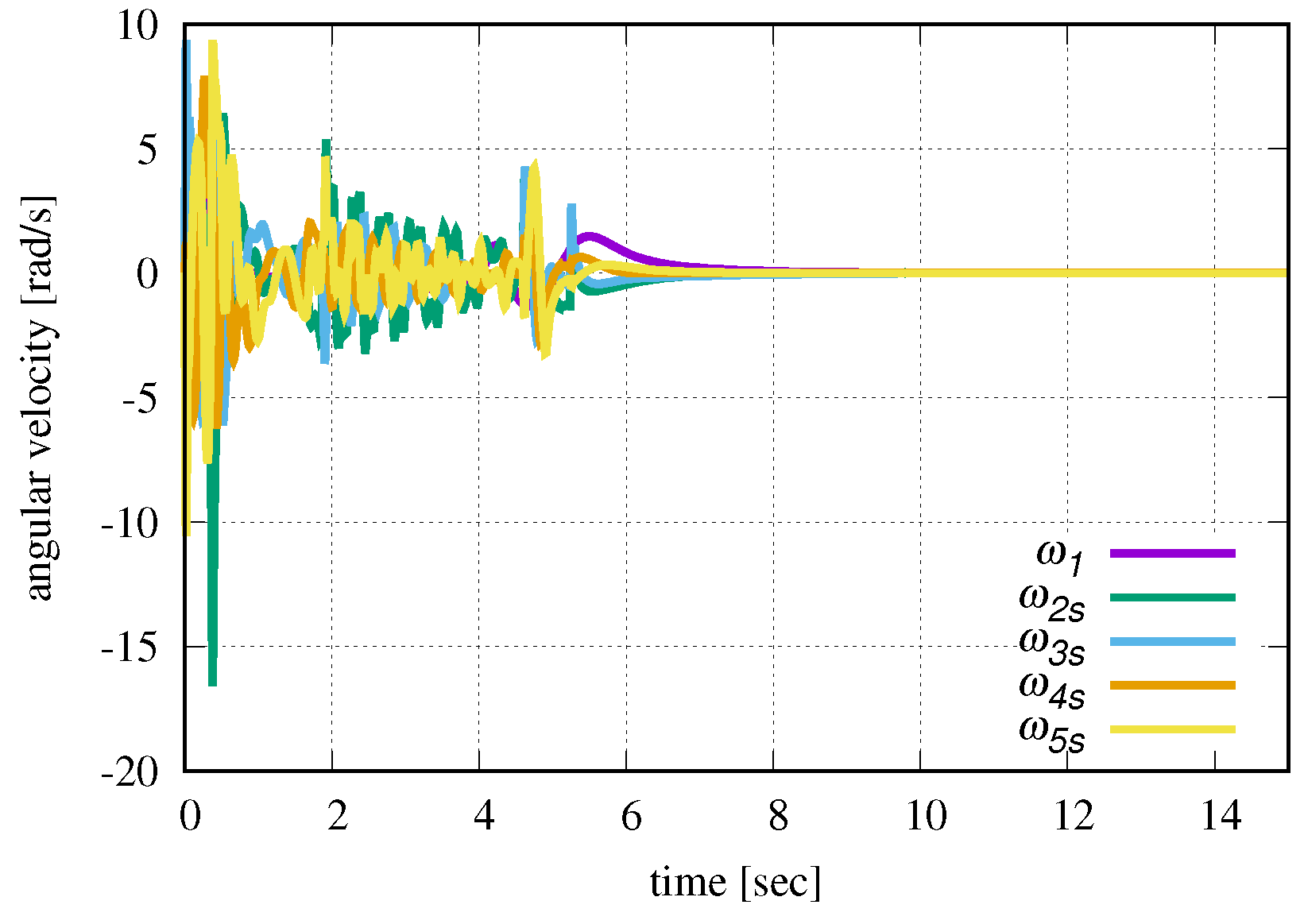
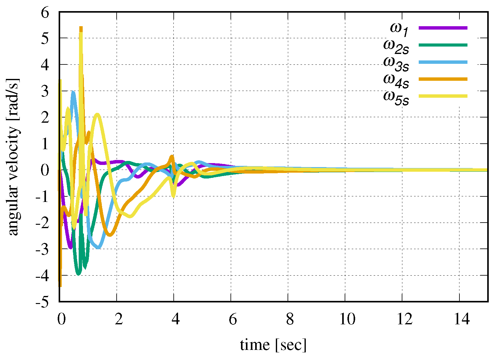
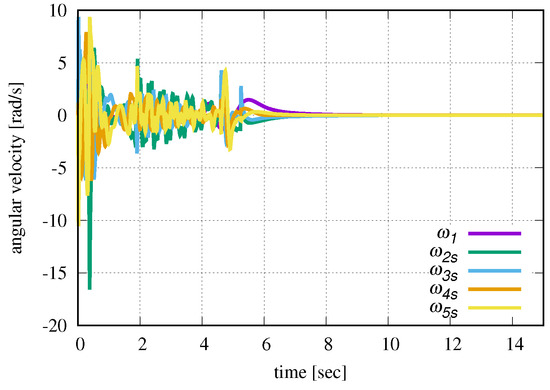
5.1. Case 1
5.2. Case 2
5.3. Case 3
5.4. Discussion
6. Conclusions
Author Contributions
Funding
Conflicts of Interest
References
- Hirose, S. Biologically Inspired Robots: Snake-Like Locomotors and Manipulators; Oxford University Press: Oxford, UK, 1993. [Google Scholar]
- Endo, G.; Togawa, K.; Hirose, S. Study on self-contained and terrain adaptive active cord mechanism. J. Robot. Soc. Jpn. 2000, 18, 419–425. [Google Scholar] [CrossRef]
- Yamada, H.; Mori, M.; Hirose, S. Stabilization of the head of an undulating snake-like robot. In Proceedings of the 2007 IEEE/RSJ International Conference on Intelligent Robots and Systems, San Diego, CA, USA, 29 October–2 November 2007; pp. 3566–3571. [Google Scholar]
- Ma, S.; Tadokoro, N. Analysis of creeping locomotion of a snake-like robot on a slope. Auton. Robots 2006, 20, 15–23. [Google Scholar] [CrossRef]
- Nansai, S.; Iwase, M. Tracking control of snake-like robot with rotational elastic actuators. In Proceedings of the 12th International Conference on Control, Automation and Systems, JeJu Island, Korea, 17–21 October 2012; pp. 678–683. [Google Scholar]
- Bing, Z.; Cheng, L.; Chen, G.; Röhrbein, F.; Huang, K.; Knoll, A. Towards autonomous locomotion: CPG-based control of smooth 3D slithering gait transition of a snake-like robot. Bioinspir. Biomim. 2017, 12, 035001. [Google Scholar] [CrossRef] [PubMed]
- Dao, Q.M.; Vo, Q.T. Design of a CPG-based close-loop direction control system for lateral undulation gait of snake-like robots. In Proceedings of the 2017 International Conference on Advanced Technologies for Communications (ATC), Quy Nhon, Vietnam, 18–20 October 2017; pp. 114–119. [Google Scholar]
- Wang, J.; Ouyang, W.; Gao, W.; Ren, Q. Locomotion control of a serpentine crawling robot inspired by central pattern generators. In Proceedings of the Asia-Pacific Signal and Information Processing Association Annual Summit and Conference (APSIPA ASC), Kuala Lumpur, Malaysia, 12–15 December 2017; pp. 414–419. [Google Scholar]
- Manzoor, S.; Cho, Y.G.; Choi, Y. Neural oscillator based CPG for various rhythmic motions of modular snake robot with active joints. J. Intell. Robot. Syst. 2019, 94, 641–654. [Google Scholar] [CrossRef]
- Izu, H.; Date, H.; Shigeta, K.; Yamanaka, T.; Nakaura, S.; Sampei, M. Locomotion and coiling motion control of snakelike robot using pneumatic actuators. In Proceedings of the 41st SICE Annual Conference—SICE 2002, Osaka, Japan, 5–7 August 2002; Volume 3, pp. 1476–1480. [Google Scholar]
- Yamakita, M.; Hashimoto, M.; Yamada, T. Control of locomotion and head configuration of 3D snake robot (SMA). In Proceedings of the IEEE International Conference on Robotics and Automation, ICRA’03. Taipei, Taiwan, 14–19 September 2003; Volume 2, pp. 2055–2060. [Google Scholar]
- Matsuno, F.; Sato, H. Trajectory tracking control of snake robots based on dynamic model. In Proceedings of the 2005 IEEE International Conference on Robotics and Automation, Barcelona, Spain, 18–22 April 2005; pp. 3029–3034. [Google Scholar]
- Nakajima, M.; Tanaka, M.; Tanaka, K.; Matsuno, F. Motion control of a snake robot moving between two nonparallel planes. Adv. Robot. 2018, 32, 559–573. [Google Scholar] [CrossRef]
- Fukushima, H.; Satomura, S.; Kawai, T.; Tanaka, M.; Kamegawa, T.; Matsuno, F. Modeling and control of a snake-like robot using the screw-drive mechanism. IEEE Trans. Robot. 2012, 28, 541–554. [Google Scholar] [CrossRef]
- Ariizumi, R.; Takahashi, R.; Tanaka, M.; Asai, T. Head-Trajectory-Tracking Control of a Snake Robot and Its Robustness Under Actuator Failure. IEEE Trans. Control Syst. Technol. 2018. [Google Scholar] [CrossRef]
- Tanaka, M.; Nakajima, M.; Suzuki, Y.; Tanaka, K. Development and control of articulated mobile robot for climbing steep stairs. IEEE/ASME Trans. Mechatron. 2018, 23, 531–541. [Google Scholar] [CrossRef]
- Tanaka, M.; Tadakuma, K.; Nakajima, M.; Fujita, M. Task-Space Control of Articulated Mobile Robots with a Soft Gripper for Operations. IEEE Trans. Robot. 2018, 35, 135–146. [Google Scholar] [CrossRef]
- Tanaka, M.; Tanaka, K. Shape control of a snake robot with joint limit and self-collision avoidance. IEEE Trans. Control Syst. Technol. 2016, 25, 1441–1448. [Google Scholar] [CrossRef]
- Tanaka, M.; Nakajima, M.; Tanaka, K. Smooth control of an articulated mobile robot with switching constraints. Adv. Robot. 2016, 30, 29–40. [Google Scholar] [CrossRef]
- Watanabe, K.; Iwase, M.; Hatakeyama, S.; Maruyama, T. Control strategy for a snake-like robot based on constraint force and its validation. In Proceedings of the IEEE/ASME International Conference on Advanced Intelligent Mechatronics, Zurich, Switzerland, 4–7 September 2007; pp. 1–6. [Google Scholar]
- Watanabe, K.; Iwase, M.; Hatakeyama, S.; Maruyama, T. Control strategy for a snake-like robot based on constraint force and verification by experiment. Adv. Robot. 2009, 23, 907–937. [Google Scholar] [CrossRef]
- Yanagida, T.; Kasahara, M.; Iwase, M. Locomotion Control of Snake-like Robot on Geometrically Smooth Surface. IFAC-PapersOnLine 2015, 48, 162–167. [Google Scholar] [CrossRef]
- Nansai, S.; Elara, M.R.; Iwase, M. Dynamic Hybrid Position Force Control using Virtual Internal Model to realize a cutting task by a snake-like robot. In Proceedings of the 2016 6th IEEE International Conference on Biomedical Robotics and Biomechatronics (BioRob), Singapore, 26–29 June 2016; pp. 151–156. [Google Scholar]
- Tashiro, K.; Nansai, S.; Iwase, M.; Hatakeyama, S. Development of snake-like robot climbing up slope in consideration of constraint force. In Proceedings of the IECON 2012—38th Annual Conference on IEEE Industrial Electronics Society, Montreal, QC, Canada, 25–28 October 2012; pp. 5422–5427. [Google Scholar]
- Xiao, S.; Bing, Z.; Huang, K.; Huang, Y. Snake-like robot climbs inside different pipes. In Proceedings of the 2017 IEEE International Conference on Robotics and Biomimetics (ROBIO), Macau, China, 5–8 December 2017; pp. 1232–1239. [Google Scholar]
- Bing, Z.; Cheng, L.; Knoll, A.; Zhong, A.; Huang, K.; Zhang, F. Slope angle estimation based on multi-sensor fusion for a snake-like robot. In Proceedings of the 2017 20th International Conference on Information Fusion (Fusion), Xi’an, China, 10–13 July 2017; pp. 1–6. [Google Scholar]
- Bai, Y.; Hou, Y. Research of Pose Control Algorithm of Coal Mine Rescue Snake Robot. Math. Probl. Eng. 2018, 2018, 4751245. [Google Scholar] [CrossRef]
- Hongyan, L.; Yuanbin, H. A Multi-objective Optimization Behavior Fusion Avoidance Method for Snake-like Rescue Robot. In Proceedings of the MATEC Web of Conferences, Chengdu, China, 16–17 December 2017; Volume 139, p. 155. [Google Scholar]
- Suhara, H.; Kamegawa, T.; Gofuku, A. Realization of a snake robot that passes through inside of bent pipe connected with straigt pipes by helical rolling motion. Proc. JSME Annu. Conf. Robot. Mechatron. (Robomec) 2016, 2016. [Google Scholar] [CrossRef]
- Kamegawa, T.; Qi, W.; Suhara, H.; Matsuda, E.; Akiyama, T.; Sakai, S.; Takemori, T.; Fujiwara, T.; Matsuno, F.; Suzuki, Y.; et al. Development of a snake robot moving in a pipe with helical rolling motion. Proc. JSME Annu. Conf. Robot. Mechatron. (Robomec) 2017, 2017. [Google Scholar] [CrossRef]
- Ariizumi, R.; Matsuno, F. Dynamic analysis of three snake robot gaits. IEEE Trans. Robot. 2017, 33, 1075–1087. [Google Scholar] [CrossRef]
- Rollinson, D.; Choset, H. Pipe network locomotion with a snake robot. J. Field Robot. 2016, 33, 322–336. [Google Scholar] [CrossRef]
- Takagi, Y.; Sueoka, Y.; Ishikawa, M.; Osuka, K. Analysis and control of a snake-like robot with controllable side-thrust links. In Proceedings of the 2017 11th Asian Control Conference (ASCC), Gold Coast, QLD, Australia, 17–20 December 2017; pp. 754–759. [Google Scholar]
- Takagi, Y.; Sueoka, Y.; Ishikawa, M.; Osuka, K. Snake-Like Robot with Controllable Side-Thrust Links: Dynamical Modeling and a Variable Undulation Motion. In Proceedings of the 2018 IEEE/ASME International Conference on Advanced Intelligent Mechatronics (AIM), Auckland, New Zealand, 9–12 July 2018; pp. 63–68. [Google Scholar]
- Malayjerdi, M.; Akbarzadeh Tootoonchi, A. Analytical modeling of a 3-D snake robot based on sidewinding. Int. J. Dyn. Control 2018, 6, 1–11. [Google Scholar] [CrossRef]
- Malayjerdi, M.; Akbarzadeh, A. Analytical modeling of a 3-D snake robot based on sidewinding locomotion. Int. J. Dyn. Control 2019, 7, 83–93. [Google Scholar] [CrossRef]
- Bando, Y.; Suhara, H.; Tanaka, M.; Kamegawa, T.; Itoyama, K.; Yoshii, K.; Matsuno, F.; Okuno, H.G. Sound-based online localization for an in-pipe snake robot. In Proceedings of the 2016 IEEE International Symposium on Safety, Security, and Rescue Robotics (SSRR), Lausanne, Switzerland, 23–27 October 2016; pp. 207–213. [Google Scholar]
- Takemori, T.; Tanaka, M.; Matsuno, F. Gait design of a snake robot by connecting simple shapes. In Proceedings of the 2016 IEEE International Symposium on Safety Security, and Rescue Robotics (SSRR), Lausanne, Switzerland, 23–27 October 2016; pp. 189–194. [Google Scholar]
- Takemori, T.; Tanaka, M.; Matsuno, F. Gait design for a snake robot by connecting curve segments and experimental demonstration. IEEE Trans. Robot. 2018, 34, 1384–1391. [Google Scholar] [CrossRef]
- Takemori, T.; Tanaka, M.; Matsuno, F. Ladder climbing with a snake robot. In Proceedings of the 2018 IEEE/RSJ International Conference on Intelligent Robots and Systems (IROS), Madrid, Spain, 1–5 October 2018; pp. 1–9. [Google Scholar]
- Arczewski, K.; Blajer, W. A unified approach to the modelling of holonomic and nonholonomic mechanical systems. Math. Model. Syst. 1996, 2, 157–174. [Google Scholar] [CrossRef]
- Blajer, W. A Geometrical Interpretation and Uniform Matrix Formulation of Multibody Systems Dynamics. Z. Angew. Math. Mech. 2004, 81, 247–259. [Google Scholar] [CrossRef]
- Ohsaki, H.; Iwase, M.; Hatakeyama, S. A Consideration of Nonlinear System Modeling using the Projection Method. In Proceedings of the SICE Annual Conference, Takamatsu, Japan, 17–20 September 2007; pp. 1915–1920. [Google Scholar]
- Cottle, R.W. Linear Complementarity Problem; Springer: Boston, MA, USA, 2009. [Google Scholar]
- Liljebäck, P.; Pettersen, K.Y.; Stavdahl, Ø. A snake robot with a contact force measurement system for obstacle-aided locomotion. In Proceedings of the 2010 IEEE International Conference on Robotics and Automation, Anchorage, AK, USA, 3–7 May 2010. [Google Scholar]
- Yuta, S. Locomotion Control of Snake-Like Robot Considering Interaction with Environment. Master’s Thesis, Tokyo Denki University, Tokyo, Japan, 2012. [Google Scholar]
- Nansai, S.; Suzuki, Y.; Iwase, M.; Izutsu, M.; Hatakeyama, S. Development of snake-like robot with rotational elastic actuators. In Proceedings of the 2011 11th International Conference on Control, Automation and Systems, Gyeonggi-do, Korea, 26–29 October 2011; pp. 19–24. [Google Scholar]
- Cloutier, J.R. State-dependent Riccati equation techniques: An overview. In Proceedings of the 1997 American Control Conference (Cat. No. 97CH36041), Albuquerque, NM, USA, 6 June 1997; Volume 2, pp. 932–936. [Google Scholar]
- Cimen, T. Survey of state-dependent Riccati equation in nonlinear optimal feedback control synthesis. J. Guid. Control Dyn. 2012, 35, 1025–1047. [Google Scholar] [CrossRef]
- Chigisaki, S.; Mori, M.; Yamada, H.; Hirose, S. Design and control of amphibious Snake-like Robot ACM-R5. In Proceedings of the 36th International Symposium on Robotics, Tokyo, Japan, 29 November–1 December 2005. [Google Scholar]
- Wright, C.; Buchan, A.; Brown, B.; Geist, J.; Schwerin, M.; Rollinson, D.; Tesch, M.; Choset, H. Design and architecture of the unified modular snake robot. In Proceedings of the 2012 IEEE International Conference on Robotics and Automation, Saint Paul, MN, USA, 14–18 May 2012; pp. 4347–4354. [Google Scholar]
- Masanobu, K. MaTX/RtMaTX: A Freeware for Integrated CACSD. In Proceedings of the 1999 IEEE International Symposium on Computer Aided Control System Design (Cat. No. 99TH8404), Kohala Coast, HI, USA, 27 August 1999; pp. 452–456. [Google Scholar]






































| Parameters | Notation | Value |
|---|---|---|
| Inertia moment [kg·m] | 0.1 | |
| 0.001 | ||
| Viscous friction coefficient [Nm·s/rad] | 0.1 | |
| 0.001 | ||
| Mass [kg] | 1.0 | |
| 0.1 | ||
| Length from extremity to center of gravity [m] | 0.2 | |
| Length from center of gravity to end [m] | 0.2 | |
| Spring constant [Nm/rad] | 5.0 |
© 2019 by the authors. Licensee MDPI, Basel, Switzerland. This article is an open access article distributed under the terms and conditions of the Creative Commons Attribution (CC BY) license (http://creativecommons.org/licenses/by/4.0/).
Share and Cite
Nansai, S.; Yamato, T.; Iwase, M.; Itoh, H. Locomotion Control of Snake-Like Robot with Rotational Elastic Actuators Utilizing Observer. Appl. Sci. 2019, 9, 4012. https://doi.org/10.3390/app9194012
Nansai S, Yamato T, Iwase M, Itoh H. Locomotion Control of Snake-Like Robot with Rotational Elastic Actuators Utilizing Observer. Applied Sciences. 2019; 9(19):4012. https://doi.org/10.3390/app9194012
Chicago/Turabian StyleNansai, Shunsuke, Takumi Yamato, Masami Iwase, and Hiroshi Itoh. 2019. "Locomotion Control of Snake-Like Robot with Rotational Elastic Actuators Utilizing Observer" Applied Sciences 9, no. 19: 4012. https://doi.org/10.3390/app9194012
APA StyleNansai, S., Yamato, T., Iwase, M., & Itoh, H. (2019). Locomotion Control of Snake-Like Robot with Rotational Elastic Actuators Utilizing Observer. Applied Sciences, 9(19), 4012. https://doi.org/10.3390/app9194012

