Catalytic Performances of Platinum Containing PLLA Macrocomplex in the Hydrogenation of α,β-Unsaturated Carbonyl Compounds
Abstract
:1. Introduction
2. Materials and Methods
2.1. Materials and Instrumentations
2.2. Synthesis of Macroligand, Macrocomplex, and Reference Catalyst
2.2.1. Synthesis of Macroligand PLLA-Bipy
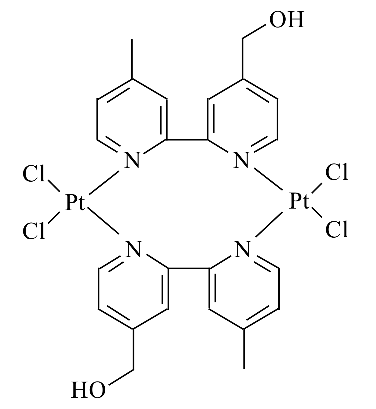
2.2.2. Synthesis of the Macrocomplex Pt(PLLA-Bipy)Cl2
2.2.3. Synthesis of the Complex Pt(Bipy)Cl2
2.3. Catalytic Experiments
3. Results
3.1. Platinum Containing Poly(Lactic Acid) Macrocomplex
3.2. Catalytic Experiments
4. Conclusions
Author Contributions
Funding
Acknowledgments
Conflicts of Interest
References
- Leach, B. Applied Industrial Catalysis; Elsevier: Amsterdam, The Netherlands, 2012. [Google Scholar]
- Pevere, E.F.; Vermillion, H.E. Recovery of Viscous Crude Oil. Google Patents. U.S. Patents No. 2,857,002, 21 October 1958. [Google Scholar]
- Kodera, Y.; Kato, J.; Ohse, H.; Ohshima, S.; Shimada, K.; Suzuki, M.; Kiriki, Y. Hydrogenation Treatment of Hydrocarbon Oil. Google Patents. U.S. Patents No. 3,716,478, 1973. [Google Scholar]
- Scherzer, J.; Gruia, A.J. Hydrocracking Science and Technology; CRC Press: Boca Raton, FL, USA, 1996. [Google Scholar]
- Nairoukh, Z.; Wollenburg, M.; Schlepphorst, C.; Bergander, K.; Glorius, F. The formation of all-cis-(multi) fluorinated piperidines by a dearomatization–hydrogenation process. Nat. Chem. 2019, 11, 264. [Google Scholar] [CrossRef] [PubMed]
- Campeau, L.-C.; Fogg, D.E. The Roles of Organometallic Chemistry in Pharmaceutical Research and Development; ACS Publications: Washington, DC, USA, 2019. [Google Scholar]
- Garbe, M.; Wei, Z.; Tannert, B.; Spannenberg, A.; Jiao, H.; Bachmann, S.; Scalone, M.; Junge, K.; Beller, M. Enantioselective Hydrogenation of Ketones using Different Metal Complexes with a Chiral PNP Pincer Ligand. Adv. Synth. Catal. 2019, 361, 1913–1920. [Google Scholar] [CrossRef]
- Lin, L.; Yao, S.; Gao, R.; Liang, X.; Yu, Q.; Deng, Y.; Liu, J.; Peng, M.; Jiang, Z.; Li, S. A highly CO-tolerant atomically dispersed Pt catalyst for chemoselective hydrogenation. Nat. Nanotechnol. 2019, 14, 354. [Google Scholar] [CrossRef]
- Nishimura, S. Handbook of Heterogeneous Catalytic Hydrogenation for Organic Synthesis; Wiley: New York, NY, USA, 2001. [Google Scholar]
- Zimmermann, B.M.; Kobosil, S.C.; Teichert, J.F. Catalytic hydrogenation of α, β-unsaturated carboxylic acid derivatives using copper (i)/N-heterocyclic carbene complexes. Chem. Commun. 2019, 55, 2293–2296. [Google Scholar] [CrossRef]
- Milone, C.; Crisafulli, C.; Ingoglia, R.; Schipilliti, L.; Galvagno, S. A comparative study on the selective hydrogenation of α, β unsaturated aldehyde and ketone to unsaturated alcohols on Au supported catalysts. Catal. Today 2007, 122, 341–351. [Google Scholar] [CrossRef]
- Yang, Y.; Chen, L.; Chen, Y.; Liu, W.; Feng, H.; Wang, B.; Zhang, X.; Wei, M. Selective hydrogenation of furfural on intermetallic compounds with outstanding catalytic performance. Green Chem. 2019. [Google Scholar] [CrossRef]
- Azran, J.; Buchman, O.; Amer, I.; Blum, J. Selective hydrogenation of α, β-unsaturated carbonyl compounds by rhodium trichloride and aliquat®-336 in a two-phase liquid system. J. Mol. Catal. 1986, 34, 229–234. [Google Scholar] [CrossRef]
- Ohta, T.; Miyake, T.; Seido, N.; Kumobayashi, H.; Akutagawa, S.; Takaya, H. Asymmetric hydrogenation of unsaturated carbonyl compounds catalyzed by BINAP-Ru (II) complexes. Enantioselective synthesis of γ-butyrolactones and cyclopentanones. Tetrahedron Lett. 1992, 33, 635–638. [Google Scholar] [CrossRef]
- Chen, P.; Li, W.; Wang, Y. Atmospheric hydrogenation of α, β-unsaturated ketones catalyzed by highly efficient and recyclable Pd nanocatalyst. Catal. Commun. 2019, 125, 10–14. [Google Scholar] [CrossRef]
- Ma, H.; Wang, L.; Chen, L.; Dong, C.; Yu, W.; Huang, T.; Qian, Y. Pt nanoparticles deposited over carbon nanotubes for selective hydrogenation of cinnamaldehyde. Catal. Commun. 2007, 8, 452–456. [Google Scholar] [CrossRef]
- Musselwhite, N.E.; Wagner, S.B.; Manbeck, K.A.; Carl, L.M.; Gross, K.M.; Marsh, A.L. Activity and selectivity of colloidal platinum nanocatalysts for aqueous phase cyclohexenone hydrogenation. Appl. Catal. A Gen. 2011, 402, 104–109. [Google Scholar] [CrossRef]
- Wu, B.; Huang, H.; Yang, J.; Zheng, N.; Fu, G. Selective hydrogenation of α, β-unsaturated aldehydes catalyzed by amine-capped platinum-cobalt nanocrystals. Angew. Chem. Int. Ed. 2012, 51, 3440–3443. [Google Scholar] [CrossRef] [PubMed]
- Tsang, S.C.; Cailuo, N.; Oduro, W.; Kong, A.T.; Clifton, L.; Yu, K.K.; Thiebaut, B.; Cookson, J.; Bishop, P. Engineering performed cobalt-doped platinum nanocatalysts for ultraselective hydrogenation. ACS Nano 2008, 2, 2547–2553. [Google Scholar] [CrossRef] [PubMed]
- Yuan, Y.; Yao, S.; Wang, M.; Lou, S.; Yan, N. Recent progress in chemoselective hydrogenation of α, β-unsaturated aldehyde to unsaturated alcohol over nanomaterials. Curr. Org. Chem. 2013, 17, 400–413. [Google Scholar] [CrossRef]
- Rioux, R.M.; Song, H.; Grass, M.; Habas, S.; Niesz, K.; Hoefelmeyer, J.D.; Yang, P.; Somorjai, G.A. Monodisperse platinum nanoparticles of well-defined shape: Synthesis, characterization, catalytic properties and future prospects. Top. Catal. 2006, 39, 167–174. [Google Scholar] [CrossRef]
- Bartoli, M.; Rosi, L.; Petrucci, G.; Armelao, L.; Oberhauser, W.; Frediani, M.; Piccolo, O.; Rathod, V.D.; Paganelli, S. An easily recoverable and recyclable homogeneous polyester-based Pd catalytic system for the hydrogenation of α, β-unsaturated carbonyl compounds. Catal. Commun. 2015, 69, 228–233. [Google Scholar] [CrossRef]
- Frediani, M.; Oberhauser, W.; Rosi, L.; Bartoli, M.; Passaglia, E.; Capozzoli, L. Palladium nanoparticles supported onto stereocomplexed poly (lactic acid)-poly (ε-caprolactone) copolymers for selective partial hydrogenation of phenylacetylene. Rendiconti Lincei 2017, 28, 51–58. [Google Scholar] [CrossRef]
- Oberhauser, W.; Evangelisti, C.; Jumde, R.; Petrucci, G.; Bartoli, M.; Frediani, M.; Mannini, M.; Capozzoli, L.; Passaglia, E.; Rosi, L. Palladium-nanoparticles on end-functionalized poly (lactic acid)-based stereocomplexes for the chemoselective cinnamaldehyde hydrogenation: Effect of the end-group. J. Catal. 2015, 330, 187–196. [Google Scholar] [CrossRef]
- Petrucci, G.; Oberhauser, W.; Bartoli, M.; Giachi, G.; Frediani, M.; Passaglia, E.; Capozzoli, L.; Rosi, L. Pd-nanoparticles supported onto functionalized poly (lactic acid)-based stereocomplexes for partial alkyne hydrogenation. Appl. Catal. A Gen. 2014, 469, 132–138. [Google Scholar] [CrossRef]
- Giachi, G.; Frediani, M.; Oberhauser, W.; Passaglia, E. Pd (II)-pyridine macrocomplexes based on poly (lactide). J. Polym. Sci. Part A Polym. Chem. 2011, 49, 4708–4713. [Google Scholar] [CrossRef]
- Rillema, D.P.; Stoyanov, S.R.; Cruz, A.J.; Nguyen, H.; Moore, C.; Huang, W.; Siam, K.; Jehan, A.; KomReddy, V. HOMO–LUMO energy gap control in platinum (ii) biphenyl complexes containing 2, 2’-bipyridine ligands. Dalton Trans. 2015, 44, 17075–17090. [Google Scholar] [CrossRef] [PubMed]
- Pazderski, L.; Szłyk, E.; Sitkowski, J.; Kamieński, B.; Kozerski, L.; Toušek, J.; Marek, R. Experimental and quantum-chemical studies of 15N NMR coordination shifts in palladium and platinum chloride complexes with pyridine, 2, 2’-bipyridine and 1, 10-phenanthroline. Magn. Reson. Chem. 2006, 44, 163–170. [Google Scholar] [CrossRef] [PubMed]
- Frediani, M.; Oberhauser, W.; Passaglia, E.; Rosi, L.; Bandelli, D.; Bartoli, M.; Petrucci, G. Pyridine and Bipyridine End-Functionalized Polylactide: Synthesis and Catalytic Applications. In Handbook of Composites from Renewable Materials, Functionalization; John Wiley & Sons: Hoboken, NJ, USA, 2017; Volume 4, p. 47. [Google Scholar]
- Kawanishi, Y.; Funaki, T.; Yatabe, T.; Suzuki, Y.; Miyamoto, S.; Shimoi, Y.; Abe, S. Spectral Evidence and DFT Calculations on the Formation of Bis (2, 2’-bipyridine) platinum (II)−N-Base Adducts. Inorg. Chem. 2008, 47, 3477–3479. [Google Scholar] [CrossRef] [PubMed]
- Oberhauser, W.; Evangelisti, C.; Jumde, R.P.; Psaro, R.; Vizza, F.; Bevilacqua, M.; Filippi, J.; Machado, B.F.; Serp, P. Platinum on carbonaceous supports for glycerol hydrogenolysis: Support effect. J. Catal. 2015, 325, 111–117. [Google Scholar] [CrossRef]
- Ji, X.; Niu, X.; Li, B.; Han, Q.; Yuan, F.; Zaera, F.; Zhu, Y.; Fu, H. Selective hydrogenation of cinnamaldehyde to cinnamal alcohol over platinum/graphene catalysts. ChemCatChem 2014, 6, 3246–3253. [Google Scholar] [CrossRef]
- Malathi, R.; Viswanath, R.P. Citral hydrogenation on supported platinum catalysts. Appl. Catal. A Gen. 2001, 208, 323–327. [Google Scholar] [CrossRef]






| Run | Cat | Substrate | Time [h] | Pressure [MPa] | I [%] | II [%] | III [%] | IV [%] | V [%] | VI [%] | Conversion a [%] | TOF b |
|---|---|---|---|---|---|---|---|---|---|---|---|---|
| ID1 | A | ![]() | 3 | 1.1 | 100 | 0 | 0 | - | -- | -- | -- | -- |
| ID2 | B | 3 | 1.1 | 27 | 73 | 0 | - | -- | -- | 73 | 243 | |
| ID3 | B | 6 | 1.1 | 1 | 99 | 0 | - | -- | -- | 99 | 165 | |
| ID4 | B c | 3 | 1.1 | 61 | 39 | 0 | - | -- | -- | 39 | 130 | |
| ID5 | B | 3 | 2.2 | 5 | 95 | -- | -- | -- | -- | 95 | 317 | |
| ID6 | B d | 3 | 2.2 | 60 | 40 | -- | -- | -- | -- | 40 | 133 | |
| ID7 | B | ![]() | 3 | 2.2 | -- | -- | -- | 4 | 8 | 88 | 96 | 320 |
| ID8 | B | 6 | 2.2 | -- | -- | -- | 3 | 8 | 89 | 97 | 161 | |
| ID10 | B e | 3 | 2.2 | -- | -- | -- | 9 | 4 | 87 | 91 | 303 |
© 2019 by the authors. Licensee MDPI, Basel, Switzerland. This article is an open access article distributed under the terms and conditions of the Creative Commons Attribution (CC BY) license (http://creativecommons.org/licenses/by/4.0/).
Share and Cite
Bartoli, M.; Rosi, L.; Mini, B.; Petrucci, G.; Passaglia, E.; Frediani, M. Catalytic Performances of Platinum Containing PLLA Macrocomplex in the Hydrogenation of α,β-Unsaturated Carbonyl Compounds. Appl. Sci. 2019, 9, 3243. https://doi.org/10.3390/app9163243
Bartoli M, Rosi L, Mini B, Petrucci G, Passaglia E, Frediani M. Catalytic Performances of Platinum Containing PLLA Macrocomplex in the Hydrogenation of α,β-Unsaturated Carbonyl Compounds. Applied Sciences. 2019; 9(16):3243. https://doi.org/10.3390/app9163243
Chicago/Turabian StyleBartoli, Mattia, Luca Rosi, Benedetta Mini, Giorgio Petrucci, Elisa Passaglia, and Marco Frediani. 2019. "Catalytic Performances of Platinum Containing PLLA Macrocomplex in the Hydrogenation of α,β-Unsaturated Carbonyl Compounds" Applied Sciences 9, no. 16: 3243. https://doi.org/10.3390/app9163243
APA StyleBartoli, M., Rosi, L., Mini, B., Petrucci, G., Passaglia, E., & Frediani, M. (2019). Catalytic Performances of Platinum Containing PLLA Macrocomplex in the Hydrogenation of α,β-Unsaturated Carbonyl Compounds. Applied Sciences, 9(16), 3243. https://doi.org/10.3390/app9163243



