Quantitative Analysis of Soil Displacement Induced by Ground Loss and Shield Machine Mechanical Effect in Metro Tunnel Construction
Abstract
:1. Introduction
2. Engineering Background
3. Ground Loss Effect Factors
3.1. Displacement Solution
3.2. Quantitative Analysis
4. Mechanical Effect Factors
4.1. Mindlin’s Solutions
4.2. Quantitative Analysis of Additional Thrust q
4.3. Quantitative Analysis of Frictional Force fd
4.4. Quantitative Analysis of Frictional Force fs
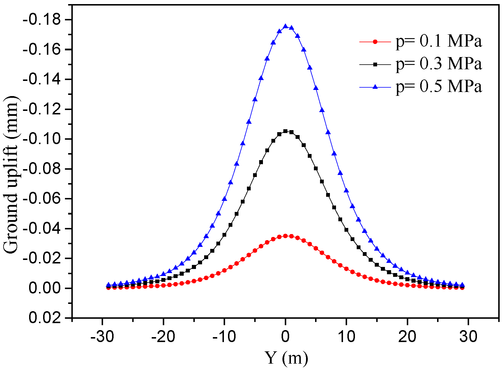
4.5. Quantitative Analysis of Synchronous Grouting Pressure p
5. Verification by Field Monitoring Data
6. Conclusions
- (1).
- The calculation results of this paper are applicable for shield tunneling in urban soft soil layer, but the calculation methods and thoughts have a good universality for different working conditions, it just needs necessary parameter adjustments. Combining the advantages of Loganathan method and mirror source-sink method, the three-dimensional displacement induced by ground loss are calculated. Based on the elastic half-space Mindlin model, the displacement at any point induced by four mechanical effect factors through coordinate transformation and different integral region is deduced. The total displacement is the sum of the two, which is verified by field monitoring data. The difference is stable and the difference rate is about 5.3%. This is because that the elastic model is adopted in this paper, but in practice with the redistribution of stress, a pressure arch will be formed around the tunnel. The soil out of the arch is prevented from entering the loosening zone, which causes the field monitoring data to be slightly smaller than theoretical calculation result. It is a methodological flaw, not a statistical one, and needs to be solved in future.
- (2).
- The displacement induced by ground loss is over 95% of the total displacement, which plays a decisive role. The key to controlling stratum disturbance is decreasing the ground loss. When the outer diameter of shield and segment is determined, the most effective measure is decreasing the strain of grouting layer. As the stratum uplift caused by grouting pressure is much smaller than the settlement caused by grouting layer strain, the grouting pressure or grouting volume can be increased appropriately to ensure the grouting filling rate.
- (3).
- The ratio of displacement caused by mechanical effect factors to total displacement is too small (less than 5%), even far less than the error caused by various simplified assumptions in theoretical calculation. In practice, this part of the displacement cannot be separated from the total displacement, it is difficult to verify its accuracy and validity by numerical simulation or field monitoring. Therefore, it is suggested that in calculation, the mechanical effect factors can be neglected as appropriate, and only the displacement caused by ground loss is considered, which can not only reduce the computational complexity and make it easy to use, but also can meet the requirements of engineering application accuracy.
Author Contributions
Funding
Acknowledgments
Conflicts of Interest
References
- Zhang, H.; Chen, L.; Zhu, Y.; Zhou, Z.; Chen, S. Stress Field Distribution and Deformation Law of Large Deformation Tunnel Excavation in Soft Rock Mass. Appl. Sci. 2019, 9, 865. [Google Scholar] [CrossRef]
- Zhu, Y.; Chen, L.; Zhang, H.; Zhou, Z.; Chen, S. Physical and Mechanical Characteristics of Soft Rock Tunnel and the Effect of Excavation on Supporting Structure. Appl. Sci. 2019, 9, 1517. [Google Scholar] [CrossRef]
- Zeng, Y.H.; Liu, K.; Fang, Y.; Zhang, X.F.; Bai, Y. Fire Model Test on Temperature Field in the Rescue Station of an Extralong Railway Tunnel. Adv. Civ. Eng. 2019, 1–12. [Google Scholar] [CrossRef]
- Zhang, H.; Chen, L.; Chen, S.; Sun, J.; Yang, J. The spatiotemporal distribution law of microseismic events and rockburst characteristics of the deeply buried tunnel group. Energies 2018, 11, 3257. [Google Scholar] [CrossRef]
- Lin, F.; Chen, S.G.; Zhang, H. Study on type selection of shield equipment in different geological conditions. In Green Building, Materials and Civil Engineering; CRC Press: Boca Raton, FL, USA, 2014; pp. 409–412. [Google Scholar]
- Zhou, Z.L.; Chen, S.G.; Li, Y.S. Research on predicting and distribution of stratum displacement of double–tube parallel shield tunnel. J. Highw. Transp. Res. Dev. 2015, 32, 109–117. [Google Scholar]
- Zou, J.F.; Qian, Z.H.; Xiang, X.H.; Chen, G.H. Face Stability of a tunnel excavated in saturated nonhomogeneous soils. Tunn. Undergr. Space Technol. 2019, 83, 1–17. [Google Scholar] [CrossRef]
- Zhang, H.; Chen, S.G.; Deng, X.F. Analysis of the influence of shield driving parameters on ground settlements. Mod. Tunn. Tech. 2010, 47, 48–53. [Google Scholar]
- Liao, S.M.; Liu, J.H.; Wang, R.L.; Li, Z.M. Shield tunneling and environment protection in Shanghai soft ground. Tunn. Undergr. Space Technol. 2009, 24, 454–465. [Google Scholar] [CrossRef]
- Xie, X.Y.; Yang, Y.B.; Mei, J. Analysis of ground surface settlement induced by the construction of a large–diameter shield–driven tunnel in Shanghai, China. Tunn. Undergr. Space Technol. 2016, 51, 120–132. [Google Scholar] [CrossRef]
- Zhang, H.; Chen, S.G.; Tan, X.R. Research on the mechanical behavior of a segment of a shield tunnel adjacent to a pile foundation. Mod. Tunn. Tech. 2012, 49, 101–107. [Google Scholar]
- Zhang, H.; Chen, S.G.; Deng, X.F. Analysis on influence of shield tunneling on ground and bridge pile. Chin. J. Underg. Sp. Eng. 2011, 7, 552–557. [Google Scholar]
- Peck, R.B. Deep Excavations and tunnelling in soft ground. In Proceedings of the 7th International Conference on Soil Mechanics and Foundation Engineering, Mexico City, Mexico, 25–29 August 1969; Balkema A A: Rotterdam, The Netherlands, 1969; pp. 225–290. [Google Scholar]
- Celestino, T.B.; Gomes, R.A.M.; Bortolucci, A.A. Errors in group distortions due to settlement trough adjustment. Tunn. Undergr. Space Technol. 2000, 15, 97–100. [Google Scholar] [CrossRef]
- Vorster, T.E.B.; Klar, A.; Soga, K.; Mair, R.J. Estimating the effects of tunneling on existing pipelines. J. Geotech. Geoenviron. 2005, 131, 1399–1410. [Google Scholar] [CrossRef]
- Attewell, P.B.; Yeates, J.; Selby, A.R. Soil Movements Induced by Tunnelling and Their Effects on Pipelines and Structures; Thomson Science and Professional: 2nd Floor Aldgate House, 33 Aldgate High Street, London, UK, 1986. [Google Scholar]
- Osman, A.S.; Bolton, M.D.; Mair, R.J. Predicting 2D ground movement around tunnels in undrained clay. Geotech 2006, 56, 597–604. [Google Scholar] [CrossRef]
- New, B.M.; O’Reilly, M.P. Tunneling–induced ground movements, predicting their magnitude and effects. In Proceedings of the 4th Conference on Ground Movements and Structures; Pentech Press: London, UK, 1992; pp. 671–697. [Google Scholar]
- O’ Reilly, M.P.; New, B.M. Settlement above tunnels in the United Kingdom their magnitude and prediction. In Proceedings of the Tunneling’ 82 Symposium, London, UK, 7–11 June 1982; pp. 173–181. [Google Scholar]
- Sagaseta, C. Analysis of undrained soil deformation due to ground loss. Geotechnique 1987, 37, 301–320. [Google Scholar] [CrossRef]
- Loganathan, N.; Poulos, H.G. Analytical prediction for tunneling–induced ground movements in clays. J. Geotech. Geoenviron. 1998, 124, 846–856. [Google Scholar] [CrossRef]
- Federico, P.; Andrew, J.W. Ground movements due to shallow tunnels in soft ground: 1. analytical solutions. J. Geotech. Geoenviron. 2013, 140, 04013040. [Google Scholar]
- Kung, G.T.; Juang, C.H.; Hsiao, E.C.; Hashash, Y.M. Simplified model for wall deflection and ground–surface settlement caused by braced excavation in clays. J. Geotech. Geoenviron. 2007, 133, 731–747. [Google Scholar] [CrossRef]
- Peng, F.L.; Wang, H.L.; Tan, Y.X.; Zheng, L.; Li, Y.L. Field measurements and finite–element method simulation of a tunnel shaft constructed by pneumatic caisson method in shanghai soft ground. J. Geotech. Geoenviron. 2011, 137, 516–524. [Google Scholar] [CrossRef]
- Chakeri, H.; Ozcelik, Y.; Unver, B. Effects of important factors on surface settlement prediction for metro tunnel excavated by EPB. Tunn. Undergr. Space Technol. 2013, 36, 14–23. [Google Scholar] [CrossRef]
- Zhang, Z.G.; Huang, M.S. Geotechnical influence on existing subway tunnels induced by multiline tunneling in Shanghai soft soil. Comput. Geotech. 2014, 56, 121–132. [Google Scholar] [CrossRef]
- Son, M.; Cording, E.J. Estimation of building damage due to excavation–induced ground movements. J. Geotech. Geoenviron. 2005, 131, 162–177. [Google Scholar] [CrossRef]
- Ahmed, M.; Iskander, M. Analysis of tunneling–induced ground movements using transparent soil models. J. Geotech. Geoenviron. 2010, 137, 525–535. [Google Scholar] [CrossRef]
- Mindlin, R.D. Force at a point in the interior of a semiinfinite solid. Physics 1936, 7, 195–202. [Google Scholar] [CrossRef]
- Huang, M.S.; Zhang, C.R.; Li, Z. A simplified analysis method for the influence of tunneling on grouped piles. Tunn. Undergr. Space Technol. 2009, 24, 410–422. [Google Scholar] [CrossRef]
- Zhang, Z.G.; Huang, M.S.; Zhang, M.X. Theoretical prediction of ground movements induced by tunneling in multilayered soils. Tunn. Undergr. Space Technol. 2011, 26, 345–355. [Google Scholar] [CrossRef]
- Sun, H.S.; Lei, G.H.; Ng, C.W.W. Displacements under linearly distributed pressures by extended Mindlin’s equations. Comput. Geotech. 2013, 50, 143–149. [Google Scholar] [CrossRef]
- Antonio, B. Analytical solutions for shallow tunnels in saturated ground. J. Eng. Mech. 2001, 127, 1258–1266. [Google Scholar]
- Verruijt, A.; Booker, J.R. Surface settlements due to deformation of a tunnel in an elastic half plane. Geotechnique 1996, 46, 753–756. [Google Scholar] [CrossRef]
- Verruijt, A. Deformations of an elastic half plane with a circular cavity. Int. J. Solids Struct. 1998, 35, 2795–2804. [Google Scholar] [CrossRef]
- Lee, K.M.; Rowe, R.K.; Lo, K.Y. Subsidence owing to tunneling I: Estimating the gap parameter. Can. Geotech. J. 1992, 29, 929–940. [Google Scholar] [CrossRef]
- Zhang, Q.Q.; Li, S.C.; Li, L.P.; Chen, Y.J. Simplified method for settlement prediction of pile groups considering skin friction softing and end resistance hardening. Chin. J. Rock Mech. Eng. 2013, 32, 615–624. [Google Scholar]
- Potyondy, J.G. Skin friction between various soils and construction materials. Geotechnique 1961, 11, 339–353. [Google Scholar] [CrossRef]
- Alonso, E.E.; Josa, A.; Iedesma, A. Negative skin friction on Piles: A simplified analysis and prediction procedure. Geotechnique 1984, 34, 341–357. [Google Scholar] [CrossRef]
- Wang, H.X. Effect of cutterhead compressing the front soil and influence of head aperture ratio on contact pressure of EPB shield to the front soil. Chin. Civ. Eng. J. 2009, 42, 113–118. [Google Scholar]
- Li, Z.M.; Liao, S.M.; Dai, Z.R. Theoretical study on synchronous grouting filling patterns and pressure distribution of EPB shield tunnels. Chin. J. Geotech. Eng. 2010, 32, 1752–1757. [Google Scholar]

















| Material | Unit Weight (kN/m3) | Thickness (m) | Poisson’s Ratio | Cohesion (kPa) | Friction Angle | Elastic Modules (MPa) |
|---|---|---|---|---|---|---|
| Topsoil | 20 | 2.1 | 0.3 | 45 | 14° | 5.94 |
| Intermediary weathered mudstone | 23.4 | 37.9 | 0.17 | 300 | 18° | 180 |
| Parameter | Shield Tunneling Speed (mm/min) | Rotation Speed of Cutter Head (r/min) | Cutter Opening Ratio (%) | Closure Number of Cutters | Diameter of Shield (mm) |
| Value | 80 | 3.55 | 36 | 4 | 6280 |
| Length of Main Machine (mm) | Diameter of Segment (mm) | Synchronous Grouting Pressure (MPa) | Strain Rate of Grouting Layer (%) | Slip Softening Coefficient | Interface Friction Angle (°) |
| 8427 | 6000 | 0.3 | 8.4 | 0.9 | 6.5 |
| Effect Factors | Ground Settlement Maximum (mm) | Ratio to Total | Horizontal Displacement in Stratum (mm) | Ratio to Total |
|---|---|---|---|---|
| q | −0.12 | 0.01 | 0.20 | 0.03 |
| fd | <0.01 | <0.01 | 0.04 | <0.01 |
| fs | ±0.04 | <0.01 | 0.03 | <0.01 |
| p | −0.18 | 0.02 | 0.10 | 0.01 |
| Ground loss | 10.51 | 1.02 | 7.30 | 0.95 |
| total | 10.25 | 1.00 | 7.67 | 1.00 |
© 2019 by the authors. Licensee MDPI, Basel, Switzerland. This article is an open access article distributed under the terms and conditions of the Creative Commons Attribution (CC BY) license (http://creativecommons.org/licenses/by/4.0/).
Share and Cite
Zhu, Y.; Chen, L.; Zhang, H.; Tu, P.; Chen, S. Quantitative Analysis of Soil Displacement Induced by Ground Loss and Shield Machine Mechanical Effect in Metro Tunnel Construction. Appl. Sci. 2019, 9, 3028. https://doi.org/10.3390/app9153028
Zhu Y, Chen L, Zhang H, Tu P, Chen S. Quantitative Analysis of Soil Displacement Induced by Ground Loss and Shield Machine Mechanical Effect in Metro Tunnel Construction. Applied Sciences. 2019; 9(15):3028. https://doi.org/10.3390/app9153028
Chicago/Turabian StyleZhu, Yimo, Liang Chen, Heng Zhang, Peng Tu, and Shougen Chen. 2019. "Quantitative Analysis of Soil Displacement Induced by Ground Loss and Shield Machine Mechanical Effect in Metro Tunnel Construction" Applied Sciences 9, no. 15: 3028. https://doi.org/10.3390/app9153028
APA StyleZhu, Y., Chen, L., Zhang, H., Tu, P., & Chen, S. (2019). Quantitative Analysis of Soil Displacement Induced by Ground Loss and Shield Machine Mechanical Effect in Metro Tunnel Construction. Applied Sciences, 9(15), 3028. https://doi.org/10.3390/app9153028
