Mechanisms of Control Authority by Nanosecond Pulsed Dielectric Barrier Discharge Actuators on Flow Separation
Abstract
1. Introduction
2. Experimental Setup
2.1. Model
2.2. Wind Tunnel
2.3. DBD Actuator Construction
2.4. Power Supply
2.5. Test Conditions
3. Experimental Techniques
3.1. Pressure Measurements
3.2. Hot Wire Anemometry
3.3. Particle Image Velocimetry
4. Results
4.1. Spectral Analysis without Actuation
4.2. Pressure Measurements with DBD Actuation
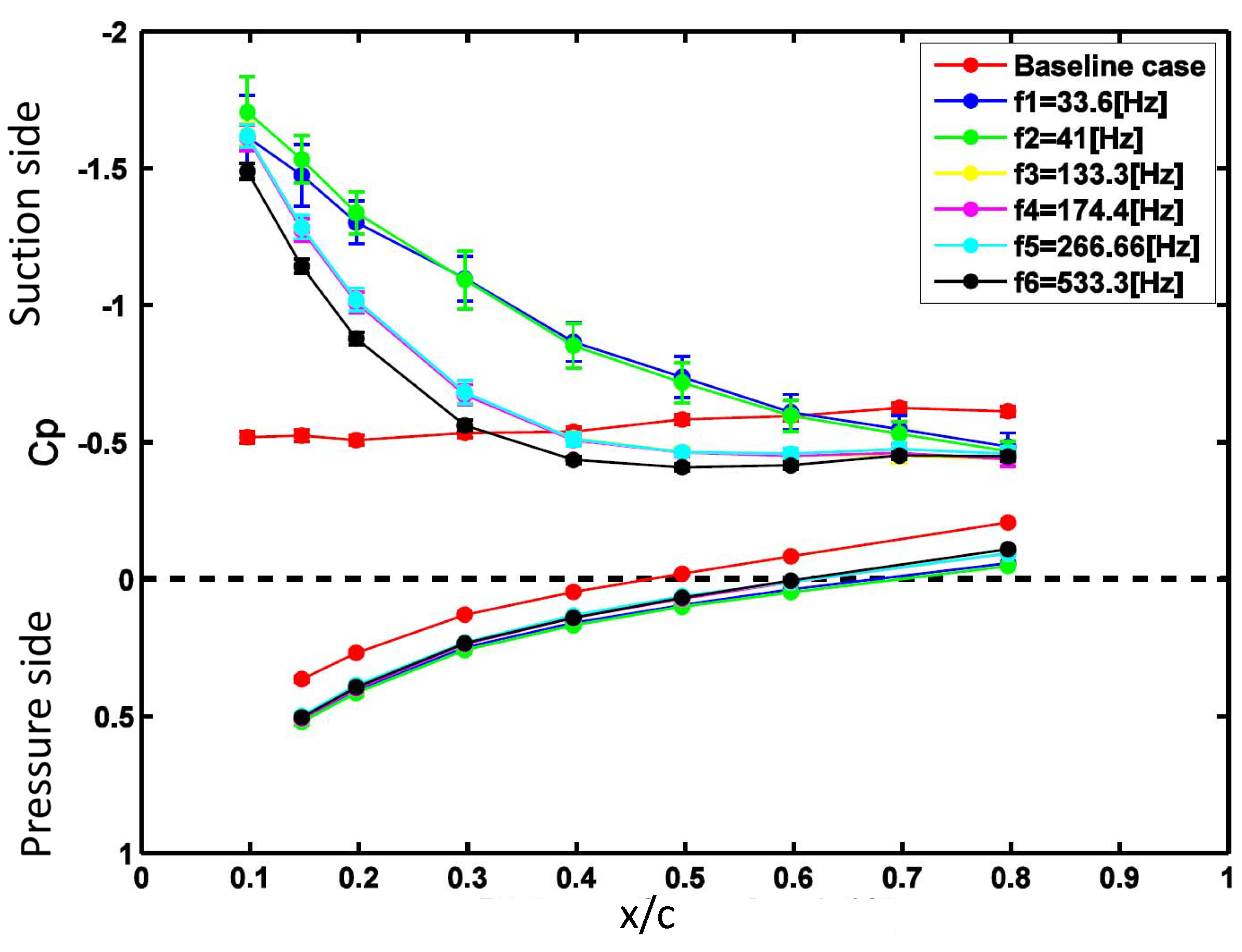
4.2.1. Early Post-Stall
4.2.2. Late Post-Stall
4.3. Spectral Analysis at Specific DBD Actuation Frequencies
4.4. Influence of Applied Voltage
4.5. PIV Flow Measurements
5. Conclusions
Author Contributions
Funding
Acknowledgments
Conflicts of Interest
Nomenclature
| Angle of attack | [] | ||
| Freestream velocity | [] | ||
| Freestream static pressure | [] | ||
| Freestream fluid density | [] | ||
| f | Frequency of actuation | [] | |
| p | Local static pressure | [] | |
| U | Magnitude of the applied voltage | [] | |
| c | Model chord length | [] | |
| s | Model span | [] | |
| Pressure Coefficient | [-] | ||
| Reduced frequency based on model chord | [-] | ||
| Reynolds number based on model chord and | [-] |
References
- Prandtl, L. Über Flüssigkeitsbewegung bei sehr kleiner Reibung. In Proceedings of the Third International Congress of Mathematicians, Heidelberg, Germany, 12 August 1904; pp. 484–491, Available in Book: L. Prandtl und A. Betz. Vier Abhandlungen zur Hydrodynamik und Aerodynamik. Universtitatverlag Göttingen 1927. = https://doi.org/10.1002/zamm.19280080126. Reedited in 2010 =https://doi.org/10.17875/gup2010-106. [Google Scholar]
- Lachmann, G.V. Boundary Layer and Flow Control. Its Principles and Application; Pergamon Press: Oxford, UK, 1961; Volume 1. [Google Scholar]
- Gad-el-Hak, M. Modern developmenst in Flow Control. Appl. Mech. Rev. 1996, 49, 365–379. [Google Scholar] [CrossRef]
- Crowther, W.J. Separation Control on a Trailing-Edge Flap Using Air Jet Vortex Generators. J. Aircr. 2006, 43, 1589–1593. [Google Scholar] [CrossRef]
- McLean, J.D.; Crouch, J.D.; Stoner, R.C.; Sakurai, S.; Seidel, G.E.; Feifel, W.M.; Rush, H.M. Study of the Application of Separation Control by Unsteady Excitation to Civil Transport Aircraft; Technical Report NASA CR-1999–209228; NASA Langley Research Center: Hampton, VA, USA, 1999.
- Cattafesta, L.N.; Sheplak, M. Actuators for Active Flow Control. Annu. Rev. Fluid Mech. 2011, 43, 247–272. [Google Scholar] [CrossRef]
- Wilkinson, S.P. Interactive Wall Turbulence Control. In Viscous Drag Reduction in Boundary Layers; Bushnell, D.M., Hefner, J.N., Eds.; AIAA: Washington, DC, USA, 1990; Volume 123, pp. 479–509. [Google Scholar]
- Seifert, A.; Darabi, A.; Wygnanski, I. Delay of airfoil stall by periodic excitation. J. Aircr. 1996, 33, 691–698. [Google Scholar] [CrossRef]
- Corke, T.C.; Enloe, C.L.; Wilkinson, S.P. Dielectric Barrier Discharge Plasma Actuators for Flow Control. Ann. Rev. Fluid Mech. 2010, 42, 505–529. [Google Scholar] [CrossRef]
- Erfani, R.; Erfani, T.; Hale, C.; Kontis, K.; Utyzhnikov, S.V. Optimization of induced velocity for plasma actuator with multiple encapsulated electrodes using response surface methodology. In Proceedings of the 49th AIAA Aerospace Sciences Meeting including the New Horizons Forum and Aerospace Exposition, Orlando, FL, USA, 4–7 January 2011. [Google Scholar]
- Caruana, D.; Tropea, C.; Hollenstein, C.; Boeuf, J.-P.; Choi, K.S. PLASMAERO European Project; ERCOFTAC Special Edition on Plasma Aerodynamics; 2013; Volume 94, Publication ERCOFTAC “Plasma Aerodynamics”; Available online: https://www.ercoftac.org/publications/ercoftac_bulletin/bulletin_94/ (accessed on 3 May 2014).
- Starikovskii, A.Y.; Nikipelov, A.A.; Nudnova, M.M.; Roupassov, D.V. SDBD plasma actuator with nanosecond pulse-periodic discharge. Plasma Sources Sci. Technol. 2009, 18, 034015. [Google Scholar] [CrossRef]
- Moreau, E. Airflow control by non-thermal plasma actuators. J. Phys. D Appl. Phys. 2007, 40, 605–636. [Google Scholar] [CrossRef]
- Patel, M.P.; Ng, T.T.; Vasudevan, S.; Post, M.L.; McLaughlin, T.E.; Suchomel, C.F. Scaling effects of an aerodynamic plasma actuator. J. Aircr. 2008, 45, 223–236. [Google Scholar] [CrossRef]
- Roupassov, D.V.; Nikipelov, A.A.; Nudnova, M.M.; Starikovskii, A.Y. Flow separation control by plasma actuator with nanosecond pulsed-periodic discharge. AIAA J. 2009, 47, 168–185. [Google Scholar] [CrossRef]
- Rethmel, C.; Little, J.; Takashima, K.; Sinha, A.; Adamovich, I.; Samimy, M. Separation control with nanosecond-pulse-driven dielectric barrier discharge plasma actuators. In Proceedings of the 49th AIAA Aerospace Sciences Meeting Including the New Horizons Forum and Aerospace Exposition, Orlando, FL, USA, 4–7 January 2011. [Google Scholar]
- Peschke, P. Experimental Investigation of Pulsed DBD Plasma Actuators for Aerodynamic Flow Control. Ph.D. Thesis, EPFL, Vaud, Switzerland, 2014. [Google Scholar] [CrossRef]
- Marino, A.; Peschke, P.; De Gregorio, F.; Leyland, P.; Ott, P.; Hollenstein, C.; Donelli, R.S. High Voltage Pulsed DBD Effects on the Aerodynamic Performances and on the Shock Buffet. ERCOFTAC Plasma Aerodyn. 2013, 94, 70–76. Available online: https://www.ercoftac.org/publications/ercoftac_bulletin/bulletin_94/ (accessed on 28 June 2019).
- Little, J.; Takashima, K.; Nishihara, M.; Adamovich, I.; Samimy, M. Separation control with nanosecond-pulse-driven dielectric barrier discharge plasma actuators. AIAA J. 2012, 50, 350–365. [Google Scholar] [CrossRef]
- Sidorenko, A.A.; Zanin, B.Y.; Postnikov, B.V.; Budovksky, A.D.; Starikovskii, A.Y.; Roupassov, D.V.; Zavialov, I.N.; Malmuth, N.D.; Smereczniak, P.; Silkey, J.S. Pulsed discharge actuators for rectangular wing separation control. In Proceedings of the 45th AIAA Aerospace Sciences Meeting and Exhibit, Reno, NV, USA, 8–11 January 2007. [Google Scholar]
- Johnson, G.A.; Scott, S.J. Plasma-aerodynamic boundary layer interaction studies. In Proceedings of the 32nd AIAA Plasmadynamics and Lasers Conference and 4th Weakly Ionized Gases Workshop, Anaheim, CA, USA, 11–14 June 2001. [Google Scholar]
- Grech, N.; Leyland, P.; Peschke, P.; Ott, P. Investigation of Flow Separation Control by Nanosecond Pulsed Dielectric Barrier Discharge Actuators. Prog. Flight Phys. 2015, 7, 191–210. [Google Scholar]
- Kato, K.; Breitsamter, C.; Obi, S. Flow separation control over a GA387 airfoil by nanosecond pulse-periodic discharge. Exp. Fluids 2014, 55, 1–19. [Google Scholar] [CrossRef]
- Lissaman, P.B.S. Low Reynolds number airfoils. Ann. Rev. Fluid Mech. 1983, 15, 223–239. [Google Scholar] [CrossRef]
- Geuns, R.; Leyland, P.; Plyushchev, G.; Goekce, S.; Peschke, P. Flow Separation Control with Plasma Actuators. In Proceedings NEPCAP 2014, Sochi; Torus Press: Moscow, Russia, 2014. [Google Scholar]
- Geuns, R. NL and Ecole Polytechnique Fédérale de Lausanne. Master’s Thesis, TU Delft, Delft, Switzerland, November 2014. [Google Scholar]
- Ashpis, D.E.; Laun, M.C.; Griebeler, E.L. Progress Toward Accurate Measurement of Dielectric Barrier Discharge Plasma Actuator Power. AIAA J. 2017, 55, 2254–2268. [Google Scholar] [CrossRef] [PubMed]
- Bradshaw, P. An Introduction to Turbulence and Its Measurement: Thermodynamics and Fluid Mechanics Series; Elsevier: Amsterdam, The Netherlands, 2013. [Google Scholar]



























© 2019 by the authors. Licensee MDPI, Basel, Switzerland. This article is an open access article distributed under the terms and conditions of the Creative Commons Attribution (CC BY) license (http://creativecommons.org/licenses/by/4.0/).
Share and Cite
Skourides, C.; Nyfantis, D.; Leyland, P.; Bosse, H.; Ott, P. Mechanisms of Control Authority by Nanosecond Pulsed Dielectric Barrier Discharge Actuators on Flow Separation. Appl. Sci. 2019, 9, 2989. https://doi.org/10.3390/app9152989
Skourides C, Nyfantis D, Leyland P, Bosse H, Ott P. Mechanisms of Control Authority by Nanosecond Pulsed Dielectric Barrier Discharge Actuators on Flow Separation. Applied Sciences. 2019; 9(15):2989. https://doi.org/10.3390/app9152989
Chicago/Turabian StyleSkourides, Christoforos, Dimitrios Nyfantis, Pénélope Leyland, Hugo Bosse, and Peter Ott. 2019. "Mechanisms of Control Authority by Nanosecond Pulsed Dielectric Barrier Discharge Actuators on Flow Separation" Applied Sciences 9, no. 15: 2989. https://doi.org/10.3390/app9152989
APA StyleSkourides, C., Nyfantis, D., Leyland, P., Bosse, H., & Ott, P. (2019). Mechanisms of Control Authority by Nanosecond Pulsed Dielectric Barrier Discharge Actuators on Flow Separation. Applied Sciences, 9(15), 2989. https://doi.org/10.3390/app9152989

