Estimating PM10 Concentration from Drilling Operations in Open-Pit Mines Using an Assembly of SVR and PSO
Abstract
Featured Application
Abstract
1. Introduction
2. Study Area and Geological Conditions
3. Data Collection and Its Characteristics
4. Compositions Analysis of PM10 from Drilling Operations
5. The Principle of Intelligence Techniques
5.1. Random Forest (RF)
5.2. Support Vector Regression (SVR)
5.3. Classification and Regression Tree (CART)
- Applying some rules to exploit data at a node based on a variable value;
- Using some criteria to prevent the creation of complex trees;
- Pruning for optimum performance of the model;
- Calculation and prediction of the output for terminal nodes.
5.4. K-Nearest Neighbors (KNN)
5.5. Particle Swarm Optimization (PSO) Algorithm
- Generate the particle swarm size with random locations and speeds on d dimensions in the subject space.
- Estimate the proper optimization fitness function for each particle in d factors.
- Compare the fitness evaluation with pbest of the particle. If the present value is better than pbest, then set pbest value equal to the present value, and the pbest position equal to the current position in d-dimensional space.
- Compare the evaluation of the fitness with the overall previous best of the population. If the current value is better than gbest, then reset gbest to the current population index and value of particle.
- Change the velocity and local of the particle as Equations (9) and (10) as follow:where denote the position of particle j at iteration i; denote the velocity of particle j at iteration i; w is the inertial weight coefficient; i is the iteration number; r1 and r2 represent a random number uniformly distributed in [0,1] which is randomly generated at iteration and for each particle.
- Loop to step (2) until a criterion is met. Usually, the maximum number of iterations or sufficiently good fitness, the searching process will stop.
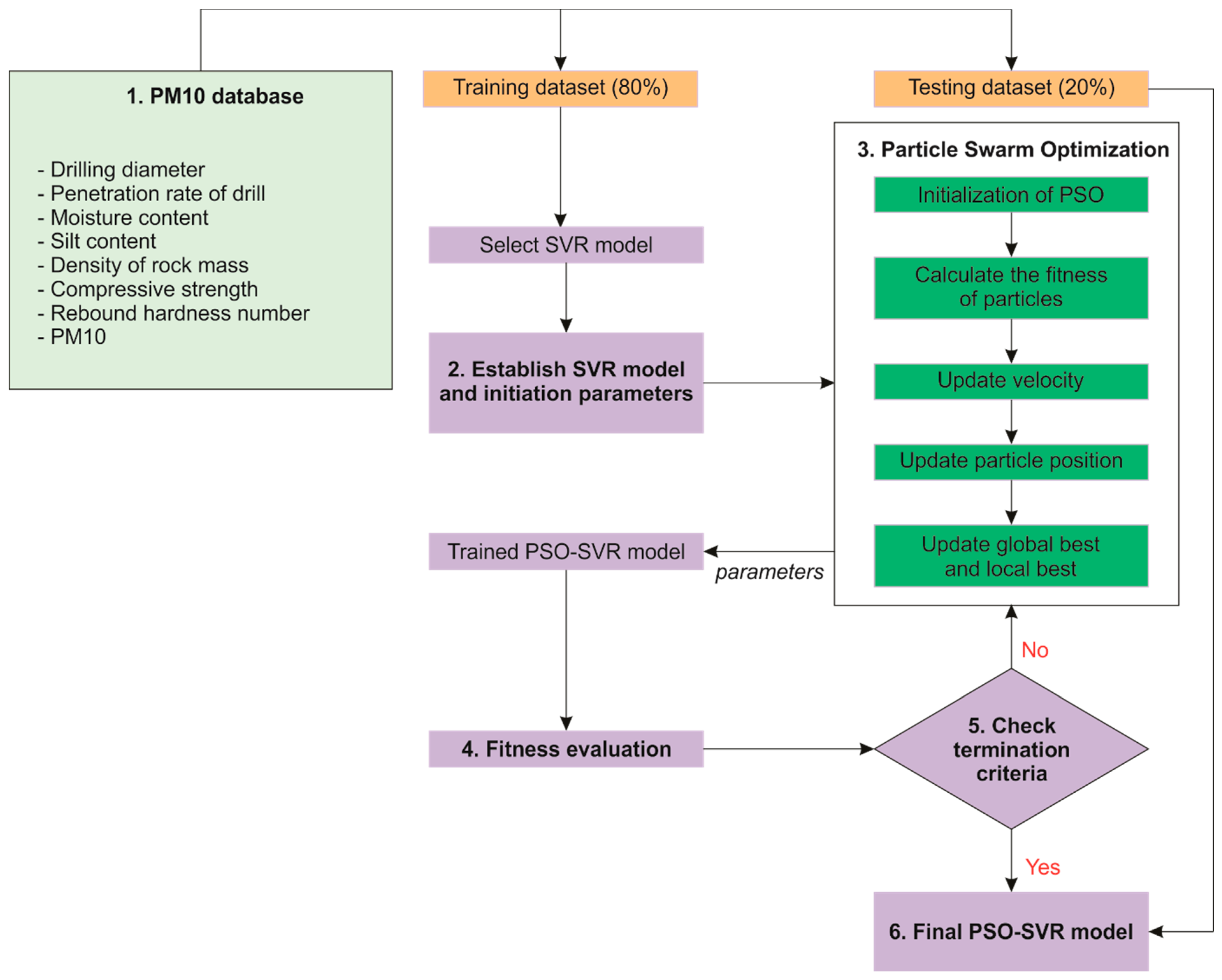
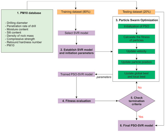
5.6. Development of the PM10 Concentration Predictive Models
5.7. RF Model
5.8. CART Model
5.9. KNN Model
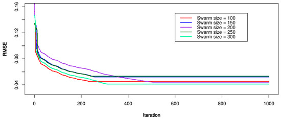
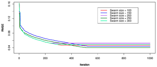
5.10. PSO-SVR Models for Estimating PM10 Concentration
6. Results and Discussion
7. Conclusions and Recommendations
- The dust concentration caused by activities in open-pit mines is high and very dangerous. The dust is the cause of the harmful impact on the environment and public health. In this study, PM10 concentration from drilling operations in open-pit mines was considered and predicted. However, the dust concentration caused by other activities in open-pit mines also needs to be controlled and predicted in the future. Total dust concentration needs to be managed in open-pit mines, and is a challenge for future works.
- For drilling operations, AI techniques are the advanced methods for predicting drill-induced dust concentration. They provided predictive intelligence models with high accuracy in practical engineering. In addition to the ANN, which was developed by previous researchers, the other machine learning techniques, i.e., RF, CART, KNN, PSO-SVR in this study were also techniques to control air quality in open-pit mines.
- The PSO algorithm is a robust tool for the optimization of the SVR model for estimating PM10 concentration. With an RMSE of 0.040 and R2 of 0.954, the proposed PSO-SVR-L model was the most dominant model for predicting drill-induced PM10 concentration in this study. It should be applied in practical engineering to control PM10 concentration from drilling operations as well as the other processes. Additionally, the CART, RF, and KNN models should also be considered in other conditions of different sites for predicting dust concentration. They can be good models in other case studies for predicting the environmental issues in open-pit mines.
- , , and P are the most influential parameters on the PM10 concentration predictive model, especially . They should be of particular interest and carefully collected for predicting drill-induced PM10 concentration.
- Based on the obtained results of this study, PM10 concentration from drilling operations can be predicted and controlled by the proposed PSO-SVR model. However, there are several operations, such as blasting, transporting, loading/unloading, which are also the causes of dust generation in open-pit mines. Therefore, the feasibility of AI techniques is also needed to investigate and establish a comprehensive air quality control system in open-pit mines.
Author Contributions
Funding
Acknowledgments
Conflicts of Interest
References
- Albert, S.; Kvennefors, C.; Jacob, K.; Kera, J.; Grinham, A. Environmental change in a modified catchment downstream of a gold mine, Solomon Islands. Environ. Pollut. 2017, 231, 942–953. [Google Scholar] [CrossRef] [PubMed]
- Bascetin, A. A decision support system using analytical hierarchy process (AHP) for the optimal environmental reclamation of an open-pit mine. Environ. Geol. 2007, 52, 663–672. [Google Scholar] [CrossRef]
- Huertas, J.I.; Huertas, M.E.; Izquierdo, S.; González, E.D. Air quality impact assessment of multiple open pit coal mines in northern Colombia. J. Environ. Manag. 2012, 93, 121–129. [Google Scholar] [CrossRef] [PubMed]
- Alvarenga, P.; Palma, P.; De Varennes, A.; Cunha-Queda, A.C. A contribution towards the risk assessment of soils from the São Domingos Mine (Portugal): Chemical, microbial and ecotoxicological indicators. Environ. Pollut. 2012, 161, 50–56. [Google Scholar] [CrossRef] [PubMed]
- Chakraborty, M.; Ahmad, M.; Singh, R.; Pal, D.; Bandopadhyay, C.; Chaulya, S. Determination of the emission rate from various opencast mining operations. Environ. Model. Softw. 2002, 17, 467–480. [Google Scholar] [CrossRef]
- Li, J.; Chen, B.; de la Campa, A.M.S.; Alastuey, A.; Querol, X.; Jesus, D. 2005–2014 trends of PM10 source contributions in an industrialized area of southern Spain. Environ. Pollut. 2018, 236, 570–579. [Google Scholar] [CrossRef] [PubMed]
- Vicente, A.; Juan, P.; Meseguer, S.; Díaz-Avalos, C.; Serra, L. Variability of PM10 in industrialized-urban areas. New coefficients to establish significant differences between sampling points. Environ. Pollut. 2018, 234, 969–978. [Google Scholar] [CrossRef] [PubMed]
- Gautam, S.; Patra, A.K.; Prusty, B.K. Opencast mines: A subject to major concern for human health. Int. Res. J. Geol. Min. 2012, 2, 25–31. [Google Scholar]
- Wheeler, A.; Williams, I.; Beaumont, R.; Hamilton, R. Characterisation of particulate matter sampled during a study of children’s personal exposure to airborne particulate matter in a UK urban environment. Environ. Monit. Assess. 2000, 65, 69–77. [Google Scholar] [CrossRef]
- Reed, W. Significant Dust Dispersion Models for Mining Operations; National Institute for Accupational Safety and Health: Atlanta, GA, USA, 2005.
- Espitia-Perez, L.; da Silva, J.; Espitia-Perez, P.; Brango, H.; Salcedo-Arteaga, S.; Hoyos-Giraldo, L.S.; de Souza, C.T.; Dias, J.F.; Agudelo-Castaneda, D.; Toscano, A.V. Cytogenetic instability in populations with residential proximity to open-pit coal mine in Northern Colombia in relation to PM10 and PM2.5 levels. Ecotoxicol. Environ. Saf. 2018, 148, 453–466. [Google Scholar] [CrossRef]
- Chaulya, S. Air quality status of an open pit mining area in India. Environ. Monit. Assess. 2005, 105, 369–389. [Google Scholar] [CrossRef] [PubMed]
- Pokorná, P.; Hovorka, J.; Brejcha, J. Impact of Mining Activities on the Air Quality in The Village Nearby a Coal Strip Mine. In IOP Conference Series: Earth and Environmental Science; IOP Publishing: Bristol, England, 2016. [Google Scholar]
- Alvarado, M.; Gonzalez, F.; Erskine, P.; Cliff, D.; Heuff, D. A methodology to monitor airborne PM10 dust particles using a small unmanned aerial vehicle. Sensors 2017, 17, 343. [Google Scholar] [CrossRef] [PubMed]
- Armaghani, D.J.; Hajihassani, M.; Marto, A.; Faradonbeh, R.S.; Mohamad, E.T. Prediction of blast-induced air overpressure: A hybrid AI-based predictive model. Environ. Monit. Assess. 2015, 187, 666. [Google Scholar] [CrossRef] [PubMed]
- Armaghani, D.J.; Hajihassani, M.; Mohamad, E.T.; Marto, A.; Noorani, S. Blasting-induced flyrock and ground vibration prediction through an expert artificial neural network based on particle swarm optimization. Arab. J. Geosci. 2014, 7, 5383–5396. [Google Scholar] [CrossRef]
- Ghose, M.K.; Majee, S. Sources of air pollution due to coal mining and their impacts in Jharia coalfield. Environ. Int. 2000, 26, 81–85. [Google Scholar] [CrossRef]
- Chaulya, S. Assessment and management of air quality for an opencast coal mining area. J. Environ. Manag. 2004, 70, 1–14. [Google Scholar] [CrossRef]
- Dastoor, A.P.; Pudykiewicz, J. A numerical global meteorological sulfur transport model and its application to Arctic air pollution. Atmos. Environ. 1996, 30, 1501–1522. [Google Scholar] [CrossRef]
- Binkowski, F.; Ching, J. Modeling Fine Particulate Mass and Visibility Using the EPA Regional Particulate Model; American Meteorological Society: Boston, MA, USA, 1996. [Google Scholar]
- Saltbones, J.; Foss, A.; Bartnicki, J. Norwegian Meteorological Institute’s real-time dispersion model SNAP (Severe Nuclear Accident Program): Runs for ETEX and ATMES II experiments with different meteorological input. Atmos. Environ. 1998, 32, 4277–4283. [Google Scholar] [CrossRef]
- Cohn, R.D.; Eder, B.K.; Leduc, S.K.; Dennis, R.L. Development of an aggregation and episode selection scheme to support the Models-3 Community Multiscale Air Quality Model. J. Appl. Meteorol. 2001, 40, 210–228. [Google Scholar] [CrossRef]
- Vardoulakis, S.; Fisher, B.E.; Pericleous, K.; Gonzalez-Flesca, N. Modelling air quality in street canyons: A review. Atmos. Environ. 2003, 37, 155–182. [Google Scholar] [CrossRef]
- Nagesha, K.; Singh, M.; Chandra, G.R. Development of empirical model to predict particulate matter. AIP Conf. Proc. 2018, 1992, 040013. [Google Scholar]
- Aneja, V.P.; Isherwood, A.; Morgan, P. Characterization of particulate matter (PM10) related to surface coal mining operations in Appalachia. Atmos. Environ. 2012, 54, 496–501. [Google Scholar] [CrossRef]
- Nguyen, H.; Bui, X.-N.; Bui, H.-B.; Mai, N.-L. A comparative study of artificial neural networks in predicting blast-induced air-blast overpressure at Deo Nai open-pit coal mine, Vietnam. Neural Comput. Appl. 2018. [Google Scholar] [CrossRef]
- Ghose, M.K. Generation and quantification of hazardous dusts from coal mining in the Indian context. Environ. Monit. Assess. 2007, 130, 35–45. [Google Scholar] [CrossRef] [PubMed]
- Asteris, P.; Kolovos, K.; Douvika, M.; Roinos, K. Prediction of self-compacting concrete strength using artificial neural networks. Eur. J. Environ. Civ. Eng. 2016, 20, s102–s122. [Google Scholar] [CrossRef]
- Asteris, P.; Roussis, P.; Douvika, M. Feed-forward neural network prediction of the mechanical properties of sandcrete materials. Sensors 2017, 17, 1344. [Google Scholar] [CrossRef] [PubMed]
- Asteris, P.G.; Nikoo, M. Artificial bee colony-based neural network for the prediction of the fundamental period of infilled frame structures. Neural Comput. Appl. 2019. [Google Scholar] [CrossRef]
- Asteris, P.G.; Nozhati, S.; Nikoo, M.; Cavaleri, L.; Nikoo, M. Krill herd algorithm-based neural network in structural seismic reliability evaluation. Mech. Adv. Mater. Struct. 2019, 26, 1–8. [Google Scholar] [CrossRef]
- Asteris, P.G.; Plevris, V. Anisotropic masonry failure criterion using artificial neural networks. Neural Comput. Appl. 2017, 28, 2207–2229. [Google Scholar] [CrossRef]
- Asteris, P.G.; Tsaris, A.K.; Cavaleri, L.; Repapis, C.C.; Papalou, A.; Di Trapani, F.; Karypidis, D.F. Prediction of the fundamental period of infilled RC frame structures using artificial neural networks. Comput. Intell. Neurosci. 2016, 2016, 20. [Google Scholar] [CrossRef]
- Cavaleri, L.; Chatzarakis, G.E.; Trapani, F.D.; Douvika, M.G.; Roinos, K.; Vaxevanidis, N.M.; Asteris, P.G. Modeling of surface roughness in electro-discharge machining using artificial neural networks. Adv. Mater. Res. 2017, 6, 169–184. [Google Scholar]
- Chen, H.; Asteris, P.G.; Jahed Armaghani, D.; Gordan, B.; Pham, B.T. Assessing Dynamic Conditions of the Retaining Wall: Developing Two Hybrid Intelligent Models. Appl. Sci. 2019, 9, 1042. [Google Scholar] [CrossRef]
- Plevris, V.; Asteris, P.G. Modeling of masonry failure surface under biaxial compressive stress using Neural Networks. Constr. Build. Mater. 2014, 55, 447–461. [Google Scholar] [CrossRef]
- Le, L.T.; Nguyen, H.; Dou, J.; Zhou, J. A Comparative Study of PSO-ANN, GA-ANN, ICA-ANN, and ABC-ANN in Estimating the Heating Load of Buildings’ Energy Efficiency for Smart City Planning. Appl. Sci. 2019, 9, 2630. [Google Scholar] [CrossRef]
- Bui, X.-N.; Muazu, M.A.; Nguyen, H. Optimizing Levenberg–Marquardt backpropagation technique in predicting factor of safety of slopes after two-dimensional OptumG2 analysis. Eng. Comput. 2019. [Google Scholar] [CrossRef]
- Zhang, X.; Nguyen, H.; Bui, X.-N.; Tran, Q.-H.; Nguyen, D.-A.; Bui, D.T.; Moayedi, H. Novel Soft Computing Model for Predicting Blast-Induced Ground Vibration in Open-Pit Mines Based on Particle Swarm Optimization and XGBoost. Nat. Resour. Res. 2019. [Google Scholar] [CrossRef]
- Shang, Y.; Nguyen, H.; Bui, X.-N.; Tran, Q.-H.; Moayedi, H. A Novel Artificial Intelligence Approach to Predict Blast-Induced Ground Vibration in Open-pit Mines Based on the Firefly Algorithm and Artificial Neural Network. Nat. Resour. Res. 2019. [Google Scholar] [CrossRef]
- Nguyen, H.; Moayedi, H.; Foong, L.K.; Al Najjar, H.A.H.; Jusoh, W.A.W.; Rashid, A.S.A.; Jamali, J. Optimizing ANN models with PSO for predicting short building seismic response. Eng. Comput. 2019. [Google Scholar] [CrossRef]
- Nguyen, H.; Bui, X.-N.; Tran, Q.-H.; Mai, N.-L. A new soft computing model for estimating and controlling blast-produced ground vibration based on hierarchical K-means clustering and cubist algorithms. Appl. Soft Comput. 2019, 77, 376–386. [Google Scholar] [CrossRef]
- Armaghani, D.J.; Hajihassani, M.; Monjezi, M.; Mohamad, E.T.; Marto, A.; Moghaddam, M.R. Application of two intelligent systems in predicting environmental impacts of quarry blasting. Arab. J. Geosci. 2015, 8, 9647–9665. [Google Scholar] [CrossRef]
- Armaghani, D.J.; Hajihassani, M.; Sohaei, H.; Mohamad, E.T.; Marto, A.; Motaghedi, H.; Moghaddam, M.R. Neuro-fuzzy technique to predict air-overpressure induced by blasting. Arab. J. Geosci. 2015, 8, 10937–10950. [Google Scholar] [CrossRef]
- Chelani, A.B.; Gajghate, D.; Hasan, M. Prediction of ambient PM10 and toxic metals using artificial neural networks. J. Air Waste Manag. Assoc. 2002, 52, 805–810. [Google Scholar] [CrossRef] [PubMed]
- McKendry, I.G. Evaluation of artificial neural networks for fine particulate pollution (PM10 and PM2.5) forecasting. J. Air Waste Manag. Assoc. 2002, 52, 1096–1101. [Google Scholar] [CrossRef] [PubMed]
- Lal, B.; Tripathy, S.S. Prediction of dust concentration in open cast coal mine using artificial neural network. Atmos. Pollut. Res. 2012, 3, 211–218. [Google Scholar] [CrossRef]
- Alkasassbeh, M.; Sheta, A.F.; Faris, H.; Turabieh, H. Prediction of PM10 and TSP air pollution parameters using artificial neural network autoregressive, external input models: A case study in salt, Jordan. Middle-East J. Sci. Res. 2013, 14, 999–1009. [Google Scholar]
- Mishra, D.; Goyal, P.; Upadhyay, A. Artificial intelligence based approach to forecast PM2.5 during haze episodes: A case study of Delhi, India. Atmos. Environ. 2015, 102, 239–248. [Google Scholar] [CrossRef]
- Nagesha, K.; Chandar, K.R.; Sastry, V. Prediction of Dust Dispersion by Drilling Operation Using Artificial Neural Networks. Int. J. Prev. Control Ind. Pollut. 2016, 1, 1–13. [Google Scholar]
- Patra, A.K.; Gautam, S.; Majumdar, S.; Kumar, P. Prediction of particulate matter concentration profile in an opencast copper mine in India using an artificial neural network model. Air Qual. Atmos. Health 2016, 9, 697–711. [Google Scholar] [CrossRef]
- Vlachogianni, A.; Kassomenos, P.; Karppinen, A.; Karakitsios, S.; Kukkonen, J. Evaluation of a multiple regression model for the forecasting of the concentrations of NOx and PM10 in Athens and Helsinki. Sci. Total Environ. 2011, 409, 1559–1571. [Google Scholar] [CrossRef]
- Voukantsis, D.; Karatzas, K.; Kukkonen, J.; Räsänen, T.; Karppinen, A.; Kolehmainen, M. Intercomparison of air quality data using principal component analysis, and forecasting of PM10 and PM2.5 concentrations using artificial neural networks, in Thessaloniki and Helsinki. Sci. Total Environ. 2011, 409, 1266–1276. [Google Scholar] [CrossRef]
- Fernando, H.J.; Mammarella, M.; Grandoni, G.; Fedele, P.; Di Marco, R.; Dimitrova, R.; Hyde, P. Forecasting PM10 in metropolitan areas: Efficacy of neural networks. Environ. Pollut. 2012, 163, 62–67. [Google Scholar] [CrossRef] [PubMed]
- Antanasijević, D.Z.; Pocajt, V.V.; Povrenović, D.S.; Ristić, M.Đ.; Perić-Grujić, A.A. PM10 emission forecasting using artificial neural networks and genetic algorithm input variable optimization. Sci. Total Environ. 2013, 443, 511–519. [Google Scholar] [CrossRef] [PubMed]
- Hur, S.-K.; Oh, H.-R.; Ho, C.-H.; Kim, J.; Song, C.-K.; Chang, L.-S.; Lee, J.-B. Evaluating the predictability of PM10 grades in Seoul, Korea using a neural network model based on synoptic patterns. Environ. Pollut. 2016, 218, 1324–1333. [Google Scholar] [CrossRef] [PubMed]
- Meng, X.; Fu, Q.; Ma, Z.; Chen, L.; Zou, B.; Zhang, Y.; Xue, W.; Wang, J.; Wang, D.; Kan, H. Estimating ground-level PM10 in a Chinese city by combining satellite data, meteorological information and a land use regression model. Environ. Pollut. 2016, 208, 177–184. [Google Scholar] [CrossRef] [PubMed]
- Franceschi, F.; Cobo, M.; Figueredo, M. Discovering relationships and forecasting PM10 and PM2.5 concentrations in Bogotá, Colombia, using Artificial Neural Networks, Principal Component Analysis, and k-means clustering. Atmos. Pollut. Res. 2018, 9, 912–922. [Google Scholar] [CrossRef]
- Ng, K.Y.; Awang, N. Multiple linear regression and regression with time series error models in forecasting PM10 concentrations in Peninsular Malaysia. Environ. Monit. Assess. 2018, 190, 63. [Google Scholar] [CrossRef] [PubMed]
- Nieto, P.G.; Lasheras, F.S.; García-Gonzalo, E.; de Cos Juez, F. PM 10 concentration forecasting in the metropolitan area of Oviedo (Northern Spain) using models based on SVM, MLP, VARMA and ARIMA: A case study. Sci. Total Environ. 2018, 621, 753–761. [Google Scholar] [CrossRef]
- Gualtieri, G.; Carotenuto, F.; Finardi, S.; Tartaglia, M.; Toscano, P.; Gioli, B. Forecasting PM10 hourly concentrations in northern Italy: Insights on models performance and PM10 drivers through self-organizing maps. Atmos. Pollut. Res. 2018, 9, 1204–1213. [Google Scholar] [CrossRef]
- Protodiakonov, M.; Koifman, M.; Chirkov, S.; Kuntish, M.; Tedder, R. Rock Strength Passports and Methods for Their Determination; Nauka: Moscow, Russia, 1964. [Google Scholar]
- Standard, V.S. Determination of Moisture Content, Water Absorption in Laboratory; Vietnam Institute of Water Resources Research, Ministry of Agriculture: Hanoi, Vietnam, 2014. [Google Scholar]
- Wardoyo, A.Y.; Juswono, U.P.; Noor, J.A. Measurements of PM2.5 motor emission concentrations and the lung damages from the exposure mice. In Proceedings of the International Seminar on Sensors, Instrumentation, Measurement and Metrology (ISSIMM), Malang, Indonesia, 10–11 August 2016. [Google Scholar]
- Breiman, L. Random forests. Mach. Learn. 2001, 45, 5–32. [Google Scholar] [CrossRef]
- Au, T.C. Random forests, decision trees, and categorical predictors: The Absent levels problem. J. Mach. Learn. Res. 2018, 19, 1737–1766. [Google Scholar]
- Liaw, A.; Wiener, M. Classification and regression by randomForest. R News 2002, 2, 18–22. [Google Scholar]
- Svetnik, V.; Liaw, A.; Tong, C.; Culberson, J.C.; Sheridan, R.P.; Feuston, B.P. Random forest: A classification and regression tool for compound classification and QSAR modeling. J. Chem. Inf. Comput. Sci. 2003, 43, 1947–1958. [Google Scholar] [CrossRef] [PubMed]
- Vincenzi, S.; Zucchetta, M.; Franzoi, P.; Pellizzato, M.; Pranovi, F.; De Leo, G.A.; Torricelli, P. Application of a Random Forest algorithm to predict spatial distribution of the potential yield of Ruditapes philippinarum in the Venice lagoon, Italy. Ecol. Model. 2011, 222, 1471–1478. [Google Scholar] [CrossRef]
- Lin, W.; Wu, Z.; Lin, L.; Wen, A.; Li, J. An ensemble random forest algorithm for insurance big data analysis. IEEE Access 2017, 5, 16568–16575. [Google Scholar] [CrossRef]
- Nguyen, H.; Bui, X.-N. Predicting Blast-Induced Air Overpressure: A Robust Artificial Intelligence System Based on Artificial Neural Networks and Random Forest. Nat. Resour. Res. 2019, 28. [Google Scholar] [CrossRef]
- Vapnik, V. Three remarks on the support vector method of function estimation. In Advances in Kernel Methods; MIT Press: London, UK, 1999. [Google Scholar]
- Smola, A.J.; Schölkopf, B. A tutorial on support vector regression. Stat. Comput. 2004, 14, 199–222. [Google Scholar] [CrossRef]
- Bui, X.-N.; Nguyen, H.; Le, H.-A.; Bui, H.-B.; Do, N.-H. Prediction of Blast-induced Air Over-pressure in Open-Pit Mine: Assessment of Different Artificial Intelligence Techniques. Nat. Resour. Res. 2019. [Google Scholar] [CrossRef]
- Nguyen, H.; Drebenstedt, C.; Bui, X.-N.; Bui, D.T. Prediction of Blast-Induced Ground Vibration in an Open-Pit Mine by a Novel Hybrid Model Based on Clustering and Artificial Neural Network. Nat. Resour. Res. 2019. [Google Scholar] [CrossRef]
- Nguyen, H. Support vector regression approach with different kernel functions for predicting blast-induced ground vibration: A case study in an open-pit coal mine of Vietnam. SN Appl. Sci. 2019. [Google Scholar] [CrossRef]
- Hasanipanah, M.; Monjezi, M.; Shahnazar, A.; Armaghani, D.J.; Farazmand, A. Feasibility of indirect determination of blast induced ground vibration based on support vector machine. Measurement 2015, 75, 289–297. [Google Scholar] [CrossRef]
- Breiman, L. Classification and Regression Trees; Routledge: New York, NY, USA, 2017. [Google Scholar]
- De’ath, G.; Fabricius, K.E. Classification and regression trees: A powerful yet simple technique for ecological data analysis. Ecology 2000, 81, 3178–3192. [Google Scholar] [CrossRef]
- Tiryaki, B. Predicting intact rock strength for mechanical excavation using multivariate statistics, artificial neural networks, and regression trees. Eng. Geol. 2008, 99, 51–60. [Google Scholar] [CrossRef]
- Kisi, O.; Genc, O.; Dinc, S.; Zounemat-Kermani, M. Daily pan evaporation modeling using chi-squared automatic interaction detector, neural networks, classification and regression tree. Comput. Electron. Agric. 2016, 122, 112–117. [Google Scholar] [CrossRef]
- Lawrence, R.L.; Wright, A. Rule-based classification systems using classification and regression tree (CART) analysis. Photogramm. Eng. Remote Sens. 2001, 67, 1137–1142. [Google Scholar]
- Steinberg, D.; Colla, P. CART: Classification and regression trees. In The Top Ten Algorithms in Data Mining; Taylor & Francis: Boca Raton, FL, USA, 2009; Volume 9, p. 179. [Google Scholar]
- Rutkowski, L.; Jaworski, M.; Pietruczuk, L.; Duda, P. The CART decision tree for mining data streams. Inf. Sci. 2014, 266, 1–15. [Google Scholar] [CrossRef]
- Nguyen, H.; Bui, X.-N.; Bui, H.-B.; Cuong, D.T. Developing an XGBoost model to predict blast-induced peak particle velocity in an open-pit mine: A case study. Acta Geophys. 2019, 67, 477–490. [Google Scholar] [CrossRef]
- Hasanipanah, M.; Faradonbeh, R.S.; Amnieh, H.B.; Armaghani, D.J.; Monjezi, M. Forecasting blast-induced ground vibration developing a CART model. Eng. Comput. 2017, 33, 307–316. [Google Scholar] [CrossRef]
- Yao, Z.; Ruzzo, W.L. A regression-based K nearest neighbor algorithm for gene function prediction from heterogeneous data. BMC Bioinform. 2006, 7, S11. [Google Scholar] [CrossRef]
- Farahnakian, F.; Pahikkala, T.; Liljeberg, P.; Plosila, J. Energy aware consolidation algorithm based on k-nearest neighbor regression for cloud data centers. In Proceedings of the 2013 IEEE/ACM 6th International Conference on Utility and Cloud Computing (UCC), Dresden, Germany, 9–12 December 2013; pp. 256–259. [Google Scholar]
- Hu, C.; Jain, G.; Zhang, P.; Schmidt, C.; Gomadam, P.; Gorka, T. Data-driven method based on particle swarm optimization and k-nearest neighbor regression for estimating capacity of lithium-ion battery. Appl. Energy 2014, 129, 49–55. [Google Scholar] [CrossRef]
- Eberhart, R.; Kennedy, J. A new optimizer using particle swarm theory. In Proceedings of the Sixth International Symposium on Micro Machine and Human Science, Nagoya, Japan, 4–6 Octomber 1995; pp. 39–43. [Google Scholar]
- Wong, W.; Lee, J. Statistical Analysis of Geographic Information with ArcView GIS and ArcGIS; Wiley: New York, NY, USA, 2005. [Google Scholar]
- Marinakis, Y.; Migdalas, A.; Sifaleras, A. A hybrid particle swarm optimization–variable neighborhood search algorithm for constrained shortest path problems. Eur. J. Oper. Res. 2017, 261, 819–834. [Google Scholar] [CrossRef]
- Agrawal, A.P.; Kaur, A. A Comprehensive Comparison of Ant Colony and Hybrid Particle Swarm Optimization Algorithms through Test Case Selection; Springer: Singapore, 2018. [Google Scholar]
- Nguyen, H.; Moayedi, H.; Jusoh, W.A.W.; Sharifi, A. Proposing a novel predictive technique using M5Rules-PSO model estimating cooling load in energy-efficient building system. Eng. Comput. 2019. [Google Scholar] [CrossRef]
- Poli, R.; Kennedy, J.; Blackwell, T. Particle swarm optimization. Swarm Intell. 2007, 1, 33–57. [Google Scholar] [CrossRef]
- Kennedy, J. The behavior of particles. In Proceedings of the International Conference on Evolutionary Programming, San Diego, CA, USA, 25–27 March 1998; pp. 581–589. [Google Scholar]
- Clerc, M.; Kennedy, J. The particle swarm-explosion, stability, and convergence in a multidimensional complex space. IEEE Trans. Evol. Comput. 2002, 6, 58–73. [Google Scholar] [CrossRef]
- Eberhart, R.C.; Shi, Y. Comparing inertia weights and constriction factors in particle swarm optimization. In Proceedings of the 2000 Congress on Evolutionary Computation, La Jolla, CA, USA, 16–19 July 2000. [Google Scholar]
- Gretton, A.; Bousquet, O.; Smola, A.; Schölkopf, B. Measuring statistical dependence with Hilbert-Schmidt norms. In Proceedings of the International Conference on Algorithmic Learning Theory, Singapore, 8–10 October 2005. [Google Scholar]
- Da Veiga, S. Global sensitivity analysis with dependence measures. J. Stat. Comput. Simul. 2015, 85, 1283–1305. [Google Scholar] [CrossRef]















| No. | Reference | Technique | Objective | Result |
|---|---|---|---|---|
| 1 | Chelani, Gajghate [45] | ANN | PM10 | RMSE = 7.9; R2 = 0.89 |
| 2 | McKendry [46] | ANN | PM10 | RMSD = 2.21; r = 0.75 |
| 3 | Lal and Tripathy [47] | ANN | PM10 | RMSE = 0.0339; d = 0.9969 |
| 4 | Alkasassbeh, Sheta [48] | ANN | PM10, TSP | MSEPM10 = 219.785; MSETSP = 1010.7; MMREPM10 = 0.313; MSETSP = 0.234 |
| 5 | Mishra, Goyal [49] | Neuro-fuzzy | PM2.5 | R = 0.72 |
| 6 | Nagesha, Chandar [50] | ANN | PM10 | MSE = 0.00606; R2 = 0.96 |
| 7 | Patra, Gautam [51] | ANN | PM0.23–0.3 PM0.3–0.4 PM0.4–0.5 PM0.5–0.65 PM0.65–0.8 PM0.8–1 PM1–1.6 | R = 0.806, 0.852, 0.808, 0.896, 0.698, 0.674, 0.788, respectively |
| Elements | d (mm) | P (m/min) | Wtn (%) | S (%) |
| Min. | 200.0 | 0.1600 | 0.29 | 15.20 |
| 1st Qua. | 200.0 | 0.2100 | 7.84 | 24.70 |
| Median | 230.0 | 0.2500 | 11.38 | 27.60 |
| Mean | 227.3 | 0.2558 | 11.57 | 27.58 |
| 3rd Qua. | 250.0 | 0.2900 | 15.39 | 30.10 |
| Max. | 250.0 | 0.4100 | 28.12 | 39.20 |
| Elements | ρ (gm/cm3) | σc (MPa) | R (m) | PM10 (gm/s) |
| Min. | 1.220 | 13.00 | 16.00 | 0.148 |
| 1st Qua. | 1.230 | 15.00 | 20.00 | 0.329 |
| Median | 1.240 | 16.00 | 22.00 | 0.474 |
| Mean | 1.243 | 15.98 | 21.63 | 0.496 |
| 3rd Qua. | 1.260 | 17.00 | 23.00 | 0.646 |
| Max. | 1.270 | 19.00 | 27.00 | 1.306 |
| Model | Hyper-Parameters | |||
|---|---|---|---|---|
| C | d | γ | Σ | |
| PSO-SVR-L | ✓ | - | - | - |
| PSO-SVR-P | ✓ | ✓ | ✓ | - |
| PSO-SVR-RBF | ✓ | - | - | ✓ |
| Model | Hyper-Parameters | |||
|---|---|---|---|---|
| C | d | γ | σ | |
| PSO-SVR-L | 900.792 | - | - | - |
| PSO-SVR-P | 509.611 | 2 | 0.0014 | - |
| PSO-SVR-RBF | 19.988 | - | - | 0.01 |
| Model | Training | Testing | ||
|---|---|---|---|---|
| RMSE | R2 | RMSE | R2 | |
| RF | 0.057 | 0.963 | 0.060 | 0.894 |
| CART | 0.052 | 0.945 | 0.052 | 0.924 |
| KNN | 0.074 | 0.904 | 0.067 | 0.867 |
| PSO-SVR-L | 0.036 | 0.963 | 0.040 | 0.954 |
| PSO-SVR-P | 0.040 | 0.962 | 0.042 | 0.948 |
| PSO-SVR-RBF | 0.041 | 0.962 | 0.043 | 0.946 |
| Model | Performance | Importance Parameters | |||||||
|---|---|---|---|---|---|---|---|---|---|
| RMSE | R2 | d | P | Wtn | S | ρ | σc | R | |
| RF | 0.060 | 0.894 | 0.018 | 0.825 | 0.927 | 0.008 | 0.017 | 0.779 | 0.013 |
| CART | 0.052 | 0.924 | 0.019 | 0.824 | 0.929 | 0.007 | 0.017 | 0.784 | 0.012 |
| KNN | 0.067 | 0.867 | 0.024 | 0.802 | 0.896 | 0.006 | 0.022 | 0.826 | 0.014 |
| PSO-SVR-L | 0.040 | 0.954 | 0.018 | 0.825 | 0.975 | 0.006 | 0.018 | 0.817 | 0.012 |
| PSO-SVR-P | 0.042 | 0.948 | 0.017 | 0.836 | 0.957 | 0.007 | 0.018 | 0.812 | 0.013 |
| PSO-SVR-RBF | 0.043 | 0.946 | 0.016 | 0.839 | 0.955 | 0.006 | 0.018 | 0.813 | 0.013 |
© 2019 by the authors. Licensee MDPI, Basel, Switzerland. This article is an open access article distributed under the terms and conditions of the Creative Commons Attribution (CC BY) license (http://creativecommons.org/licenses/by/4.0/).
Share and Cite
Bui, X.-N.; Lee, C.W.; Nguyen, H.; Bui, H.-B.; Long, N.Q.; Le, Q.-T.; Nguyen, V.-D.; Nguyen, N.-B.; Moayedi, H. Estimating PM10 Concentration from Drilling Operations in Open-Pit Mines Using an Assembly of SVR and PSO. Appl. Sci. 2019, 9, 2806. https://doi.org/10.3390/app9142806
Bui X-N, Lee CW, Nguyen H, Bui H-B, Long NQ, Le Q-T, Nguyen V-D, Nguyen N-B, Moayedi H. Estimating PM10 Concentration from Drilling Operations in Open-Pit Mines Using an Assembly of SVR and PSO. Applied Sciences. 2019; 9(14):2806. https://doi.org/10.3390/app9142806
Chicago/Turabian StyleBui, Xuan-Nam, Chang Woo Lee, Hoang Nguyen, Hoang-Bac Bui, Nguyen Quoc Long, Qui-Thao Le, Van-Duc Nguyen, Ngoc-Bich Nguyen, and Hossein Moayedi. 2019. "Estimating PM10 Concentration from Drilling Operations in Open-Pit Mines Using an Assembly of SVR and PSO" Applied Sciences 9, no. 14: 2806. https://doi.org/10.3390/app9142806
APA StyleBui, X.-N., Lee, C. W., Nguyen, H., Bui, H.-B., Long, N. Q., Le, Q.-T., Nguyen, V.-D., Nguyen, N.-B., & Moayedi, H. (2019). Estimating PM10 Concentration from Drilling Operations in Open-Pit Mines Using an Assembly of SVR and PSO. Applied Sciences, 9(14), 2806. https://doi.org/10.3390/app9142806

