Hybrid Ionic Liquid–Silica Xerogels Applied in CO2 Capture
Abstract
:1. Introduction
2. Materials and Methods
2.1. Chemicals
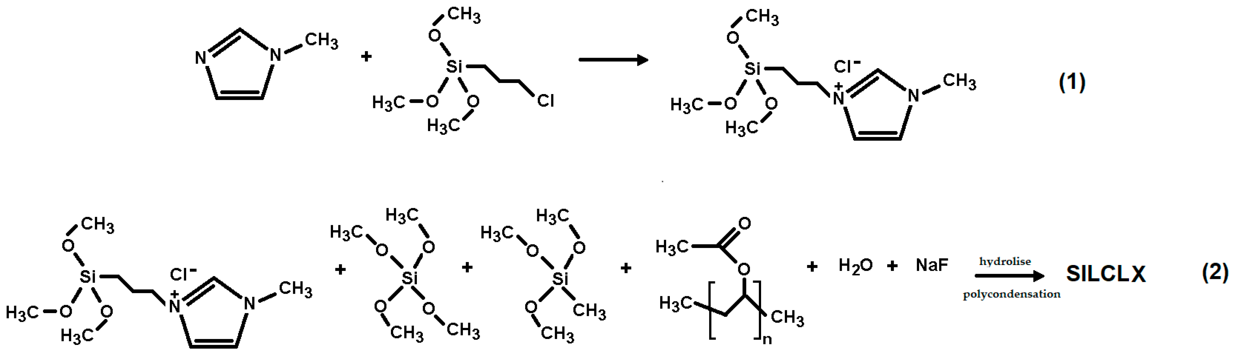
2.2. Ionic Liquid Synthesis
2.3. Ionic Liquid Immobilization
2.4. Characterization
2.5. CO2 Adsorption Measurements
3. Results
4. Discussion
5. Conclusions
Author Contributions
Funding
Acknowledgments
Conflicts of Interest
Appendix A

References
- Koytsoumpa, E.I.; Bergins, C.; Kakaras, E. The CO2 economy: Review of CO2 capture and reuse technologies. J. Supercrit. Fluids 2018, 132, 3–16. [Google Scholar] [CrossRef]
- Rogelj, J.D.; Shindell, K.; Jiang, S.; Fifita, P.; Forster, V.; Ginzburg, C.; Handa, H.; Kheshgi, S.; Kobayashi, E.; Kriegler, E.; et al. Mitigation pathways compatible with 1.5 °C in the context of sustainable development. In Global Warming of 1.5 °C. An IPCC Special Report on the Impacts of Global Warming of 1.5 °C Above Pre-Industrial Levels and Related Global Greenhouse Gas Emission Pathways, in the Context of Strengthening the Global Response to the Threat of Climate Change, Sustainable Development, and Efforts to Eradicate Poverty; Masson-Delmotte, V.P., Zhai, H.-O., Pörtner, D., Roberts, J., Skea, P.R., Shukla, A., Pirani, W., Moufouma-Okia, C., Péan, R., Pidcock, S., et al., Eds.; 2018; in press. [Google Scholar]
- Anderson, T.R.; Hawkins, E.; Jones, F.D. CO2, the greenhouse effect and global warming: From the pioneering work of arrhenius and callendar to today’s earth system models. Endeavour 2016, 3, 178–187. [Google Scholar] [CrossRef] [PubMed]
- Aresta, M.; Nocito, F.; Dibenedetto, A. What catalysis can do for boosting CO2 utilization. Adv. Catal. 2018, 62, 49–111. [Google Scholar]
- De Souza, A.L.A.; Vieira, M.O.; Polesso, B.B.; Cobalchini, F.W.; Bernard, F.L.; Vecchia, F.D.; Einloft, S. Sorção de CO2 utilizando líquido iônico aditivado com extensores de área superficial. Quim. Nova 2018, 41, 656–661. [Google Scholar] [CrossRef]
- Meylan, F.D.; Moreau, V.; Erkman, S. CO2 utilization in the perspective of industrial ecology, an overview. J. CO2 Util. 2015, 12, 101–108. [Google Scholar] [CrossRef]
- Yang, Z.; He, L.; Gao, J.; Liu, A.; Yu, B. Carbon dioxide utilization with C–N bond formation: Carbon dioxide capture and subsequent conversion. Energy Environ. Sci. 2012, 5, 6602–6639. [Google Scholar] [CrossRef]
- Monteiro, W.F.; Vieira, M.O.; Aquino, A.S.; Souza, M.O.; Lima, J.; Einloft, S.; Ligabue, R. CO2 conversion to propylene carbonate catalyzed by ionic liquid containing organosilane groups supported on titanate nanotubes/nanowires. Appl. Catal. A Gen. 2017, 544, 46–54. [Google Scholar] [CrossRef]
- Muldoon, M.J.; Aki, S.; Anderson, J.L.; Dixon, J.K.; Brennecke, J.F. Improving carbon dioxide solubility in ionic liquids. J. Phys. Chem. B 2007, 111, 9001–9009. [Google Scholar] [CrossRef]
- Vieira, M.O.; Aquino, A.S.; Schütz, M.K.; Vecchia, F.D.; Ligabue, R.; Seferin, M.; Einloft, S. Chemical conversion of CO2: Evaluation of different ionic liquids as catalysts in dimethyl carbonate synthesis. Energy Procedia 2017, 114, 7141–7149. [Google Scholar] [CrossRef]
- Aquino, A.S.; Bernard, F.L.; Vieira, M.O.; Borges, J.V.; Rojas, M.F.; Vecchia, F.D.; Ligabue, R.; Seferin, M.; Menezes, S.; Einloft, S. A new approach to CO2 capture and conversion using imidazolium based-ionic liquids as sorbent and catalyst. J. Braz. Chem. Soc. 2014, 25, 2251–2257. [Google Scholar]
- Vieira, M.O.; Monteiro, W.F.; Neto, B.S.; Ligabue, R.; Chaban, V.V.; Einloft, S. Surface active ionic liquids as catalyst for CO2 conversion to propylene carbonate. Catal. Lett. 2018, 148, 108–118. [Google Scholar] [CrossRef]
- Vekariya, R.L. A review of ionic liquids: Applications towards catalytic organic transformations. J. Mol. Liq. 2017, 227, 44–60. [Google Scholar] [CrossRef]
- Martinez, A.S.; Hauzenberger, C.; Sahoo, A.R.; Csendes, Z.; Hoffmann, H.; Bica, K. Continuous conversion of carbon dioxide to propylene carbonate with supported ionic liquids. ACS Sustain. Chem. Eng. 2018, 6, 13131–13139. [Google Scholar] [CrossRef]
- Vieira, M.O.; Monteiro, W.F.; Neto, B.S.; Chaban, V.V.; Ligabue, R.; Einloft, S. Chemical fixation of CO2: The influence of linear amphiphilic anions on surface active ionic liquids (SAILs) as catalysts for synthesis of cyclic carbonates under solvent-free conditions. React. Kinet. Mech. Cat. 2019, 126, 987–1001. [Google Scholar] [CrossRef]
- Ramdin, M.; Amplianitis, A.; de Loos, T.W.; Vlugt, T. Solubility of CO2/CH4 gas mixtures in ionic liquids. Fluid Phase Equilib. 2014, 375, 134–142. [Google Scholar] [CrossRef]
- Anderson, J.L.; Dixon, J.K.; Brennecke, J.F. Solubility of CO2, CH4, C2H6, C2H4, O2, and N2 in 1-Hexyl-3-methylpyridinium Bis(trifluoromethylsulfonyl)imide: Comparison to other ionic liquids. Acc. Chem. Res. 2007, 40, 1208–1216. [Google Scholar] [CrossRef] [PubMed]
- Ramdin, M.; de Loos, T.W.; Vlugt, T. State of the art of CO2 capture with ionic liquids. Ind. Eng. Chem. Res. 2012, 51, 8149–8177. [Google Scholar] [CrossRef]
- Corvo, M.C.; Sardinha, J.; Casimiro, T.; Marin, G.; Seferin, M.; Einloft, S.; Menezes, S.; Dupont, J.; Cabrita, E. A rational approach to CO2 capture by imidazolium ionic liquids: Tuning CO2 solubility by cation alkyl branching. ChemSusChem 2015, 8, 1935–1946. [Google Scholar] [CrossRef] [PubMed]
- Ma, T.; Wang, J.; Du, Z.; Abdeltawab, A.A.; Al-Enizi, A.M.; Chen, X.; Yu, G. A process simulation study of CO2 capture by ionic liquids. Int. J. Greenh. Gas. Contr. 2017, 58, 223–231. [Google Scholar] [CrossRef]
- Vieira, M.O.; Monteiro, W.F.; Ligabue, R.; Seferin, M.; Chaban, V.V.; Andreeva, N.A.; Nascimento, J.F.; Einloft, S. Ionic liquids composed of linear amphiphilic anions: Synthesis, physicochemical characterization, hydrophilicity and interaction with carbon dioxide. J. Mol. Liq. 2017, 241, 64–73. [Google Scholar] [CrossRef]
- Rodríguez-Perez, L.; Coppel, Y.; Favier, I.; Teuma, E.; Serp, P.; Gomez, M. Imidazolium-based ionic liquids immobilized on solid supports: Effect on the structure and thermostability. Dalton Trans. 2010, 39, 7565–7568. [Google Scholar] [CrossRef] [PubMed]
- Wan, M.M.; Zhu, H.Y.; Li, Y.Y.; Ma, J.; Liu, S.; Zhu, J.H. Novel CO2-capture derived from the basic ionic liquids orientated on mesoporous materials. ACS Appl. Mater. Interfaces 2014, 6, 12947–12955. [Google Scholar] [CrossRef] [PubMed]
- Romanos, G.E.; Schulz, P.S.; Bahlmann, M.; Wasserscheid, P.; Sapalidis, A.; Katsaros, F.K.; Athanasekou, C.P.; Beltsios, K.; Kanellopoulos, N.K. CO2 capture by novel supported ionic liquid phase systems consisting of silica nanoparticles encapsulating aminefunctionalized ionic liquids. J. Phys. Chem. C 2014, 118, 24437–24451. [Google Scholar] [CrossRef]
- Aquino, A.S.; Bernard, F.L.; Borges, J.V.; Mafra, L.; Vecchia, F.D.; Vieira, M.O.; Ligabue, R.; Seferin, M.; Chaban, V.V.; Cabrita, E.; et al. Rationalizing the role of the anion in CO2 capture and conversion using imidazolium-based ionic liquid modified mesoporous silica. RSC Adv. 2015, 5, 64220–64227. [Google Scholar] [CrossRef]
- Valkenberg, M.H.; Castro, C.; Hölderich, W.F. Immobilisation of ionic liquids on solid supports. Green Chem. 2001, 4, 88–93. [Google Scholar] [CrossRef]
- Luza, L.; Gual, A.; Eberhardt, D.; Teixeira, S.R.; Chiaro, S.; Dupont, J. Imprinting catalytically active Pd nanoparticles onto ionic-liquid-modified Al2O3 supports. Chem. Cat. Chem. 2013, 5, 2471–2478. [Google Scholar]
- Karout, A.; Pierre, A.C. Silica xerogels and aerogels synthesized with ionic liquids. J. Non Cryst. Solids 2007, 353, 2900–2909. [Google Scholar] [CrossRef]
- Donato, K.Z.; Donato, R.K.; Lavorgna, M.; Ambrosio, L.; Matejka, L.; Mauler, R.S.; Schrekker, H.S. Ionic liquids as dynamic templating agents for sol–gel silica systems: Synergistic anion and cation effect on the silica structured growth. J. Sol Gel Sci Technol. 2015, 76, 414–427. [Google Scholar] [CrossRef]
- Rahman, I.A.; Padavettan, V. Synthesis of silica nanoparticles by sol–gel: Size-dependent properties, surfacemodification, and applications in silica-polymer nanocomposites—A review. J. Nanomater. 2012, 8, 1–15. [Google Scholar] [CrossRef]
- Zhang, J.; Ma, Y.; Shi, F.; Liu, L.; Deng, Y. Room temperature ionic liquids as templates in the synthesis of mesoporous silica via a sol–gel method. Microporous Mesoporous Mater. 2009, 119, 97–103. [Google Scholar] [CrossRef]
- Romanovsky, B.V.; Tarkhanova, I.G. Supported ionic liquids in catalysis. Rus. Chem. Rev. 2017, 86, 444–458. [Google Scholar] [CrossRef]
- Vioux, A.; Viau, L.; Volland, S.; Bideau, J.L. Use of ionic liquids in sol–gel; ionogels and applications. C. R. Chimie 2010, 13, 242–255. [Google Scholar] [CrossRef]
- Mitra, S.; Cerclier, C.; Berrod, Q.; Ferdeghini, F.; de Oliveira-Silva, R.; Judeinstein, P.; Bideau, J.; Zanotti, J. Ionic liquids confined in silica ionogels: Structural, thermal, and dynamical behaviors. Entropy 2017, 19, 140. [Google Scholar] [CrossRef]
- Vidinha, P.; Barreiros, S.; Cabral, J.M.S.; Nunes, T.G.; Fidalgo, A.; Ilharco, L.M. Enhanced biocatalytic activity of ORMOSIL-encapsulated cutinase: The matrix structural perspective. J. Phys. Chem. C 2008, 112, 2008–2015. [Google Scholar] [CrossRef]
- Karimi, B.; Enders, D. New N-heterocyclic carbene palladium complex/ionic liquid matrix immobilized on silica: Application as recoverable catalyst for the heck reaction. Org. Lett. 2006, 8, 1237–1240. [Google Scholar] [CrossRef] [PubMed]
- Lesniewski, A.; Niedziolka, J.; Palys, B.; Rizzi, C.; Gaillon, L.; Opallo, M. Electrode modified with ionic liquid covalently bonded to silicate matrix for accumulation of electroactive anions. Electrochem. Commun. 2007, 9, 2580–2584. [Google Scholar] [CrossRef]
- Amini, R.; Rouhollahi, A.; Adibi, M.; Mehdinia, A. A novel reusable ionic liquid chemically bonded fused-silica fiber for headspace solid-phase microextraction/gas chromatography-flame ionization detection of methyl tert-butyl ether in a gasoline sample. J. Chromatogr. A 2011, 1218, 130–136. [Google Scholar] [CrossRef] [PubMed]
- Dreisbach, F.; Lösch, H.W. Highest pressure adsorption equilibria data: Measurement with magnetic suspension balance and analysis with a new adsorbent/adsorbate-volume. Adsorption 2002, 8, 95–109. [Google Scholar] [CrossRef]
- Belmabkhout, Y.; Serna-Guerrero, R.; Sayari, A. Adsorption of CO2 from dry gases on MCM-41 silica at ambient temperature and high pressure. 1: Pure CO2 adsorption. Chem. Eng. Sci. 2009, 64, 3721–3728. [Google Scholar] [CrossRef]
- Paschoal, V.H.; Faria, L.F.O.; Ribeiro, M.C.C. Vibrational Spectroscopy of Ionic Liquids. Chem. Rev. 2017, 117, 7053–7112. [Google Scholar] [CrossRef] [PubMed]
- Galgano, P.D.; El Seoud, O.A. Surface active ionic liquids: Study of the micellar properties of 1-(1-alkyl)-3-methylimidazolium chlorides and comparison with structurally related surfactants. J. Coll. Interface Sci. 2011, 361, 186–194. [Google Scholar] [CrossRef] [PubMed]
- Jadhav, P.D.; Chatti, R.V.; Biniwale, R.B.; Labhsetwar, N.K.; Devotta, S.; Rayalu, S.S. Monoethanol amine modified zeolite 13X for CO2 adsorption at different temperatures. Energ. Fuels 2007, 21, 3555–3559. [Google Scholar] [CrossRef]
- Xu, X.; Zhao, X.; Sun, L.; Liu, X. Adsorption separation of carbon dioxide, methane and nitrogen on monoethanol amine modified β-zeolite. J. Nat. Gas Chem. 2009, 18, 167–172. [Google Scholar] [CrossRef]




| XEROGEL | SILCLX10 | SILCLX40 | SILTF2NX10 | SILTF2NX40 | |||||||||||
|---|---|---|---|---|---|---|---|---|---|---|---|---|---|---|---|
| Form | δ (ppm) | intgr | % | δ (ppm) | intgr | % | δ (ppm) | intgr | % | δ (ppm) | intgr | % | δ (ppm) | intgr | % |
| Q2 | / | / | / | / | / | / | / | / | / | / | / | / | / | / | / |
| Q3 | / | / | / | −101.14 | 0.02 | 1.74 | −102.28 | 0.02 | 1.47 | / | / | / | / | / | / |
| Q4 | −117.31 | 0.49 | 11.86 | −110.21 | 0.13 | 11.30 | −111.47 | 0.10 | 7.35 | −110.41 | 0.13 | 10.48 | −110.56 | 1.00 | 14.25 |
| T2 | −72.38 | 2.64 | 63.92 | −66.06 | 1.00 | 86.96 | −66.68 | 1.00 | 73.53 | −66.03 | 1.00 | 80.56 | −65.65 | 5.09 | 72.51 |
| T3 | −63.58 | 1.00 | 24.21 | / | / | / | −58.10 | 0.24 | 17.65 | −56.10 | 0.11 | 8.87 | −56.49 | 0.93 | 13.25 |
| Samples | SBET (m2/g) | Vp (cm3/g) | Pore Size (nm) a | Diameter (nm) b | ρs (g/cm3) c |
|---|---|---|---|---|---|
| XEROGEL | 9 | 0.016 | 7.1 | 8.2 | 1.80 |
| SILTF2NX20 | 4 | 0.008 | 7.5 | 10.2 | 3.08 |
| SILTF2NX40 | 1 | 0.002 | 4.9 | 5.6 | --- |
© 2019 by the authors. Licensee MDPI, Basel, Switzerland. This article is an open access article distributed under the terms and conditions of the Creative Commons Attribution (CC BY) license (http://creativecommons.org/licenses/by/4.0/).
Share and Cite
S. Aquino, A.; O. Vieira, M.; Ferreira, A.S.D.; Cabrita, E.J.; Einloft, S.; O. de Souza, M. Hybrid Ionic Liquid–Silica Xerogels Applied in CO2 Capture. Appl. Sci. 2019, 9, 2614. https://doi.org/10.3390/app9132614
S. Aquino A, O. Vieira M, Ferreira ASD, Cabrita EJ, Einloft S, O. de Souza M. Hybrid Ionic Liquid–Silica Xerogels Applied in CO2 Capture. Applied Sciences. 2019; 9(13):2614. https://doi.org/10.3390/app9132614
Chicago/Turabian StyleS. Aquino, Aline, Michele O. Vieira, Ana Sofia D. Ferreira, Eurico J. Cabrita, Sandra Einloft, and Michèle O. de Souza. 2019. "Hybrid Ionic Liquid–Silica Xerogels Applied in CO2 Capture" Applied Sciences 9, no. 13: 2614. https://doi.org/10.3390/app9132614
APA StyleS. Aquino, A., O. Vieira, M., Ferreira, A. S. D., Cabrita, E. J., Einloft, S., & O. de Souza, M. (2019). Hybrid Ionic Liquid–Silica Xerogels Applied in CO2 Capture. Applied Sciences, 9(13), 2614. https://doi.org/10.3390/app9132614

