Analysis for the Vibration Mechanism of the Spillway Guide Wall Considering the Associated-Forced Coupled Vibration
Abstract
:Featured Application
Abstract
1. Introduction
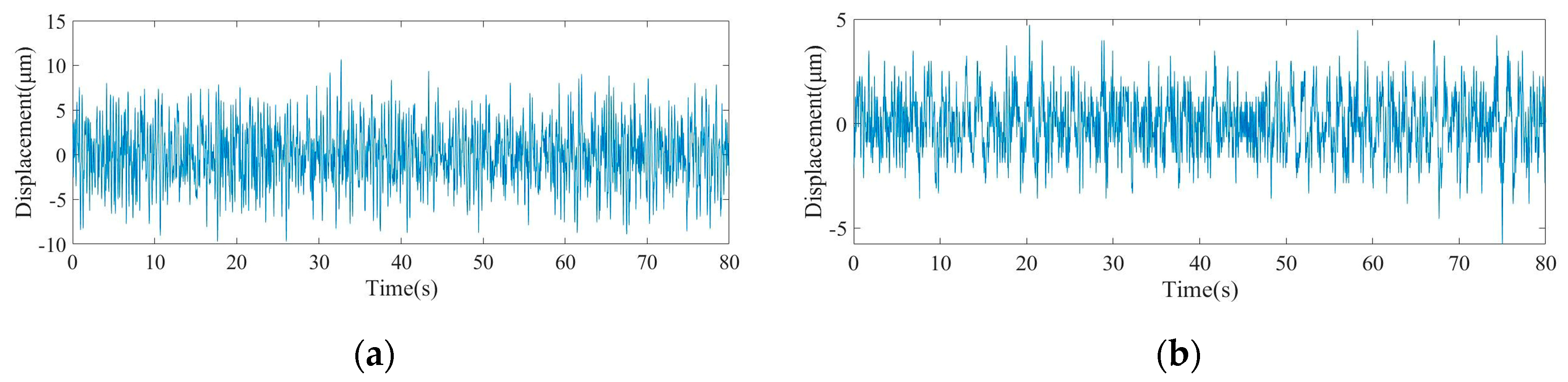
2. Prototype Tests for the Spillway Guide Wall Vibration
3. Theoretical Analyses
3.1. The Guide Wall Vibration under FSI
3.2. Theoretical Model
3.3. Parameter Sensitivity Analyses
4. Verifications
4.1. Vibration Correlation Analyses by XWT Method
4.2. Numerical Simulation
4.3. Vibration Mechanism Analyses for the TGHS Left Guide Wall
5. Conclusions
Author Contributions
Funding
Conflicts of Interest
Appendix A
| Time | Upstream Water Level (m) | Downstream Water Level (m) | Discharge (m3) | Opening Outlets |
|---|---|---|---|---|
| 15:00 | 144.85 | 68.05 | 26,000 | 1#, 3#, 5#, 9#, 13#, 15# |
| 16:00 | 144.87 | 68.12 | ||
| 17:00 | 144.86 | 68.12 | ||
| 18:00 | 144.86 | 68.14 | ||
| 19:00 | 144.86 | 68.15 |



References
- Naudascher, E.; Rockwell, D. Flow-Induced Vibrations: An Engineering Guide; Balkema: Rotterdam, The Netherlands, 1994. [Google Scholar]
- Blevins, R.D. Flow-Induced Vibration; Van Nostrand Reinhold: New York, NY, USA, 1977. [Google Scholar]
- Weaver, D.S. On flow induced vibrations in hydraulic structures and their alleviation. Can. J. Civ. Eng. 1975, 3, 126–137. [Google Scholar] [CrossRef]
- Liang, C. Research on Vibration Mechanism and Reduction Methods for Structures and Surronding Ground under Excitations Generated by High Dam Flood Disc. Ph.D. Thesis, Tianjin University, Tianjin, China, 2017. (In Chinese). [Google Scholar]
- Lian, J.J.; Yang, M. Hydrodynamics for High Dam; China Water & Power Press: Beijing, China, 2008. (In Chinese) [Google Scholar]
- Conca, C.; Osses, A.; Planchard, J. Added mass and damping in fluid-structure interaction. Comput. Methods Appl. Mech. Eng. 1997, 146, 387–405. [Google Scholar] [CrossRef]
- Kolkman, P.A.; Vrijer, A. Gate edge suction as a cause of self-exciting vertical vibrations. In Proceedings of the 17th Congress of the International Association for Hydraulic Research, Baden-Baden, Germany, 15–19 August 1977. [Google Scholar]
- Thang, N.D.; Naudascher, E. Vortex-excited vibrations of underflow gates. J. Hydraul. Res. 1986, 24, 133–151. [Google Scholar] [CrossRef]
- Thang, N.D.; Naudascher, E. Self-excited vibrations of vertical-lift gates. J. Hydraul. Res. 1986, 24, 391–404. [Google Scholar] [CrossRef]
- Lian, J.J.; Li, Y.P. Research on mechanism of large amplitude self-excited vibration of hydro-automatic flap gate. Shuili Xuebao 1994, 11, 56–64. (In Chinese) [Google Scholar] [CrossRef]
- Yuan, X.M.; Cui, G.T.; Zhang, Y.F. Application of artificial neural network approach to implement recognition and predict flow induced vibration system. Shuili Xuebao 1999, 3, 13–20. (In Chinese) [Google Scholar] [CrossRef]
- Liang, C.; Lian, J.J.; Ma, B.; Liu, F.; Liu, Z. Analysis for the cause and mechanism of the hydraulic gate vibration during flood discharging from the perspective of structural dynamics. Shock Vib. under review.
- Lian, J.J.; Cui, G.T.; Huang, J.L. Study on flow induced vibration of spillway guide wall. Shuili Xuebao 1998, 11, 33–37. (In Chinese) [Google Scholar] [CrossRef]
- Dehdar-behbahani, S.; Parsaie, A. Numerical modeling of flow pattern in dam spillway’s guide wall. Case study: Balaroud dam, Iran. Alexandria Eng. J. 2016, 55, 467–473. [Google Scholar] [CrossRef]
- Wang, J.; Chen, H. Improved design of guide wall of bank spillway at Yutang Hydropower Station. Water Sci. Eng. 2010, 3, 67–74. [Google Scholar] [CrossRef]
- Zhu, B.; Wu, J.F.; Peng, D. Flow-induced vibration analysis for dividing-wall in bottom outlets section of Wan’an project. J. Yangtze River Sci. Res. Inst. 1994, 11, 30–37. (In Chinese) [Google Scholar]
- Li, H.K.; Lian, J.J.; Liu, Y.Z. Prototype observation of flood discharge-induced vibration and its dynamic identification and safety evaluation of Three Gorges left guide wall. Hydro-Sci. Eng. 2010, 3, 59–64. (In Chinese) [Google Scholar] [CrossRef]
- Chen, L.L.; Qian, S.G. FEM analysis on flow-induced vibration of TGP left training wall. Yangtze River 2000, 31, 7–9. (In Chinese) [Google Scholar] [CrossRef]
- He, L.J.; Lian, J.J.; Ma, B. Intelligent damage identification method for large structures based on strain modal parameters. J. Vib. Control 2013, 20, 1783–1795. [Google Scholar] [CrossRef]
- Ouyang, Q.P.; He, L.; Lian, J.J.; Chen, Y.Y.; Ma, B. Damage identification method for guide wall structures based on a hybrid algorithm of clonal selection and particle swarm optimization. J. Vib. Shock 2014, 33, 120–126. (In Chinese) [Google Scholar] [CrossRef]
- Humar, J. Dynamics of Structures, 3rd ed.; CRC Press: Boca Raton, FL, USA, 2012. [Google Scholar]
- Du, Q.; Yang, S. Application of the EMD method in the vibration analysis of ball bearings. Mech. Syst. Sig. Process. 2007, 21, 2634–2644. [Google Scholar] [CrossRef]
- Jordan, D.A.; Hajj, M.R.; Tieleman, H.W. Wavelet analysis of the relation between atmospheric wind and pressure fluctuations on a low-rise building. J. Wind Eng. Ind. Aerodyn. 1997, 69–71, 647–655. [Google Scholar] [CrossRef]
- Adamowski, J.F. River flow forecasting using wavelet and cross-wavelet transform models. Hydrol. Process. 2008, 22, 4877–4891. [Google Scholar] [CrossRef]
- De Michele, G.; Sello, S.; Carboncini, M.C.; Rossi, B.; Strambi, S.K. Cross-correlation time-frequency analysis for multiple EMG signals in Parkinson’s disease: A wavelet approach. Med. Eng. Phys. 2003, 25, 361–369. [Google Scholar] [CrossRef]
- Lian, J.J.; Zhang, Y.; Liu, F.; Zhao, Q. Analysis of the ground vibration induced by high dam flood discharge using the cross wavelet transform method. J. Renew. Sustain. Energy 2015, 7, 043146. [Google Scholar] [CrossRef]
- Li, C.X.; Zhang, J. Nonlinear coupled dynamics analysis of a truss spar platform. China Ocean Eng. 2016, 30, 835–850. [Google Scholar] [CrossRef]
- Li, C.; Liu, Y. On the weakly nonlinear seakeeping solution near the critical frequency. J. Fluid Mech. 2018, 846, 999–1022. [Google Scholar] [CrossRef]
- Sigrist, J.F. Fluid-Structure Interaction: An Introduction to Finite Element Coupling; Wiley: New York, NY, USA, 2015. [Google Scholar]
- Zhang, E.M.; Dai, S.S. Fluid-Structure Interaction Dynamics; National Defense Industry Press: Beijing, China, 2011. (In Chinese) [Google Scholar]
- Kuo, J.S.H. Fluid-Structure Interactions: Added Mass Computations for Incompressible Fluid; University of California: Berkley, CA, USA, 1982. [Google Scholar]
- Cui, G.T.; Ma, B. Comprehensive compound method for flow-induced vibration of hydraulic structures. Adv. Sci. Technol. Water Resour. 2010, 30, 1–10. (In Chinese) [Google Scholar]
- Thompson, A.G. Optimum tuning and damping of a dynamic vibration absorber applied to a force excited and damped primary system. J. Sound Vib. 1981, 77, 403–415. [Google Scholar] [CrossRef]
- Chopra, A.K. Dynamics of Structures: Theory And Applications to Earthquake Engineering, 2nd ed.; Prentice Hall: Bergen, NJ, USA, 2001. [Google Scholar]
- Clough, R.W. Dynamics of Structures, 2nd ed.; McGraw-Hill Inc.: New York, NY, USA, 1993. [Google Scholar]
- Liu, G.H.; Lian, J.J.; Liang, C. Completeness verification of complex response spectrum method for underdamped and overdamped multiple-support systems regarding the decoupled damping as mathematical parameter without physical meaning. J. Earthq. Eng. 2016, 20, 1104–1125. [Google Scholar] [CrossRef]
- National Energy Administration of the People’s Republic of China. Code for Seismic Design of Hydraulic Structures of Hydropower Project (NB 35047-2015); China Electric Power Press: Beijing, China, 2015. (In Chinese)
- Zhang, S.M.; Chen, J. Studies on characteristics of hydrodynamic pressure acting on guide wall. J. Yangtze River Sci. Res. Inst. 1996, 13, 14–20. (In Chinese) [Google Scholar]
- Lian, J.J.; Cui, G.T.; Lin, J.Y. Analysis on flow-induced vibration of over flow high arch dam and its verification. Shuili Xuebao 1999, 12, 23–32. (In Chinese) [Google Scholar] [CrossRef]
- Zhou, H.; Wang, D.; Li, H.; Li, Q.; Zhang, G. Modified RCC technique for construction of left guide wall at Three Gorges Project. China Three Gorges Constr. 2002, 1, 17–18. (In Chinese) [Google Scholar]
- Torrence, C.; Compo, G.P. A practical guide to wavelet analysis. Bull. Am. Meteorol. Soc. 1998, 79, 61–78. [Google Scholar] [CrossRef]
- Lian, J.J.; Li, H.K.; Zhang, J.W. ERA modal identification method for hydraulic structures based on order determination and noise reduction of singular entropy. Sci. China Ser. E: Technol. Sci. 2008, 52, 400–412. [Google Scholar] [CrossRef]






















| Structures | Dominant Frequencies (Hz) |
|---|---|
| 1# dam block | 0.83, 2.44, 3.34, 6.04, 7.11, 16.27 |
| Guide wall blocks | 0.56–0.7, 5.58–5.81, 7.14–7.22, 14.4, 16.26 |
| Order | Dry Mode (Hz) | Wet Mode (Hz) | Order | Dry Mode (Hz) | Wet Mode (Hz) |
|---|---|---|---|---|---|
| 1 | 2.70 | 1.88 | 23 | 8.76 | 6.03 |
| 2 | 2.98 | 2.21 | 25 | 9.10 | 6.27 |
| 5 | 3.95 | 3.24 | 30 | 9.60 | 6.67 |
| 9 | 6.32 | 4.20 | 35 | 9.79 | 6.99 |
| 10 | 6.40 | 4.39 | 37 | 9.83 | 7.18 |
| Order | AV System | Independent FV System | AFCV System | |||
|---|---|---|---|---|---|---|
| Dry Mode (Hz) | Wet Mode (Hz) | Dry Mode (Hz) | Wet Mode (Hz) | Dry Mode (Hz) | Wet Mode (Hz) | |
| 3 | 1.24 | 1.06 | 4.57 | 2.00 | 5.60 | 2.00 |
| 5 | 2.65 | 1.78 | 7.19 | 2.80 | 7.59 | 2.81 |
| 7 | 3.56 | 2.02 | 8.62 | 3.11 | 9.55 | 3.31 |
| 8 | 4.08 | 3.63 | 9.53 | 3.56 | 10.59 | 3.90 |
| 9 | 6.09 | 3.67 | 9.79 | 4.13 | 11.25 | 4.35 |
| 10 | 6.38 | 4.15 | 10.51 | 4.35 | 11.40 | 4.88 |
| 11 | 6.72 | 4.30 | 10.71 | 4.85 | 11.51 | 5.01 |
| 17 | 10.65 | 5.74 | 12.35 | 5.84 | 13.14 | 6.01 |
| 18 | 11.18 | 5.86 | 12.68 | 6.00 | 13.22 | 6.21 |
| 20 | 11.53 | 6.13 | 12.94 | 6.22 | 13.64 | 6.69 |
© 2019 by the authors. Licensee MDPI, Basel, Switzerland. This article is an open access article distributed under the terms and conditions of the Creative Commons Attribution (CC BY) license (http://creativecommons.org/licenses/by/4.0/).
Share and Cite
Lian, J.; Zheng, Y.; Liang, C.; Ma, B. Analysis for the Vibration Mechanism of the Spillway Guide Wall Considering the Associated-Forced Coupled Vibration. Appl. Sci. 2019, 9, 2572. https://doi.org/10.3390/app9122572
Lian J, Zheng Y, Liang C, Ma B. Analysis for the Vibration Mechanism of the Spillway Guide Wall Considering the Associated-Forced Coupled Vibration. Applied Sciences. 2019; 9(12):2572. https://doi.org/10.3390/app9122572
Chicago/Turabian StyleLian, Jijian, Yan Zheng, Chao Liang, and Bin Ma. 2019. "Analysis for the Vibration Mechanism of the Spillway Guide Wall Considering the Associated-Forced Coupled Vibration" Applied Sciences 9, no. 12: 2572. https://doi.org/10.3390/app9122572
APA StyleLian, J., Zheng, Y., Liang, C., & Ma, B. (2019). Analysis for the Vibration Mechanism of the Spillway Guide Wall Considering the Associated-Forced Coupled Vibration. Applied Sciences, 9(12), 2572. https://doi.org/10.3390/app9122572

