Next Article in Journal
Numerical Calculation of Oil Dispersion through the Air Flow Applied to the Inner Surface of Slim Tubes
Previous Article in Journal
Transferring of Continuous Variable Squeezed States in 20 km Fiber
 
 
Font Type:
Arial Georgia Verdana
Font Size:
Aa Aa Aa
Line Spacing:
Column Width:
Background:
Article

Systematization of the Simulation Process of Transformer Inrush Current Using EMTP

1
School of Electronic & Electrical Engineering, Yonam Institute of Technology, Jinju-si 52821, Gyeongsangnam-do, Korea
2
Department of Smart Electrical & Electronic Engineering, Yonam Institute of Technology, Jinju-si 52821, Gyeongsangnam-do, Korea
*
Author to whom correspondence should be addressed.
Appl. Sci. 2019, 9(12), 2398; https://doi.org/10.3390/app9122398
Submission received: 2 May 2019 / Revised: 5 June 2019 / Accepted: 6 June 2019 / Published: 12 June 2019
(This article belongs to the Section Energy Science and Technology)

Abstract

:
An inrush current is generated when a transformer is energized. This current has a large magnitude and rich harmonics, thereby causing mal-operation of the protection relay. Therefore, the development of countermeasures against inrush current is necessary, and this study has been performed by computer simulations. However, it is difficult for a power system operator to perform a computer simulation as it is difficult to determine what data should be selected and entered. Therefore, this paper establishes the simulation process of transformer inrush current using the Electromagnetic Transients Program (EMTP). Two methods to simulate the transformer inrush current are described in detail. Based on the actual 154 kV transformer test report in Korea, the simulation results of the inrush current using the two methods are discussed.

1. Introduction

Transformers are essential components of power systems. However, energization of the transformer is necessary for the operation of power systems. When the transformer is energized, an inrush current of large magnitude and rich harmonics is generated. This current adversely affects the power system causing a reduction in the lifetime of the transformer, damage, and mal-operation of the protective relay. Therefore, several studies have been carried out on the inrush current of a transformer to counteract these adverse effects. References [1,2,3,4,5] studied the discrimination strategies between transformer faults and inrush current. References [6,7,8,9,10,11,12,13] studied the reduction techniques of inrush current. Moreover, [6,7,8,9] studied the controlled energization of transformers, while [10,11] studied the utilization of uninterrupted power supply and photovoltaic systems. In addition, [12,13,14,15,16,17] studied the power quality and protection of power systems by inrush current. The studies above were performed using a power system simulation program. [1,3,4,9] used Power Systems Computer Aided Design Electromagnetic Transients including DC (PSCAD/EMTDC). References [2,5] used MATLAB. References [6,7,10,14,15] used Electromagnetic Transients Program (EMTP). Reference [16] used Electromagnetic Transients Program—Restructured Version (EMTP-RV). Reference [17] used DigSILENT software, and [11] performed laboratory experiments. References [8,12,13] did not provide any simulation software information. References [1,2,3,4,5,6,7,8,9,10,11,12,13,14,15,16,17] did not provide detailed information for the simulation of the transformer inrush current.
For a transient simulation program, it is necessary to derive the data based on the current–flux curve necessary for simulating the transformer inrush current. In addition, data such as impedance ratio, impedance voltage, no-load losses, and winding resistance in transformer test reports are required. However, it is often difficult to determine what data should be used and how they should be processed when the power system operator performs transformer inrush current simulations. Therefore, this paper provides detailed information on the simulation of transformer inrush current to power system operators. The novel contribution of this paper is as follows:
(1)
The simulation process of transformer inrush current using EMTP has been systematized.
(2)
The necessary data for the simulation are derived from the test report.
(3)
The method for simulating transformer inrush current using these data is described in detail.
(4)
Based on the method proposed in this paper, the power system operator can easily perform the inrush current simulation.
Therefore, this paper establishes the simulation process of transformer inrush current using EMTP, which simulates transient electromagnetic phenomena and is one of the most widely used electric utilities programs. Alternative Transients Program Draw (ATPDraw) is a graphical, mouse-driven pre-processor to the ATP version of EMTP [18,19,20]. Based on the established simulation process, the simulation example of transformer inrush current is presented using 154 kV transformer test data in Korea.
The remainder of this paper is organized as follows: Section 2 discusses the inrush current. In Section 3, two methods of the simulation process of transformer inrush current using EMTP are introduced. Section 4 discusses the simulation results using 154 kV transformer test data in Korea. Finally, the conclusions derived from the study are presented in Section 5.

2. Transformer Inrush Current

At the initial energization of the transformer, there is an injection of current to create the magnetic field of the transformer, which is called magnetizing inrush current. When the transformer is initially energized, the magnetic flux and winding current become repeatedly larger and smaller. This current can be several times larger than the rated current of the transformer, which can lead to mal-operation of the protective relay. Its duration varies from a few cycles to several seconds [1,2,3,4].
The magnitude of the inrush current is based on the closing point on the voltage waveform and residual flux. The greater the residual magnetic flux, the higher the possibility that the magnetic flux exceeds the saturation magnetic flux, such that the possibility of inrush current generation increases. When the transformer is energized, at the instant when the voltage becomes zero, the magnetic flux becomes larger than the saturation flux and a large inrush current is generated. However, when the transformer is energized, at the instant when the voltage becomes peak value (90 degree) on the waveform, the possibility that the magnetic flux becomes smaller than the saturation flux is low. Hence, the possibility of inrush current generation is also low. However, if the residual magnetic flux is large, the inrush current may exceed the saturation flux.

3. Simulation Process of Transformer Inrush Current Using EMTP

There are two methods for simulating the nonlinear characteristics of the transformer as shown in Figure 1. The methods are different for Step 1 and 2, and the same for Step 3.

3.1. Method 1

3.1.1. Step 1: Estimation of Current–Flux

To simulate the inrush current, hysteresis (current–flux) curves are required to express the nonlinear characteristics of the transformer. These curves can be obtained using voltage and excitation current. Meanwhile, the auxiliary routine SATURA program provided by EMTP is used to convert the root mean square (RMS) (V–i) curve in the test report into the current–flux curve required for transient simulation [21]. However, the auxiliary routine SATURA is not supported by EMTP/ATPDraw. Therefore, the value must be entered in a text format and run in DOS mode after inputting all the SATURA values. The user can see the result by opening the punch file after execution. The current–flux data generated by the SATURA is symmetrical in the first and third quadrants. Therefore, the SATURA method has a disadvantage in that it cannot model the residual magnetic flux. The result of this method can be entered into the current–flux data of the Type 98 device or the current–flux data in the saturation transformer model of EMTP.

3.1.2. Step 2: Input of Current–Flux Values

(1) Input of current–flux values using Type 98 device
Type 98 device in the Branch/Nonlinear library of EMTP can be used to enter the current–flux value. The results obtained by running SATURA in Step 1 are inputted in this device. The current value in steady state is inputted in the CURR section of the Type 98 device, while the flux value in steady state is inputted in FLUX section. However, for this value, the first value among the current–flux values extracted in Step 1 is inputted. Meanwhile, the current–flux values are inputted in the Characteristic tab. The current–magnetic flux curve is then generated by clicking the View button at the bottom of the screen.
Meanwhile, this Type 98 device corresponds only to the magnetizing current in the actual transformer equivalent circuit. The leakage resistance and leakage reactance in the primary side can be represented by introducing resistor and inductor model in the Branch/Linear library of EMTP. In addition, the transformer in the equivalent circuit can be represented by the transformer model. It should be noted that a single Type 98 device supports only a single-phase transformer model. Moreover, a three-phase transformer model can be developed using three Type 98 devices. The method will be described in detail in Step 3.
(2) Input of current–flux values in the transformer model
The next step is to input the current–flux value in the transformer model. The saturable three-phase transformer model in the Transformers library is selected among the models provided by EMTP. On the Attributes dialog box that appears, the primary and secondary voltages, leakage resistance, and leakage reactance can be inputted. Meanwhile, the Characteristic tab allows the users to input current–flux values.

3.1.3. Step 3: Power System Modeling

(1) Using a Type 98 device
Since Type 98 devices do not support three-phase modeling, three Type 98 devices should be used. Figure 2 shows an example of the entire modeling. The primary-side leakage resistance and leakage reactance should be located on the left side of the Type 98 device, represented by R–L elements in the red portion of Figure 2. The transformer model should select either a saturable single-phase model or a saturable three-phase model in the Transformers library. When selecting a saturable single-phase model, the transformer winding must be connected directly as the △ or y winding. Figure 2 shows an example of y–y winding.
Meanwhile, BCTRAN model in Transformers library of EMTP can also be used to input the transformer internal parameters. It converts the transformer into mutually coupled [R]–[L]−1 elements [21]. However, nonlinear devices such as Type 98 or Type 96 must be connected externally as the saturation characteristics are not included. In the Input section, the number of phases and of windings, iron core type, and frequency are inputted; while the rated voltage and capacity in the primary, secondary, and tertiary windings are inputted in the Rating section. In the Connection section, winding method is selected. Herein, ‘A’ is selected for the case of an autotransformer, while ‘Y’ and ‘D’ are selected for y and delta connections, respectively. In the Factory Test section, open circuit test and short circuit test data are inputted. For the open test, the voltage (%), excitation current (%), and iron loss (kW) are inputted; while the test results of % impedance, capacity (MVA), and load loss (kW) are inputted for short circuit tests.
(2) Input of the current–flux value inside the transformer model
When inputting the current–flux value inside the transformer model described in Step 2 (2), the saturable three-phase model in the Transformers library should be selected. However, the primary leakage resistance and the leakage reactance must be inputted into the transformer model since no separate current–flux input device exists in the library.

3.1.4. Discussion

For Method 1, the current–flux value is derived using the SATURA auxiliary routine in Step 1. The users can then simulate the inrush current by inputting the current–flux values in a Type 98 device or transformer model and modeling the entire system. If the voltage–current values are inputted directly in the transformer model, the process of deriving and inputting the current–magnetic flux value obtained by the SATURA auxiliary routine in Step 1 and 2 can be omitted. However, it has a disadvantage that the users cannot determine the actual current–flux value. In addition, it does consider the residual magnetic flux that greatly affects the inrush current of the transformer.

3.2. Method 2

3.2.1. Step 1: Estimation of Current–Flux

The HYSDAT auxiliary routine provided by EMTP can be used to estimate the current–flux values of the hysteresis curve and the characteristics of the residual magnetic flux [21]. When inputting the values in HYSDAT, the current–flux of the saturation point should be inputted. As this method does not exist in EMTP/ATPDraw, it must be configured in a text format. After simulation, the current–flux values are included in the punch file.
This method has an advantage in that the modeling of the hysteresis curve and the residual magnetic flux can be performed. However, users need to first estimate the current–flux at the saturation point, which can be done using SATURA discussed in Method 1. The saturation point can be roughly estimated from the simulation results using SATURA. Alternatively, the saturation point can be estimated from the open test results. The saturation point estimated should then be inputted in HYSDAT, and the results should be inputted as the current–flux values in the Type 96 device in Step 2.

3.2.2. Step 2: Input of Current–Flux Values

The current–flux values derived using the HYSDAT auxiliary routine must be inputted using Type 96 device located in the Branch/Nonlinear library. The current value in steady state is inputted in the CURR section in the Attributes screen of Type 96, while the flux value in steady state is inputted in the FLUX section. For this value, the first value in the first quadrant of the extracted current–flux values can be inputted. Residual flux can be inputted in RESID. In the Characteristic tab of the Type 96 device, current–flux values are inputted and the current–flux curve is generated by clicking the View button at the bottom of the screen.

3.2.3. Step 3: Power System Modeling

When using a Type 96 device, the method for the entire system configuration is the same as shown in Figure 2 except that the Type 98 device is replaced with the Type 96 device. The primary-side leakage resistance and the leakage reactance are located on the left side of the Type 96 device, while a transformer model exists on the right side of the Type 96 device.
The transformer model can be selected from among saturable single-phase, saturable three-phase, and BCTRAN models. For a double winding transformer, saturable single-phase and three-phase models are suitable. Meanwhile, saturable three-phase and BCTRAN models can be used for a three-winding transformer. However, since the equivalent circuit of a three-winding transformer is derived based on the star connection, the leakage inductance may become negative based on the transformer test result, thereby resulting in numerical instability. In this case, the BCTRAN model can be used.

3.2.4. Discussion

For Method 2, the SATURA auxiliary routine may be used to obtain the saturation point using the Type 96 device. The current–flux values should be derived through the HYSDAT auxiliary routine using only the saturation point, and the derived values should be inputted in the Type 96 device. Finally, the inrush current simulation can be performed by modeling the entire system. In this method, the process is more complicated than in the previous method. However, the advantage is that the residual flux value, which has a large effect on the transformer inrush current, can be considered.

4. Simulation of Transformer Inrush Current Using 154 kV Transformer Test Report

4.1. Transformer Test Report

In this section, an example of transformer inrush current simulation based on Methods 1 and 2 will be described. Table 1 shows the test list in the transformer test report.
The necessary data from the transformer report should be extracted as follows:
(1)
Turns ratio measurement, polarity test, and angle displacement test
(2)
Impedance voltage and full-load loss test
(3)
No-load loss and excitation current test
(4)
Winding resistance measurement.

4.2. Calculation of Leakage Impedance Using the Results in Test Report

To select the appropriate transformer model, the leakage impedance of the transformer must be calculated. Since this transformer is a three-winding transformer, the leakage impedance can be calculated using Equations (1)–(3).
Z 1 = 1 2 Z 12 + Z 13 Z 23 ,
Z 2 = 1 2 Z 12 + Z 23 Z 13 ,
Z 3 = 1 2 Z 13 + Z 23 Z 12 ,
where
Z 1 :
Leakage impedance of primary side;
Z 2 :
Leakage impedance of secondary side;
Z 3 :
Leakage impedance of tertiary side;
Z 12 :
Per-unit leakage impedance measured from winding 1, with wind 2 shorted and winding 3 open;
Z 13 :
Per-unit leakage impedance measured from winding 1, with wind 3 shorted and winding 2 open; and
Z 23 :
Per-unit leakage impedance measured from winding 2, with wind 3 shorted and winding 1 open.
Based on the calculation method, the value is obtained using Excel as shown in Figure 3. If the values in the red boxes are inputted, the base impedance, equivalent per-unit (pu) impedance, and actual value are calculated. Finally, the values required for the EMTP model are the actual values shown in the green box. The unit is calculated in ohms.
In Figure 3, the equivalent pu impedance of the tertiary side has a negative value; and, hence, the actual value is calculated as the negative value. This means that the equivalent impedance calculated using the measured results has a negative value. However, the actual leakage impedance value is positive. Since the user cannot input negative impedance in the saturable transformer model in EMTP, the BCTRAN model should be used.

4.3. Method 1

4.3.1. Step 1: Estimation of Current–Flux

The open circuit test results are inputted into the SATURA auxiliary routine as shown in Figure 4. The execution result is presented in Figure 5.

4.3.2. Step 2: Input of Current–Flux Values

Figure 6 shows the input screen of a Type 98 device using the result shown in Figure 5. In this case, only BCTRAN model should be used based on the discussions in Section 4.2. Therefore, the current–flux value cannot be inputted directly into the saturable transformer model.

4.3.3. Step 3: Power System Modeling

If the negative leakage impedance on the tertiary side calculated in Figure 3 is inputted into saturable three-phase model, the execution is stopped due to numerical instability. Therefore, it is not appropriate to enter the transformer leakage resistance and leakage reactance using the saturable three-phase model. The test data in transformer test report should be inputted using the BCTRAN model.
The system modeling using BCTRAN model is shown in Figure 7, where the red part is the BCTRAN transformer model. Since the excitation characteristics are not represented in this model, the corresponding part is added using the Type 98 device as shown in the green part.
Moreover, the data input screen of BCTRAN is shown in Figure 8. The results of the open circuit test and the short circuit test are inputted. The winding on which the open circuit test had been performed can be set at “Performed at” and “Connect at” in BCTRAN model. Therefore, the Type 98 device should be connected in the same manner as set here. Since the transformer test data used in this paper was performed on the secondary side, the LV winding is selected and the Type 98 device is connected to the secondary side.

4.3.4. Simulation Results

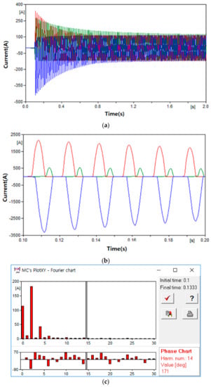
Figure 9 shows the simulation result of the inrush current. Figure 9a shows the current flowing in the primary side of the transformer. After energizing the transformer at 0.1 s, a DC offset waveform is generated. As the time passes, the current magnitude decays and becomes closer to the rated current. Figure 9b shows the magnetizing current. The typical inrush current waveform larger than the rated current with DC offset and harmonics is observed. Figure 9c shows the frequency analysis of the current flowing in the primary side of the transformer. It shows a typical form of inrush current with second harmonics.
Figure 9 shows the typical characteristics of inrush current with DC offsets having a magnitude larger than the rated current and a rich second harmonic. Therefore, the simulation process using Method 1 is appropriate.

4.4. Method 2

4.4.1. Step 1: Estimation of Current–Flux

To input the current–flux values in HYSDAT, the saturation point should be selected. Based on the results in Figure 5, this paper sets the saturation point as (62.6, 54.799). This value is inputted in HYSDAT as shown in Figure 10. The simulation result is presented in Figure 11.

4.4.2. Step 2: Input of Current–Flux values

Figure 12 shows the input screen of the Type 96 device using the simulation results of Figure 11.

4.4.3. Step 3: Power System Modeling

Based on the same reason in Method 1, only the BCTRAN model should be used. The modeling method using BCTRAN is similar to the method shown in Figure 7. However, it is necessary to change the Type 98 device to a Type 96 device.

4.4.4. Simulation Results

The simulation results of inrush current by Method 2 are shown in Figure 13. Figure 13a shows the current flowing in the primary side of the transformer. It has a DC offset after energizing the transformer at 0.1 s. However, this DC offset decreases with time and the rated current eventually flows. Figure 13b shows the magnetization current waveform with DC offset and harmonics. Figure 13c is the frequency analysis result of Figure 13a, which contains a large second harmonic. On the other hand, Figure 9 and Figure 13 show the typical characteristics of inrush current with DC offsets having a larger magnitude and second harmonic than the rated current. Therefore, the simulation process using Method 2 is appropriate.
In Figure 9 and Figure 13, the maximum value of the current flowing in the primary side of the transformer is slightly different. The results in Figure 9 do not consider the residual magnetic flux since the current–flux curve passes through (0, 0). However, the results in Figure 13 consider the residual flux. Therefore, the magnitude of the inrush current is larger because the hysteresis curve that passes through (0, −47) is inputted.
In this paper, the simulations of inrush current are performed for a simple power system. The Methods 1 and 2 presented in this paper can be applied to complex power systems such as an Institute of Electrical and Electronics Engineers (IEEE) test system [22,23,24].

4.5. Discussion

The test result of the inrush current cannot be obtained in the test report. Therefore, the simulation results cannot be compared with field test results. Meanwhile, the absolute value of residual flux can be quite different from one transformer to another. Its true nature has not been experimentally clarified because the flux values in the transformer core cannot be measured directly and field tests cannot be easily conducted [25,26,27]. However, [28,29] conducted the field test of inrush current. In [28], the Subestacao Eunapolis in Brazil was selected to be the site test due to an experienced undesired trip of the transformer of a neutral overcurrent protection during the energizing of one of the three parallel transformers. In [29], Korea Electric Power Corporation conducted the field test of inrush current at 765 kV transmission lines because they did not conduct the long-term field test for the substation equipment. References [28,29] performed field tests in actual transmission lines based on the requirements of the electric power corporation such as undesired operation and deterioration of electric facilities.
Thus, the studies on inrush current have been performed using simulations. In this paper, data from ‘2. Turns ratio measurement, polarity test, and angle displacement test’, ‘3. Impedance voltage and full-load loss test’, ‘4. No-load loss and excitation current test’, and ‘5. Winding resistance measurement’ in Table 1 were used for simulations. Therefore, the actual characteristic of the transformer inrush current was considered in our simulations. In addition, although the simulation results cannot be compared with the field test results, the simulations using actual parameters are well performed based on the analysis of the simulation results presented in Section 4.2 and Section 4.3.

5. Conclusion

Since EMTP provides several transformer models and a large amount of information exists in the transformer test data, it is difficult for the power system operator to simulate the transformer inrush current directly. Therefore, this paper establishes the simulation process of the transformer inrush current using EMTP so that any power system operator can easily perform it. The method presented in this paper consists of three steps: (1) Estimation of current–flux values, (2) input of current–flux values, and (3) power system modeling. In this paper, the methods of inputting current–flux values are explained in detail in each step. An example of transformer inrush current simulation using actual 154 kV transformer test report data is described by applying these methods. Thus, both Method 1 and 2 in this paper can be utilized to simulate the transformer inrush current. However, it is recommended to apply Method 2 if the actual transformer contains a large amount of residual magnetic flux; otherwise, either Method 1 or Method 2 may be applied.
When the mal-operation of the protection relay occurs in actual power systems due to a very large inrush current, the power system operator will attempt to identify this problem and provide solutions. Since the inrush current of the transformer cannot be actually tested, the problem can be solved using computer simulation. If the power system operator has no experience with inrush current simulations and does not understand the well-organized simulation method, it will take a long time to provide a solution. Therefore, the simulation process described in this paper can aid the power system operator in analyzing the problem using inrush current simulation in a short time and developing a solution to achieve stable power system operation.

Author Contributions

H.-C.S. conceived, designed, and performed the experiments. H.-C.S. and G.-H.G. analyzed the data and wrote the paper.

Funding

This work was supported by a 2019 Yonam Institute of Technology grant.

Conflicts of Interest

The authors declare no conflict of interest.

References

  1. Wencong, W.; Tianyao, J.; Mengshi, L.; Qinghua, W. Using mathematical morphology to discriminate between internal fault and inrush current of transformers. IET Gen. Trans. Distrib. 2016, 10, 73–80. [Google Scholar]
  2. Bagheri, S.; Moravej, Z.; Gharehpetian, G.B. Classification and Discrimination Among Winding Mechanical Defects, Internal and External Electrical Faults, and Inrush Current of Transformer. IEEE Trans. Ind. Inform. 2018, 14, 484–493. [Google Scholar] [CrossRef]
  3. Sahebi, A.; Samet, H.; Ghanbari, T. Evaluation of power transformer inrush currents and internal faults discrimination methods in presence of fault current limiter. Renew. Sustain. Energy Rev. 2017, 68, 102–112. [Google Scholar] [CrossRef]
  4. Dashti, H.; Davarpanah, M.; Sanaye-Pasand, M.; Lesani, H. Discriminating transformer large inrush currents from fault currents. Int. J. Electr. Power Energy Syst. 2017, 75, 74–82. [Google Scholar] [CrossRef]
  5. Ibrahim, O.M.S.O.; Zheng, T.; Zheng, X. Power transformer inrush current identification using relative wavelet energy. In Proceedings of the International Conference on Computer, Control, Electrical, and Electronics Engineering, Khartoum, Sudan, 12–14 August 2018. [Google Scholar]
  6. Cui, Y.; Abdulsalam, S.G.; Chen, S.; Xu, W. A sequential phase energization technique for transformer inrush current —Part I: Simulation and experimental results. IEEE Trans. Power Deliv. 2005, 20, 943–949. [Google Scholar] [CrossRef]
  7. Cano-González, R.; Bachiller-Soler, A.; Rosendo-Macías, J.A.; Álvarez-Cordero, G.. Controlled switching strategies for transformer inrush current reduction: A comparative study. Electr. Power Syst. Res. 2017, 145, 12–18. [Google Scholar] [CrossRef]
  8. Sahoo, S.K.; Modi, A.; Balamurugan, M.; Sultana, R.; Chhawchharia, S. Reduction of inrush current using point on wave switching in power transformers. In Proceedings of the Innovations in Power and Advanced Computing Technologies, Vellore, India, 21–22 April 2017. [Google Scholar]
  9. Parikh, U.; Bhavesh, R.B. Mitigation of magnetic inrush current during controlled energization of coupled un-loaded power transformers in presence of residual flux without load side voltage measurements. Int. J. Electr. Power Energy Syst. 2016, 76, 156–164. [Google Scholar] [CrossRef]
  10. Fang, S.; Ni, H.; Lin, H.; Ho, S.L. A novel strategy for reducing inrush current of three-phase transformer considering residual flux. IEEE Trans. Ind. Electr. 2016, 63, 4442–4451. [Google Scholar] [CrossRef]
  11. Bukhari, S.S.H.; Lipo, T.A.; Kwon, B. An online UPS system that eliminates the inrush current phenomenon while feeding multiple load transformers. IEEE Trans. Ind. Appl. 2017, 53, 1149–1156. [Google Scholar] [CrossRef]
  12. Abdelsalam, A.A.; Hany, A.A. Mitigation of transformer-energizing inrush current using grid-connected photovoltaic system. Int. J. Electr. Power Energy Syst. 2016, 79, 312–321. [Google Scholar]
  13. Burkard, J.; Biela, J. Transformer inrush current mitigation concept for hybrid transformers. In Proceedings of the European Conference on Power Electronics and Applications, Warsaw, Poland, 11–14 September 2017. [Google Scholar]
  14. Chiesak, N.; Mork, B.A.; Høidalen, H.K. Transformer model for inrush current calculations: Simulations, measurements and sensitivity analysis. IEEE Trans. Power Deliv. 2010, 25, 2599–2608. [Google Scholar] [CrossRef]
  15. Nagpal, M.; Martinich, T.G.; Moshref, A.; Morison, K.; Kundur, P. Assessing and limiting impact of transformer inrush current on power quality. IEEE Trans. Power Deliv. 2006, 21, 890–896. [Google Scholar] [CrossRef]
  16. Seo, H.-C.; Kim, C.-H. The analysis of power quality effects from the transformer inrush current: A case study of the Jeju power system, Korea. In Proceedings of the IEEE Power and Energy Society General Meeting, Pittsburgh, PA, USA, 20–24 July 2008. [Google Scholar]
  17. Sadeghi, M.H.; Damchi, Y.; Shirani, H. Improvement of operation of power transformer protection system during sympathetic inrush current phenomena using fault current limiter. IET Gen. Trans. Distrib. 2018, 12, 5968–5974. [Google Scholar] [CrossRef]
  18. Seo, H.-C. New configuration and novel reclosing procedure of distribution system for utilization of BESS as UPS in smart grid. Sustainability 2017, 9, 507. [Google Scholar] [CrossRef]
  19. Seo, H.-C. Development of reclosing method in a distribution system with distributed generation and battery energy storage system. Energies 2018, 11, 1407. [Google Scholar] [CrossRef]
  20. Seo, H.-C. Novel adaptive reclosing scheme using wavelet transform in distribution system with battery energy storage system. Int. J. Electr. Power Energy Syst. 2018, 97, 186–200. [Google Scholar] [CrossRef]
  21. Meyer, W.S.; Liu, T.H. Alternative Transients Program ATP Rule Book EEUG; Canadian/American EMTP User Group: Portland, OR, USA, 1987. [Google Scholar]
  22. Mohammadi, F.; Zheng, C.; Su, R. Fault diagnosis in smart grid based on data-driven computational methods. In Proceedings of the 5th International Conference on Applied Research in Electrical, Mechanical & Mechatronics Engineering, Tehran, Iran, 28 February 2019. [Google Scholar]
  23. Mohammadi, F.; Zheng, C. A Precise SVM Classification Model for Predictions with Missing Data. In Proceedings of the 4th National Conference on Applied Research in Electrical, Mechanical, Computer, and IT Engineering, Shiraz, Iran, 4 October 2018. [Google Scholar]
  24. Mohammadi, F.; Zheng, C. Stability analysis of electric power system. In Proceedings of the 4th National Conference on technology in Electrical and Computer Engineering, Tehran, Iran, 19 February 2018. [Google Scholar]
  25. Hase, Y.; Kamesawa, T.; Inoue, S.; Yamamura, S. Experimental study of transformer residual flux and the method of restraining inrush current. Electr. Eng. Jap. 2014, 188, 54–67. [Google Scholar] [CrossRef]
  26. Ge, W.; Wang, Y.; Zhao, Z.; Yiang, X.; Li, Y. Residual flux in the closed magnetic core of a power transformer. IEEE Trans. Appl. Supercond. 2014, 24, 1–4. [Google Scholar]
  27. Ekwue, A.O.; Rawn, B. Investigations into the transformer inrush current problem. Nig. J. Technol. 2018, 37, 1058–1065. [Google Scholar] [CrossRef]
  28. Herivelto, S.B.; Servulo, O.P.; Jonsson, P.; de Olivera, J.C.; Chaves, M.L.R. Transformer inrush mitigation—Part II: Field test on a 100MVA three-phase transformer. In Proceedings of the IEEE/PES Transmission & Distribution Conference and Exposition, Caracas, Venezuela, 15–18 August 2006. [Google Scholar]
  29. Shim, E.B.; Woo, J.W.; Jung, G.J. The field test and computer simulation on the inrush current and circulating current of KEPCO’s 765 kV transformer. In Proceedings of the CIGRE, Paris, France, 30 August 2004. [Google Scholar]
Figure 1. The simulation methods of transformer inrush current.
Figure 1. The simulation methods of transformer inrush current.
Applsci 09 02398 g001
Figure 2. System configuration using Type 98 device.
Figure 2. System configuration using Type 98 device.
Applsci 09 02398 g002
Figure 3. Calculation of transformer leakage impedance using Excel.
Figure 3. Calculation of transformer leakage impedance using Excel.
Applsci 09 02398 g003
Figure 4. SATURA input.
Figure 4. SATURA input.
Applsci 09 02398 g004
Figure 5. Simulation result of SATURA.
Figure 5. Simulation result of SATURA.
Applsci 09 02398 g005
Figure 6. Data input in Type 98 component.
Figure 6. Data input in Type 98 component.
Applsci 09 02398 g006
Figure 7. Power system modeling using BCTRAN.
Figure 7. Power system modeling using BCTRAN.
Applsci 09 02398 g007
Figure 8. BCTRAN input.
Figure 8. BCTRAN input.
Applsci 09 02398 g008
Figure 9. Simulation results. (a) Current flowing in the primary side of the transformer; (b) magnetizing current; and (c) frequency analysis.
Figure 9. Simulation results. (a) Current flowing in the primary side of the transformer; (b) magnetizing current; and (c) frequency analysis.
Applsci 09 02398 g009
Figure 10. HYDSAT input.
Figure 10. HYDSAT input.
Applsci 09 02398 g010
Figure 11. Simulation result of HYSDAT.
Figure 11. Simulation result of HYSDAT.
Applsci 09 02398 g011
Figure 12. Data input in Type 96 component.
Figure 12. Data input in Type 96 component.
Applsci 09 02398 g012
Figure 13. Simulation results. (a) Current flowing in the primary side of the transformer; (b) magnetizing current; and (c) frequency analysis.
Figure 13. Simulation results. (a) Current flowing in the primary side of the transformer; (b) magnetizing current; and (c) frequency analysis.
Applsci 09 02398 g013
Table 1. Test list in transformer test report.
Table 1. Test list in transformer test report.
1. Structure and Exterior test12. Insulation strength test of operation and control circuit
 1.1. Structure test13. Noise level
 1.2. Exterior test14. Short circuit test of transformer
2. Turns ratio measurement, polarity test, and angle displacement test 14.1. Short circuit test (Primary -Secondary winding)
 2.1. Turns ratio measuremnt 14.2. Short circuit test (Primary -Tertiary winding)
  2.1.1. Primary - Secondary winding 14.3. Winding temperature during short circuit test
  2.1.2. Primary –Tertiary winding 14.4. Confirmation test after short circuit test
  2.1.3. Secondary - Tertiary winding  14.4.1. Turns ration measurement, polarity test and angle displacement test
 2.2. Polarity test and angle displacement test  14.4.2. Impedance voltage and full load loss test
3. Impedance voltage and full load loss test  14.4.3. No load loss and excitation current test
4. No load loss and excitation current test  14.4.4. Winding resistance measurement
5. Winding resistance measurement  14.4.5. Power frequency withstand voltage test
6. Power frequency withstand voltage test  14.4.6. Induced withstand voltage test and partial discharge test
7. Induced withstand voltage test and partial discharge test  14.4.7. Insulation power factor test
8. Insulation power factor test  14.4.8. Motor test
 8.1. Phase A  14.4.9. Insulation strength test of operation and control circuit
 8.2. Phase B  14.4.10. Variation ratio of reactance
 8.3. Phase C  14.4.11. Visual inspection after short circuit test
9. Temperature rise test15. Poly Chlorniated Biphenyls (PCB) analysis test in insulation oil
 9.1. Temperature rise test16. Winding insulation resistance measurement
  9.1.1. Primary and Secondary winding 16.1. Before short circuit test
  9.1.2. Tertiary winding 16.2. After short circuit test
 9.2. Dissolved gas test17. Frame and core insulation test
10. Lightning impulse withstand voltage test 17.1. Before short circuit test
11. Motor test 17.2. After short circuit test
 11.1. Fan power consumption measurement and rotating direction test18. Conclusion
 11.2. On Load Tap Changer (OLTC) operation test

Share and Cite

MDPI and ACS Style

Seo, H.-C.; Gwon, G.-H. Systematization of the Simulation Process of Transformer Inrush Current Using EMTP. Appl. Sci. 2019, 9, 2398. https://doi.org/10.3390/app9122398

AMA Style

Seo H-C, Gwon G-H. Systematization of the Simulation Process of Transformer Inrush Current Using EMTP. Applied Sciences. 2019; 9(12):2398. https://doi.org/10.3390/app9122398

Chicago/Turabian Style

Seo, Hun-Chul, and Gi-Hyeon Gwon. 2019. "Systematization of the Simulation Process of Transformer Inrush Current Using EMTP" Applied Sciences 9, no. 12: 2398. https://doi.org/10.3390/app9122398

APA Style

Seo, H.-C., & Gwon, G.-H. (2019). Systematization of the Simulation Process of Transformer Inrush Current Using EMTP. Applied Sciences, 9(12), 2398. https://doi.org/10.3390/app9122398

Note that from the first issue of 2016, this journal uses article numbers instead of page numbers. See further details here.

Article Metrics

Back to TopTop