Severely Damaged Reinforced Concrete Circular Columns Repaired by Turned Steel Rebar and High-Performance Concrete Jacketing with Steel or Polymer Fibers
Abstract
1. Introduction
2. High-Performance Fiber Reinforced Concrete to Repair RC Components
2.1. Concrete Mix Design
2.2. Concrete Mechanical Characterization
2.2.1. Compression Test
- (1)
- The concrete with steel fibers (UHS) showed an increase in strength as the fiber volume fraction increased (Figure 1a). That phenomenon was not constant but it tended to reduce increasing the fiber percentage.
- (2)
- The concrete with polymer fibers (UHP) presented a decrease in the strength when the fiber volume fraction increased (Figure 1b).
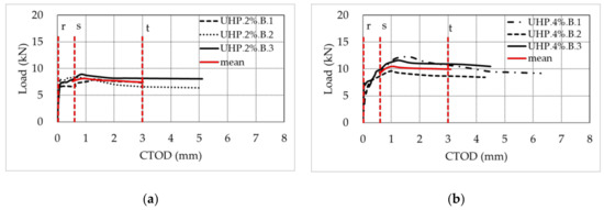
2.2.2. Bending Tests
- (1)
- Concrete with 2% volume fraction of steel fibers because this fiber content is a typical value used in the literature [38,39,40,41,42] that considerably improves the concrete mechanical characteristics. A greater volume content produces a further increase in the compressive and tensile strength of the concrete but causes segregation during concrete mix and casting.
- (2)
- Concrete with 4% volume fraction of polymer fibers to guarantee concrete workability and cast of the new concrete part and greater possible values of ductility measured on the load-CTOD curve, tensile strength, and the equivalent strength. This volume fraction is equivalent to one proposed in the literature [38,39,40,41,42] and was studied for the first time in the present study.
2.3. Code Equation to Determine the Tensile Strength
3. Design Equation for the HPFRC Concrete Jacketing
4. Case Study
4.1. Longitudinal Rebar Substitution
4.2. Concrete Restoration by HPFRC Jacket
5. Experimental Validation of the Repair Strategy
5.1. Test Setup
5.2. Test Protocol
6. Test Results
6.1. Columns Hysteretic Response
6.2. Stiffness Evolution
6.3. Dissipated Energy
6.4. Hysteretic Damping and Force Reduction Factor
6.5. Shear Strength of Columns
6.6. Jacket Strains
6.7. Damage to the Columns
7. Numerical Investigation
7.1. Numerical Fiber Models and Section Analisys
- (1)
- (2)
- The experimental stress-strain curve for the UHS concrete used to repair the column R16-UHS (region P2 of the BB section, Table 7);
- (3)
- The experimental stress-strain curve for the UHP concrete used to repair the column R16-UHP (region P2 of the BB section, Table 7);
- (4)
- The skeleton curve that approximates the experimental curves obtained for the turned and unturned steel rebar in Figure 8.
7.2. Maximum Flexural Strength
8. Conclusions
Author Contributions
Funding
Conflicts of Interest
References
- Nuti, C.; Santini, S.; Vanzi, I. Damage, Vulnerability and Retrofitting Strategies for the Molise Hospital System Following the 2002 Molise, Italy, Earthquake. Earthq. Spectra 2004, 20, S285–S299. [Google Scholar] [CrossRef]
- Rasulo, A.; Goretti, A.; Nuti, C. Performance of Lifelines during the 2002 Molise, Italy, Earthquake. Earthq. Spectra 2004, 20, S301–S314. [Google Scholar] [CrossRef]
- Nuti, C.; Rasulo, A.; Vanzi, I. Seismic safety evaluation of electric power supply at urban level. Earthq. Eng. Struct. Dyn. 2007, 36, 245–263. [Google Scholar] [CrossRef]
- Nuti, C.; Rasulo, A.; Vanzi, I. Seismic assessment of utility systems: Application to water, electric power and transportation networks. In Safety, Reliability and Risk Analysis: Theory, Methods and Applications, Proceedings of the Joint ESREL and SRA-Europe Conference, Valencia, Spain, 22–25 September 2009; CRC Press-Taylor & Francis Group: Boca Raton, FL, USA, 2009; Volume 3, pp. 2519–2529. [Google Scholar]
- Nuti, C.; Rasulo, A.; Vanzi, I. Seismic safety of network structures and infrastructures. Struct. Infrastruct. Eng. 2010, 6, 95–110. [Google Scholar] [CrossRef]
- Vanzi, I.; Marano, G.C.; Monti, G.; Nuti, C. A synthetic formulation for the Italian seismic hazard and code implications for the seismic risk. Soil Dyn. Earthq. Eng. 2015, 77, 111–122. [Google Scholar] [CrossRef]
- Braga, F.; Gigliotti, R.; Monti, G.; Morelli, F.; Nuti, C.; Salvatore, W.; Vanzi, I. Post-seismic assessment of existing constructions: Evaluation of the shakemaps for identifying exclusion zones in Emilia. Earthq. Struct. 2015, 8, 37–56. [Google Scholar] [CrossRef]
- Braga, F.; Gigliotti, R.; Monti, G.; Morelli, F.; Nuti, C.; Salvatore, W.; Vanzi, I. Speedup of post earthquake community recovery: The case of precast industrial buildings after the Emilia 2012 earthquake. Bull. Earthq. Eng. 2014, 12, 2405–2418. [Google Scholar] [CrossRef]
- Fiorentino, G.; Nuti, C.; Squeglia, N.; Lavorato, D.; Stacul, S. One-dimensional nonlinear seismic response analysis using strength-controlled constitutive models: The case of the leaning tower of Pisa’s subsoil. Geosciences 2018, 8, 228. [Google Scholar] [CrossRef]
- Forte, A.; Santini, S.; Fiorentino, G.; Lavorato, D.; Bergami, A.V.; Nuti, C. Influence of materials knowledge level on the assessment of the shear strength characteristic value of existing RC beams. In Proceedings of the 12th Fib International PhD-Symposium in Civil Engineering, Prague, Czech Republic, 29–31 August 2018; pp. 979–986. [Google Scholar]
- Lavorato, D.; Bergami, A.V.; Forte, A.; Quaranta, G.; Nuti, C.; Monti, G.; Santini, S. Influence of materials knowledge level on the assessment of the characteristic value of the shear strength of existing RC beams. In Proceedings of Italian Concrete Days 2016; Lecture Notes in Civil Engineering; Springer: Cham, Switzerland, 2016; pp. 535–547. [Google Scholar]
- Fiorentino, G.; Forte, A.; Pagano, E.; Sabetta, F.; Baggio, C.; Lavorato, D.; Nuti, C.; Santini, S. Damage patterns in the town of Amatrice after august 24th 2016 central Italy earthquakes. Bull. Earthq. Eng. 2018, 16, 1399–1423. [Google Scholar] [CrossRef]
- Bergami, A.V.; Forte, A.; Lavorato, D.; Nuti, C. Proposal of a incremental modal pushover analysis (IMPA). Earthq. Struct. 2017, 13, 539–549. [Google Scholar] [CrossRef]
- Pelliciari, M.; Marano, G.C.; Cuoghi, T.; Briseghella, B.; Lavorato, D.; Tarantino, A.M. Parameter Identification of Degrading and Pinched Hysteretic Systems Using a Modified Bouc–Wen Model. Struct. Infrastruct. Eng. 2018. [Google Scholar] [CrossRef]
- Marano, G.C.; Pelliciari, M.; Cuoghi, T.; Briseghella, B.; Lavorato, D.; Tarantino, A.M. Degrading bouc-wen model parameters identification under cyclic load. Int. J. Geotech. Earthq. Eng. 2017, 8, 60–81. [Google Scholar] [CrossRef]
- Nuti, C.; Vanzi, I. To retrofit or not to retrofit? Eng. Struct. 2003, 25, 701–711. [Google Scholar] [CrossRef]
- Bergami, A.V.; Nuti, C. A design procedure of dissipative braces for seismic upgrading structures. Earthq. Struct. 2013, 4, 85–108. [Google Scholar] [CrossRef]
- Lavorato, D.; Nuti, C.; Santini, S. Experimental investigation of the shear strength of RC beams extracted from an old structure and strengthened by carbon FRP u-strips. Appl. Sci. 2018, 8, 1182. [Google Scholar] [CrossRef]
- Imperatore, S.; Lavorato, D.; Nuti, C.; Santini, S.; Sguerri, L. Shear behavior of existing RC T-beams strengthened with CFRP. In Proceedings of the Assessment, Upgrading and Refurbishment of Infrastructures (IABSE 2013), Rotterdam, The Netherlands, 6–8 May 2013. [Google Scholar]
- Imperatore, S.; Lavorato, D.; Nuti, C.; Santini, S.; Sguerri, L. Shear Performance of Existing Reinforced Concrete T-Beams Strengthened with FRP. In Proceedings of the 6th International Conference on FRP Composites in Civil Engineering, CICE 2012, Rome, Italy, 13–15 June 2012. [Google Scholar]
- Imperatore, S.; Lavorato, D.; Nuti, C.; Santini, S.; Sguerri, L. Numerical Modeling of Existing RC Beams Strengthened in Shear with FRP U-Sheets. In Proceedings of the 6th International Conference on FRP Composites in Civil Engineering (CICE 2012), Rome, Italy, 13–15 June 2012. [Google Scholar]
- Lavorato, D.; Bergami, A.V.; Fiorentino, G.; Fiore, A.; Santini, S.; Nuti, C. Experimental tests on existing RC beams strengthened in flexure and retrofitted for shear by C-FRP in presence of negative moments. Int. J. Adv. Struct. Eng. 2018, 10, 211–232. [Google Scholar] [CrossRef]
- Zhou, Z.; Lavorato, D.; Nuti, C.; Marano, G.C. A Model for Carbon and Stainless-Steel Reinforcing Bars Including Inelastic Buckling for Evaluation of Capacity of Existing Structures. In Proceedings of the COMPDYN 2015—5th ECCOMAS Thematic Conference on Computational Methods in Structural Dynamics and Earthquake Engineering, Crete, Greece, 25–27 May 2015; National Technical University of Athens: Athens, Greece, 2015; pp. 876–886. [Google Scholar]
- Lavorato, D.; Nuti, C.; Santini, S.; Briseghella, B.; Xue, J. A Repair and Retrofitting Intervention to Improve Plastic Dissipation and Shear Strength of Chinese RC Bridges. In Proceedings of the IABSE Conference, Geneva 2015: Structural Engineering: Providing Solutions to Global Challenges-Report, Geneva, Switzerland, 23–25 September 2015; pp. 1762–1767. [Google Scholar]
- Lavorato, D.; Nuti, C.; Santini, S. Experimental Investigation of the Seismic Response of Repaired r.c. Bridges by Means of Pseudodynamic Tests. In Proceedings of the IABSE Symposium on Large Structures and Infrastructures for Environmentally Constrained and Urbanised Areas, Venice, Italy, 22–24 September 2010; pp. 448–449. [Google Scholar]
- Albanesi, T.; Lavorato, D.; Nuti, C.; Santini, S. Experimental program for pseudodynamic tests on repaired and retrofitted bridge piers. Eur. J. Environ. Civ. Eng. 2009, 13, 671–683. [Google Scholar] [CrossRef]
- Albanesi, T.; Lavorato, D.; Nuti, C.; Santini, S. Experimental Tests on Repaired and Retrofitted Bridge Piers. In Proceedings of the International FIB Symposium 2008—Tailor Made Concrete Structures: New Solutions for our Society, Amsterdam, The Netherlands, 19–21 May 2008; p. 151. [Google Scholar]
- Zhou, Z.; Nuti, C.; Lavorato, D. Modeling of the Mechanical Behavior of Stainless Reinforcing Steel. In Proceedings of the 10th fib International, PhD Symposium in Civil Engineering, Universite Laval, QC, Canada, 21–23 July 2014; pp. 515–520. [Google Scholar]
- Lavorato, D.; Nuti, C. Pseudo-Dynamic Testing of Repaired and Retrofitted RC Bridges. In Proceedings of the fib Symposium Prague 2011: Concrete Engineering for Excellence and Efficiency, Prague, Czech Republic, 8–10 June 2011; pp. 451–454. [Google Scholar]
- Lavorato, D.; Nuti, C. Seismic Response of Repaired Bridges by Pseudodynamic Tests. In Bridge Maintenance, Safety, Management and Life-Cycle Optimization, Proceedings of the 5th International Conference on Bridge Maintenance, Safety and Management, Philadelphia, PA, USA, 11–15 July 2010; CRC Press: Boca Raton, FL, USA, 2010; pp. 2368–2375. [Google Scholar]
- Lavorato, D.; Bergami, A.V.; Nuti, C.; Briseghella, B.; Xue, J.; Tarantino, A.M.; Marano, G.C.; Santini, S. Ultra-High-Performance Fibre-Reinforced Concrete Jacket for the Repair and the Seismic Retrofitting of Italian and Chinese RC Bridges. In Proceedings of the 6th International Conference on Computational Methods in Structural Dynamics and Earthquake Engineering (COMPDYN 2017), Rhodes Island, Greece, 15–17 June 2017; National Technical University of Athens: Athens, Greece, 2017; Volume 1, pp. 2149–2160. [Google Scholar] [CrossRef]
- Massicotte, B.; Boucher-Proulx, G. Seismic retrofitting of bridge piers with UHPFRC jackets. In Designing and Building with UHPFRC; Toutlemonde, F., Resplendino, J., Eds.; John Wiley & Sons, Inc.: Hoboken, NJ, USA, 2013; pp. 531–540. [Google Scholar]
- Ma, C.-K.; Apandi, N.M.; Sofrie, C.S.Y.; Ng, J.H.; Lo, W.H.; Awang, A.Z.; Omar, W. Repair and rehabilitation of concrete structures using confinement: A review. Constr. Build. Mater. 2017, 133, 502–515. [Google Scholar] [CrossRef]
- Sun, Z.; Li, H.; Bi, K.; Si, B.; Wang, D. Rapid repair techniques for severely earthquake-damaged circular bridge piers with flexural failure mode. Earthq. Eng. Eng. Vib. 2017, 16, 415–433. [Google Scholar] [CrossRef]
- Cheng, C.-T.; Yang, J.-C.; Yeh, Y.-K.; Chen, S.-E. Seismic performance of repaired hollow-bridge piers. Constr. Build. Mater. 2003, 17, 339–351. [Google Scholar] [CrossRef]
- Lavorato, D.; Nuti, C. Pseudo-dynamic tests on reinforced concrete bridges repaired and retrofitted after seismic damage. Eng. Struct. 2015, 94, 96–112. [Google Scholar] [CrossRef]
- Rodrigues, H.; Furtado, A.; Arêde, A.; Vila-Pouca, N.; Varum, H. Experimental study of repaired RC columns subjected to uniaxial and biaxial horizontal loading and variable axial load with longitudinal reinforcement welded steel bars solutions. Eng. Struct. 2018, 155, 371–386. [Google Scholar] [CrossRef]
- Di Carlo, F.; Meda, A.; Rinaldi, Z. Numerical cyclic behaviour of un-corroded and corroded RC columns reinforced with HPFRC jacket. Compos. Struct. 2017, 163, 432–443. [Google Scholar] [CrossRef]
- Beschi, C.; Meda, A.; Riva, P. Column and joint retrofitting with high performance fiber reinforced concrete jacketing. J. Earthq. Eng. 2011, 15, 989–1014. [Google Scholar] [CrossRef]
- Ilki, A.; Demir, C.; Bedirhanoglu, I.; Kumbasar, N. Seismic retrofit of brittle and low strength RC columns using fiber reinforced polymer and cementitious composites. Adv. Struct. Eng. 2009, 12, 325–347. [Google Scholar] [CrossRef]
- Del Zoppo, M.; Di Ludovico, M.; Balsamo, A.; Prota, A. Comparative analysis of existing RC columns jacketed with CFRP or FRCC. Polymers 2018, 10, 361. [Google Scholar] [CrossRef]
- Lanzoni, L.; Soragni, M.; Tarantino, A.M.; Viviani, M. Concrete Beams Stiffened by Polymer-Based Mortar Layers: Experimental Investigation and Modeling. Constr. Build. Mater. 2016, 105, 321–335. [Google Scholar] [CrossRef]
- Forcellini, D.; Tarantino, A.M. Assessment of Stone Columns as a Mitigation Technique of Liquefaction-Induced Effects during Italian Earthquakes (May 2012). Sci. World J. 2014, 2014, 216278. [Google Scholar] [CrossRef] [PubMed]
- Tarantino, A.M. Equilibrium Paths of a Hyperelastic Body Under Progressive Damage. J. Elast. 2014, 114, 225–250. [Google Scholar] [CrossRef]
- Saradar, A.; Tahmouresi, B.; Mohseni, E.; Shadmani, A. Restrained shrinkage cracking of fiber-reinforced high-strength concrete. Fibers 2018, 6, 12. [Google Scholar] [CrossRef]
- McKenna, F.; Fenves, G.L.; Filippou, F.C. OpenSees: Open System for Earthquake Engineering Simulation; Pacific Earthquake Engineering Research Center: Berkeley, CA, USA, 2002; Available online: http://opensees.berkeley.edu (accessed on 9 November 2018).
- Garas, V.Y.; Kahn, L.F.; Kurtis, K.E. Short-term tensile creep and shrinkage of ultra-high performance concrete. Cem. Concr. Compos. 2009, 31, 147–152. [Google Scholar] [CrossRef]
- UNI EN 14889-1:2006. Fibres for Concrete—Part 1: Steel Fibres-Definitions, Specification and Conformity. Available online: http://store.uni.com/ (accessed on 14 September 2018).
- Lanzoni, L.; Nobili, A.; Tarantino, A.M. Performance evaluation of a polypropylene-based draw-wired fibre for concrete structures. Constr. Build. Mater. 2012, 28, 798–806. [Google Scholar] [CrossRef]
- Bentur, A.; Mindess, S. Fibre Reinforced Cementitious Composites, 2nd ed.; CRC Press: Boca Raton, FL, USA, 2007; ISBN 9780415250481. [Google Scholar]
- Richardson, A.E. Compressive strength of concrete with polypropylene fibre additions. Struct. Surv. 2006, 24, 138–153. [Google Scholar] [CrossRef]
- UNI 11039. Steel Fibre Reinforced Concrete—Part I: Definitions, Classification Specification and Conformity—Part II: Test Method for Measuring First Crack Strength and Ductility Indexes. Italian Board for Standardization. 2003. Available online: http://store.uni.com/ (accessed on 14 September 2018).
- RILEM TC 162-TDF: Test and Design Methods for Steel Fibre Reinforced Concrete’-Sigma-Epsilon-Design Method-Final Recommendation. Available online: https://www.rilem.net/ (accessed on 14 September 2018).
- CI-S-002-2003 Method of Test for Load-Displacement Curve of Fiber Reinforced Concrete by Use of Notched Beam, Japan Concrete Institute Standard. 2003. Available online: http://www.jci-net.or.jp/ (accessed on 14 September 2018).
- CNR-DT 204/2006 Guide for the Design and Construction of Fiber-Reinforced Concrete Structures; Italian National Research Council (CNR). 2006. Available online: https://www.cnr.it/ (accessed on 14 September 2018).
- Finazzi, S.; Paegle, I.; Fischer, G.; Minelli, F. Influence of Bending Test Configuration on Cracking Behavior of FRC; In Proceedings of the 3rd All-Russia (International) Conference on Concrete and Reinforced Concrete, Moscow, Russian, 12–16 May 2014.
- Eurocode 2: Design of Concrete Structures—Part 1-1: General Rules and Rules for Buildings. Available online: http://eurocodes.jrc.ec.europa.eu/ (accessed on 14 September 2018).
- NTC 2018. Decreto 17 Gennaio 2018. Aggiornamento delle Norme Tecniche per le Costruzioni. Gazzetta Ufficiale della Repubblica Italiana. Serie Generale n.42 del 20-02-2018-Suppl. Ordinario n. 8. Available online: http://www.gazzettaufficiale.it/ (accessed on 14 September 2018).
- Priestley, M.J.N.; Seible, F.; Xiao, Y.; Verma, R. Steel jacket retrofitting of reinforced concrete bridge columns for enhanced shear strength—Part 2: Test results and comparison with theory. ACI Struct. J. 1994, 91, 537–551. [Google Scholar]
- CSA A23.3-04. Design of Concrete Structures; Standard CAN/CSA A23.3-04; Canadian Standards Association: Mississauga, ON, Canada, 2004; Available online: https://www.scc.ca/en/ (accessed on 14 September 2018).
- ACI 318-11. Building Code Requirements for Structural Concrete (ACI 318-11) and Commentary; American Concrete Institute (ACI): Detroit, MI, USA, 2011; Available online: https://www.concrete.org/ (accessed on 14 September 2018).
- ACI 371R. Guide for the Analysis, Design, and Construction of Concrete Pedestal Water Towers. Reported by ACI Committee 371. 1998. Available online: https://www.concrete.org/ (accessed on 14 September 2018).
- Sezen, H.; Moehle, J.P. Shear strength model for lightly reinforced concrete columns. J. Struct. Eng. 2004, 130, 1692–1703. [Google Scholar] [CrossRef]
- JTG D60-2004. General Code for Design of Highway Bridges and Culverts. Available online: http://www.gbstandards.org/ (accessed on 14 September 2018).
- JTG D62-2004. Code for Design of Highway Reinforced Concrete and Prestressed Concrete Bridge and Culverts. Available online: http://www.gbstandards.org/ (accessed on 14 September 2018).
- JTG/T B02-01-2008. Guidelines for Seismic Design of Highway Bridges; China Architecture & Buliding Press: Beijing, China, 2008; Available online: http://www.gbstandards.org/ (accessed on 14 September 2018).
- Paulay, T.; Priestley, M.J.N. Seismic Design of Reinforced Concrete and Masonry Buildings; John Wiley & Sons: New York, NY, USA, 2009; ISBN 9780471549154. [Google Scholar]
- Rodrigues, H.; Furtado, A.; Arêde, A. Experimental evaluation of energy dissipation and viscous damping of repaired and strengthened RC columns with CFRP Jacketing under biaxial load. Eng. Struct. 2017, 145, 162–175. [Google Scholar] [CrossRef]
- Eurocode 8: Design of Structures for Earthquake Resistance 2004. Available online: http://eurocodes.jrc.ec.europa.eu/ (accessed on 14 September 2018).
- Hosotani, M.; Kawashima, K. Stress-strain model for concrete cylinders confined by both carbon fiber sheets and hoop reinforcement. Jpn. Soc. Civ. Eng. 1998, 1999, 25–42. [Google Scholar] [CrossRef]
- Nuti, C.; Vanzi, I. Influence of earthquake spatial variability on differential soil displacements and SDF system response. Earthq. Eng. Struct. Dyn. 2005, 34, 1353–1374. [Google Scholar] [CrossRef]
- Nuti, C.; Vanzi, I. Design of Bridges for Non Synchronous Seismic Motion. In Proceedings of the AIP Conference, Reggio Calabria, Italy, 8–11 July 2008; AIP: Reggio Calabria, Italy, 2008; pp. 666–673. [Google Scholar] [CrossRef]
- Lavorato, D.; Vanzi, I.; Nuti, C.; Monti, G. Generation of Non-Synchronous Earthquake Signals. In Springer Series in Reliability Engineering; Gardoni, P., Ed.; Springer: London, UK, 2017; pp. 169–198. [Google Scholar]
- Lavorato, D.; Bergami, A.V.; Rago, C.; Ma, H.-B.; Nuti, C.; Vanzi, I.; Briseghella, B.; Zhuo, W.-D. Seismic behaviour of isolated RC bridges subjected to asynchronous seismic input. In COMPDYN 2017, Proceedings of the 6th International Conference on Computational Methods in Structural Dynamics and Earthquake Engineering, Rhodes Island, Greece, 15–17 June 2017; National Technical University of Athens: Athens, Greece, 2017; pp. 2214–2226. [Google Scholar]
- Lavorato, D.; Fiorentino, G.; Bergami, A.V.; Ma, H.-B.; Nuti, C.; Briseghella, B.; Vanzi, I.; Zhou, W.-D. Surface generation of asynchronous seismic signals for the seismic response analysis of bridges. In COMPDYN 2017, Proceedings of the 6th International Conference on Computational Methods in Structural Dynamics and Earthquake Engineering, Rhodes Island, Greece, 15–17 June 2017; National Technical University of Athens: Athens, Greece, 2017; pp. 2203–2213. [Google Scholar]
- Ma, H.B.; Zhuo, W.-D.; Lavorato, D.; Fiorentino, G.; Nuti, C.; Sabetta, F. Seismic response analysis of continuous highway bridges under near-fault ground motions. In COMPDYN 2017, Proceedings of the 6th International Conference on Computational Methods in Structural Dynamics and Earthquake Engineering, Rhodes Island, Greece, 15–17 June 2017; National Technical University of Athens: Athens, Greece, 2017; pp. 2138–2148. [Google Scholar]
- Ma, H.B.; Zhuo, W.-D.; Fiorentino, G.; Lavorato, D.; Nuti, C.; Sun, Y. Seismic responses of regular highway bridges under near-fault ground motions (COMPDYN 2017). In COMPDYN 2017, Proceedings of the 6th International Conference on Computational Methods in Structural Dynamics and Earthquake Engineering, Rhodes Island, Greece, 15–17 June 2017; National Technical University of Athens: Athens, Greece, 2017; pp. 2119–2137. [Google Scholar]
- Munoz, M.; Briseghella, B.; Nuti, C.; Xue, J. Semi static loads in an integral abutment bridge. In Proceedings of the IABSE Conference 2016: Bridges and Structures Sustainability—Seeking Intelligent Solutions, Guangzhou, China, 8–11 May 2016; International Association for Bridge and Structural Engineering: Zurich, Switzerland, 2016; pp. 61–69. [Google Scholar]
- Munoz, M.; Briseghella, B.; Xue, J.; Smaldini, P.; Nuti, C. A probabilistic evaluation of an integral abutment bridge. Maintenance, Monitoring, Safety, Risk and Resilience of Bridges and Bridge Networks. In Proceedings of the 8th International Conference on Bridge Maintenance, Safety and Management (IABMAS 2016), Foz do Iguaçu, Brazil, 26–30 June 2016; pp. 792–796. [Google Scholar]


















| Specimen | Vol (%) | Rcm (MPa) | SD | Fiber | Specimen Failure Mode |
|---|---|---|---|---|---|
| No fiber | 0 | 93.6 | 2.6 | ![]() | ![]() |
| Steel | 1 | 100.9 | 3.0 | ||
| Steel | 2 | 110.2 | 2.7 | ||
| Steel | 3 | 116.3 | 3.7 | ||
| No fiber | 0 | 75.7 | 4.0 | ![]() | ![]() |
| Polymer | 2 | 51.4 | 3.9 | ||
| Polymer | 4 | 56.9 | 4.2 |
| Steel Fiber Volume Fraction | feq2 (MPa) | fFtu (MPa) | fctm (MPa) |
|---|---|---|---|
| 2% Mean (Min.) | 12.2 (12.2) | 4.1 (4.1) | 4.9 |
| 3% Mean (Min.) | 15.1 (14.8) | 5.0 (4.9) | 5.0 |
| Polymer Fiber Volume Fraction | feq2 (MPa) | fFtu (MPa) | fctm (MPa) |
|---|---|---|---|
| 2% Mean (Min.) | 6.1 (5.7) | 2.0 (1.9) | 3.5 |
| 4% Mean (Min) | 8.2 (7.1) | 2.7 (2.4) | 3.7 |
| Column | Lt | ϕt | Concrete Jacket | Trans. Steel Reinforced |
|---|---|---|---|---|
| P16A, P16B | 0 | 18 | No fibers | ϕ 4/60 |
| R16-UHS | 250 | 15 | 2% vol steel fiber | - |
| R16-UHP | 250 | 15 | 4% vol Polymer fiber | - |
| Specimen | Load Direction | μΔ | BSmax (kN) | Ktang (kN/m) | K1sec (kN/m) |
|---|---|---|---|---|---|
| P16B | Pos. | 6 | 229.0 | 22,485.5 | |
| Neg. | >7 | –229.0 | 53,846.1 | ||
| R16-UHS | Pos. | >6 | 233.0 | - | 22,011.8 |
| Neg. | >7 | –227.0 | 53,846.2 | ||
| R16-UHP | Pos. | >6 | 215.0 | 21,271.7 | |
| Neg. | >7 | –229.6 | 51,851.85 |
| Column | R16-UHS | R16-UHP |
|---|---|---|
| VRd,cc | 29.2 | 29.2 |
| VRd,cj (VRd,cjmin) | 254.5 (234.5) | 230.2 (206.1) |
| VRd (VRdmin) | 283.7 (263.7) | 259.4 (235.3) |
| BSmax | 186.4 | 172.0 |
| Header | P16B | R16-UHS | R16-UHP | Fiber Sections | Concrete Stress–Strain Curves |
|---|---|---|---|---|---|
| zc_num (mm) | 130.8 | 78.9 | 107.2 | ![]() | ![]() |
| Mmax_num (kNm) | 276.7 | 267.6 | 241.5 | ||
| Fmax_num (kN) | 237.1 | 229.3 | 207.6 | ||
| BSmax (kN) | 229.0 | 233.0 | 215.0 |
© 2018 by the authors. Licensee MDPI, Basel, Switzerland. This article is an open access article distributed under the terms and conditions of the Creative Commons Attribution (CC BY) license (http://creativecommons.org/licenses/by/4.0/).
Share and Cite
Xue, J.; Lavorato, D.; Bergami, A.V.; Nuti, C.; Briseghella, B.; Marano, G.C.; Ji, T.; Vanzi, I.; Tarantino, A.M.; Santini, S. Severely Damaged Reinforced Concrete Circular Columns Repaired by Turned Steel Rebar and High-Performance Concrete Jacketing with Steel or Polymer Fibers. Appl. Sci. 2018, 8, 1671. https://doi.org/10.3390/app8091671
Xue J, Lavorato D, Bergami AV, Nuti C, Briseghella B, Marano GC, Ji T, Vanzi I, Tarantino AM, Santini S. Severely Damaged Reinforced Concrete Circular Columns Repaired by Turned Steel Rebar and High-Performance Concrete Jacketing with Steel or Polymer Fibers. Applied Sciences. 2018; 8(9):1671. https://doi.org/10.3390/app8091671
Chicago/Turabian StyleXue, Junqing, Davide Lavorato, Alessandro V. Bergami, Camillo Nuti, Bruno Briseghella, Giuseppe C. Marano, Tao Ji, Ivo Vanzi, Angelo M. Tarantino, and Silvia Santini. 2018. "Severely Damaged Reinforced Concrete Circular Columns Repaired by Turned Steel Rebar and High-Performance Concrete Jacketing with Steel or Polymer Fibers" Applied Sciences 8, no. 9: 1671. https://doi.org/10.3390/app8091671
APA StyleXue, J., Lavorato, D., Bergami, A. V., Nuti, C., Briseghella, B., Marano, G. C., Ji, T., Vanzi, I., Tarantino, A. M., & Santini, S. (2018). Severely Damaged Reinforced Concrete Circular Columns Repaired by Turned Steel Rebar and High-Performance Concrete Jacketing with Steel or Polymer Fibers. Applied Sciences, 8(9), 1671. https://doi.org/10.3390/app8091671







