Kinetic Analysis of Stabilizing C-Phycocyanin in the Spirulina platensis Extracts from Ultrasonic Process Associated with Effects of Light and Temperature
Abstract
1. Introduction
2. Materials and Methods
2.1. Preparation of Spirulina Extract and Exposed to Various Storage Conditions
2.2. Measurement of the C-PC Contents in the Extracts
2.3. Kinetic Analysis of Degrading the C-PC during the Storage
2.4. Statistical Analysis
3. Results and Discussion
3.1. The Changes of C-PC Contents in the Extracts Under Various Storage Conditions
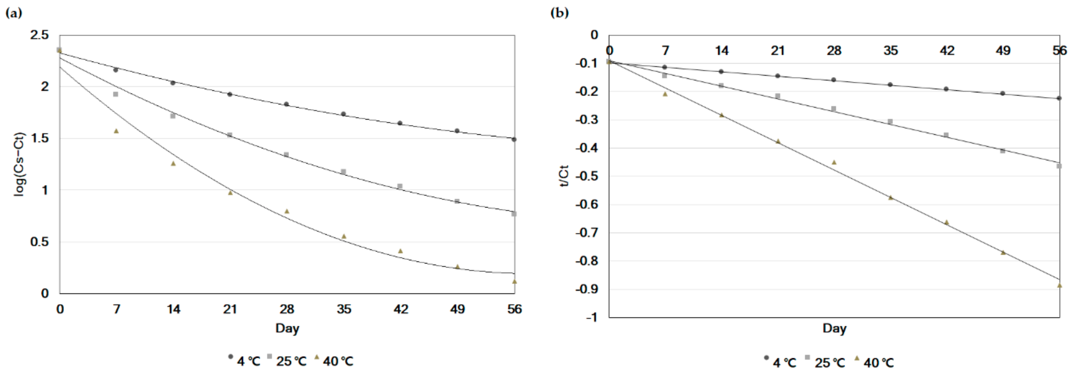
3.2. Kinetic Analysis of the Decrease of C-PC with Light and without Light Stored at Various Temperatures
4. Conclusions
Author Contributions
Funding
Conflicts of Interest
References
- Bennett, A.; Bogorad, L. Complementary chromatic adaptation in a filamentous blue-green alga. J. Cell Biol. 1973, 58, 419–435. [Google Scholar] [CrossRef] [PubMed]
- Li, B.; Gao, M.H.; Zhang, X.C.; Chu, X.M. Molecular immune mechanism of C-phycocyanin from Spirulina platensis induces apoptosis in HeLa cells in vitro. Biotechnol. Appl. Biochem. 2006, 43, 155–164. [Google Scholar] [CrossRef] [PubMed]
- Khan, Z.; Bhadouria, P.; Bisen, P.S. Nutritional and therapeutic potential of Spirulina. Curr. Pharm. Biotechnol. 2005, 6, 373–379. [Google Scholar] [CrossRef] [PubMed]
- Romay, C.; Gonzalez, R.; Ledon, N.; Remirez, D.; Rimbau, V. C-Phycocyanin: A biliprotein with antioxidant, anti-Inflammatory and neuroprotective effects. Curr. Protein Pept. Sci. 2003, 4, 207–216. [Google Scholar] [CrossRef] [PubMed]
- Lee, J.C.; Hou, M.F.; Huang, H.W.; Chang, F.R.; Yeh, C.C.; Tang, J.Y.; Chang, H.W. Marine algal natural products with anti-oxidative, anti-inflammatory, and anti-cancer properties. Cancer Cell Int. 2013, 13, 55–61. [Google Scholar] [CrossRef] [PubMed]
- Cantt, E. Phycobilisomes. Ann. Rev. Plant Physoiol. 1981, 32, 327–347. [Google Scholar] [CrossRef]
- Siegelman, H.W.; Kycia, J.H. Handbook of Phycological Methods: Physiological and Biological Methods; Cambridge University Press: Cambridge, UK, 1978; pp. 72–78. ISBN 9780521279420. [Google Scholar]
- Abalde, J.; Betancourt, L.; Torres, E.; Cid, A.; Barwell, G. Purification and characterization of phyocyanin from the marine cyanobacterium Synechococcus sp. IO9201. Plant Sci. 1998, 136, 109–120. [Google Scholar] [CrossRef]
- Sarada, R.; Pillai, M.G.; Ravishankar, G.A. Phycocyanin from Spirulina sp.: Influence of processing of biomass on phycocyanin yield, analysis of efficacy of extraction methods and stability studies on phycocyanin. Process Biochem. 1999, 34, 795–801. [Google Scholar] [CrossRef]
- Moraes, C.C.; Sala, L.; Cerveira, G.P.; Kalil, S.J. C-phycocyanin extraction from Spirulina platensis wet biomass. Braz. J. Chem. Eng. 2011, 28, 45–49. [Google Scholar] [CrossRef]
- Kim, W.I.; Jeong, K.W.; Lee, S.B.; Hong, I.K.; Park, K.A. Ultrasound Energy Effect on Solvent Extraction of Amaranth Seed Oil. J. Korean Ind. Eng. Chem. 2001, 12, 307–311. [Google Scholar]
- Martínez, M.L.; Bordón, M.G.; Lallana, R.L.; Ribotta, P.D.; Maestri, D.M. Optimization of Sesame Oil Extraction by Screw-Pressing at Low Temperature. Food Bioprocess Technol. 2017, 10, 1113–1121. [Google Scholar] [CrossRef]
- Yamada, T.; Sakaguchi, K. Comparative studies on Chlorella cell walls: Induction of protoplast formation. Arch. Microbiol. 1982, 132, 10–13. [Google Scholar] [CrossRef]
- Zheng, H.; Yin, J.; Gao, Z.; Huang, H.; Ji, X.; Dou, C. Disruption of Chlorella vulgaris Cells for the release of biodiesel-producing lipids: A Comparison of grinding, ultrasonication, bead milling, enzymatic lysis, and microwaves. Appl. Biochem. Biotechnol. 2011, 164, 1215–1224. [Google Scholar] [CrossRef] [PubMed]
- Wang, M.; Yuan, W. Microalgal cell disruption in a high-power ultrasonic flow system. Bioresour. Technol. 2015, 193, 171–177. [Google Scholar] [CrossRef] [PubMed]
- Altemimi, A.; Choudhary, R.; Watson, D.G.; Lightfoot, D.A. Effects of ultrasonic treatments on the polyphenol and antioxidant content of spinach extracts. Ultrason. Sonochem. 2015, 24, 247–255. [Google Scholar] [CrossRef] [PubMed]
- Oh, S.H.; Ahn, J.H.; Kang, D.H.; Lee, H.Y. The effect of ultrasonificated extracts of Spirulina maxima on the Anticancer activity. Mar. Biotechnol. 2011, 13, 205–214. [Google Scholar] [CrossRef] [PubMed]
- Dranca, F.; Oroian, M. Optimization of ultrasound-assisted extraction of total monomeric anthocyanin (TMA) and total phenolic content (TPC) from eggplant (Solanum melongena L.) peel. Ultrason. Sonochem. 2016, 31, 637–646. [Google Scholar] [CrossRef] [PubMed]
- Altemimi, A.; Lightfoot, D.A.; Kinsel, M.; Watson, D.G. Employing response surface methodology for the optimization of ultrasound assisted extraction of lutein and β-carotene from spinach. Molecules 2015, 20, 6611–6625. [Google Scholar] [CrossRef] [PubMed]
- Chaiklahan, R.; Chirasuwan, N.; Bunnag, B. Stability of phycocyanin extracted from Spirulina sp.: Influence of temperature, pH and preservatives. Process Biochem. 2012, 47, 659–664. [Google Scholar] [CrossRef]
- Martelli, G.; Folli, C.; Visai, L.; Daglia, M.; Ferrari, D. Thermal stability improvement of blue colorant C-Phycocyanin from Spirulina platensis for food industry applications. Process Biochem. 2014, 49, 154–159. [Google Scholar] [CrossRef]
- Boussiba, S.; Richmond, A.E. Isolation and characterization of phycocyanins from the blue-Green alga Spirulina platensis. Arch. Microbiol. 1979, 120, 155–159. [Google Scholar] [CrossRef]
- Kumar, D.; Dhar, D.W.; Pabbi, S.; Kumar, N.; Walia, S. Extraction and purification of C-phycocyanin from Spirulina platensis (CCC540). Indian J. Plant Physiol. 2014, 19, 184–188. [Google Scholar] [CrossRef] [PubMed]
- Francine, S.A.; Jorge, A.V.C.; Susana, J.K. Thermal degradation kinetics of the phycocyanin from Spirulina platensis. Biochem. Eng. J. 2008, 41, 43–47. [Google Scholar] [CrossRef]
- Cho, S.C.; Choi, W.Y.; Oh, S.H.; Lee, C.G.; Seo, Y.C.; Kim, J.S.; Song, C.H.; Kim, G.V.; Lee, S.Y.; Kang, D.H.; et al. Enhancement of Lipid Extraction from Marine Microalga, Scenedesmus Associated with High-Pressure Homogenization Process. J. Biomed. Biotechnol. 2012, 2012, 359432. [Google Scholar] [CrossRef] [PubMed]
- Choi, W.Y.; Lee, H.Y. Effect of Ultrasonic Extraction on Production and Structural Changes of C-Phycocyanin from Marine Spirulina maxima. Int. J. Mol. Sci. 2018, 19, 220. [Google Scholar] [CrossRef] [PubMed]
- Walter, A.; Carvalho, J.C.; Soccol, V.T.; Faria, A.B.B.; Ghiggi, V.; Soccol, C.R. Study of phycocyanin production from Spirulina platensis under different light spectra. Braz. Arch. Biol. Technol. 2011, 54, 675–682. [Google Scholar] [CrossRef]
- Colla, L.M.; Bertol, C.D.; Ferreira, D.J.; Bavaresco, J.; Costa, J.A.V.; Bertolin, T.E. Thermal and photo-stability of the antioxidant potential of Spirulina platensis powder. Braz. J. Biol. 2016, 77, 332–339. [Google Scholar] [CrossRef] [PubMed]
- Chandrakant, R.M.; Maria, C.R.S.; Knud, V.C.; Xavier, F.; Lars, P.C. Kinetics of Phycocyanobilin Cleavage from C-Phycocyanin by Methanolysis. Comput. Aided Chem. Eng. 2016, 38, 61–66. [Google Scholar] [CrossRef]






| Storage condition | Temperature (°C) | Rate Constant (1/day) | R2 | |
|---|---|---|---|---|
| Dark | 4 | k1(4) * | 0.0020 | 0.9957 |
| 25 | k1(25) * | 0.0053 | 0.9997 | |
| 40 | k1(40) * | 0.0108 | 0.9932 | |
| Light | 4 | k2(4)** | 0.0023 | 0.9990 |
| 25 | k2(25) ** | 0.0065 | 0.9951 | |
| 40 | k2(40) ** | 0.0138 | 0.9970 | |
© 2018 by the authors. Licensee MDPI, Basel, Switzerland. This article is an open access article distributed under the terms and conditions of the Creative Commons Attribution (CC BY) license (http://creativecommons.org/licenses/by/4.0/).
Share and Cite
Choi, W.Y.; Lee, H.Y. Kinetic Analysis of Stabilizing C-Phycocyanin in the Spirulina platensis Extracts from Ultrasonic Process Associated with Effects of Light and Temperature. Appl. Sci. 2018, 8, 1662. https://doi.org/10.3390/app8091662
Choi WY, Lee HY. Kinetic Analysis of Stabilizing C-Phycocyanin in the Spirulina platensis Extracts from Ultrasonic Process Associated with Effects of Light and Temperature. Applied Sciences. 2018; 8(9):1662. https://doi.org/10.3390/app8091662
Chicago/Turabian StyleChoi, Woon Yong, and Hyeon Yong Lee. 2018. "Kinetic Analysis of Stabilizing C-Phycocyanin in the Spirulina platensis Extracts from Ultrasonic Process Associated with Effects of Light and Temperature" Applied Sciences 8, no. 9: 1662. https://doi.org/10.3390/app8091662
APA StyleChoi, W. Y., & Lee, H. Y. (2018). Kinetic Analysis of Stabilizing C-Phycocyanin in the Spirulina platensis Extracts from Ultrasonic Process Associated with Effects of Light and Temperature. Applied Sciences, 8(9), 1662. https://doi.org/10.3390/app8091662
