The Comparative Study on Cutting Performance of Different-Structure Milling Cutters in Machining CFRP
Abstract
Featured Application
Abstract
1. Introduction
2. Experimental Design
3. Results and Discussion
3.1. Analysis of Tool Wear
3.2. Effect of Tool Wear on Machined Surface Quality
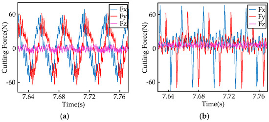
3.3. Effect of Tool Wear on Milling Force
4. Conclusions
- In the coating wear stage, compared with the rhombic milling cutter, the staggered helical milling cutter has alternately arranged continuous cutting edges, which makes the machined surface quality better. However, its wear resistance was relatively weak and the flank wear rate was relatively fast, and thus the scratches in the wear area were more obvious.
- The coating shedding of the staggered helical milling cutter occurred earlier, and thus its cutting edge shape obviously changed with the wear of the substrate material. With the occurrence of damage such as fiber pull-out, tears, burr, and so on, the machined surface quality subsequently decreased.
- When coming into the coating shedding stage, the surface roughness of the rhombic milling cutter grew more slowly. The serious damage did not occur on the machined surface until a large area of the coating fell off. At this time, the chip removal performance of the cutting tool gradually decreased, and obvious chip blockage existed.
- Compared with the staggered helical milling cutter, the rhombic milling cutter could obviously decrease the feed cutting force and the radial cutting force, and even in the condition of tool wear, the three-direction cutting forces increased more slowly. In addition, the axial cutting forces from the two styles of cutting tools were both smaller, and fluctuated only in a small range.
Author Contributions
Funding
Conflicts of Interest
References
- Gordon, S.; Hillery, M.T. A review of the cutting of composite materials. Proc. Inst. Mech. Eng. Part L J. Mater. Des. Appl. 2003, 217, 35–45. [Google Scholar] [CrossRef]
- Maegawa, S.; Morikawa, Y.; Hayakawa, S. Mechanism for changes in cutting forces for down-milling of unidirectional carbon fiber reinforced polymer laminates: Modeling and experimentation. Int. J. Mach. Tools Manuf. 2016, 100, 7–13. [Google Scholar] [CrossRef]
- Abena, A.; Soo, S.L.; Essa, K. A Finite Element Simulation for Orthogonal Cutting of UD-CFRP Incorporating a Novel Fibre-matrix Interface Model. Proc. Cirp. 2015, 31, 539–544. [Google Scholar] [CrossRef]
- Mathivanan, N.R.; Mahesh, B.S.; Shetty, H.A. An experimental investigation on the process parameters influencing machining forces during milling of carbon and glass fiber laminates. Measurement 2016, 91, 39–45. [Google Scholar] [CrossRef]
- Zhou, X.H.; Sun, Y.S.; Wang, W.S. Influences of carbon fabric/epoxy composites fabrication process on its friction and wear properties. J. Mater. Process. Technol. 2009, 209, 4553–4557. [Google Scholar] [CrossRef]
- El-Hofy, M.H.; Soo, S.L.; Aspinwall, D.K.; Sim, W.M.; Pearson, D. Factors Affecting Workpiece Surface Integrity in Slotting of CFRP. Proc. Eng. 2011, 19, 94–99. [Google Scholar] [CrossRef]
- Isbilir, O.; Ghassemieh, E. Finite element analysis of drilling of carbon fibre reinforced composites. Appl. Compos. Mater. 2012, 19, 637–656. [Google Scholar] [CrossRef]
- Ghoreishi, R.; Roohi, A.H.; Ghadikolaei, A.D. Analysis of the influence of cutting parameters on surface roughness and cutting forces in high speed face milling of Al/SiC MMC. Mater. Res. Express 2018. [Google Scholar] [CrossRef]
- Gopal, P.M.; Prakash, K.S. Minimization of cutting force, temperature and surface roughness through GRA, TOPSIS and Taguchi techniques in end milling of Mg hybrid MMC. Measurement 2018, 116, 178–192. [Google Scholar] [CrossRef]
- Teng, X.Y.; Chen, W.Q.; Huo, D.H.; Shyha, I.; Lin, C. Comparison of cutting mechanism when machining micro and nano-particles reinforced SiC/Al metal matrix composites. Compos. Struct. 2018, 203, 636–647. [Google Scholar] [CrossRef]
- Khairusshima, M.K.N.; Sharifah, I.S.S. Study on Tool Wear during Milling CFRP under Dry and Chilled Air Machining. Proc. Eng. 2017, 184, 506–517. [Google Scholar] [CrossRef]
- Jia, Z.; Su, Y.; Niu, B.; Bai, Y.; Bi, G. Deterioration of polycrystalline diamond tools in milling of carbon-fiber-reinforced plastic. J. Compos. Mater. 2016, 51, 2277–2290. [Google Scholar] [CrossRef]
- Slamani, M.; Chatelain, J.F.; Hamedanianpour, H. Comparison of two models for predicting tool wear and cutting force components during high speed trimming of CFRP. Int. J. Mater. Form. 2015, 8, 305–316. [Google Scholar] [CrossRef]
- Karpat, Y.; Polat, N. Mechanistic force modeling for milling of carbon fiber reinforced polymers with double helix tools. CIRP Ann.-Manuf. Technol. 2013, 62, 95–98. [Google Scholar] [CrossRef]
- Chen, L.; Zhang, K.; Cheng, H.; Qi, Z.; Meng, Q. A cutting force predicting model in orthogonal machining of unidirectional CFRP for entire range of fiber orientation. CIRP Ann.-Manuf. Technol. 2016, 89, 1–14. [Google Scholar] [CrossRef]
- Ghafarizadeh, S.; Chatelain, J.F.; Lebrun, G. Finite element analysis of surface milling of carbon fiber-reinforced composites. Int. J. Adv. Manuf. Technol. 2016, 87, 1–11. [Google Scholar] [CrossRef]
- Hintze, W.; Brügmann, F. Influence of spatial tool inclination on delamination when milling CFRP. J. Mater. Process. Technol. 2018, 252, 830–837. [Google Scholar] [CrossRef]
- Pecat, O.; Rentsch, R.; Brinksmeier, E. Influence of milling process parameters on the surface integrity of CFRP. Proc. Cirp. 2012, 1, 466–470. [Google Scholar] [CrossRef]
- Çolak, O.; Sunar, T. Cutting Forces and 3D Surface Analysis of CFRP Milling with PCD Cutting Tools. Proc.Cirp. 2016, 45, 75–78. [Google Scholar] [CrossRef]
- Chen, T.; Gao, F.; Li, S.Y.; Liu, X.L. Experimental Study on Cutting Tool Wear in Milling Carbon Fiber Composites with Spiral Staggered Diamond-coated Milling Cutter. Int. J. Adv. Manuf. Technol. 2018. [Google Scholar] [CrossRef]








| The Style of Cutting Tools | The Rhombic Milling Cutter | The Staggered Helical Milling Cutter |
|---|---|---|
| L = 12 m | ![]() | ![]() |
| L = 24 m | ![]() | ![]() |
| L = 44 m | ![]() | ![]() |
© 2018 by the authors. Licensee MDPI, Basel, Switzerland. This article is an open access article distributed under the terms and conditions of the Creative Commons Attribution (CC BY) license (http://creativecommons.org/licenses/by/4.0/).
Share and Cite
Chen, T.; Gao, F.; Li, S.; Liu, X. The Comparative Study on Cutting Performance of Different-Structure Milling Cutters in Machining CFRP. Appl. Sci. 2018, 8, 1353. https://doi.org/10.3390/app8081353
Chen T, Gao F, Li S, Liu X. The Comparative Study on Cutting Performance of Different-Structure Milling Cutters in Machining CFRP. Applied Sciences. 2018; 8(8):1353. https://doi.org/10.3390/app8081353
Chicago/Turabian StyleChen, Tao, Fei Gao, Suyan Li, and Xianli Liu. 2018. "The Comparative Study on Cutting Performance of Different-Structure Milling Cutters in Machining CFRP" Applied Sciences 8, no. 8: 1353. https://doi.org/10.3390/app8081353
APA StyleChen, T., Gao, F., Li, S., & Liu, X. (2018). The Comparative Study on Cutting Performance of Different-Structure Milling Cutters in Machining CFRP. Applied Sciences, 8(8), 1353. https://doi.org/10.3390/app8081353






