A New Wind Turbine Generating System Model for Balanced and Unbalanced Distribution Systems Load Flow Analysis
Abstract
:1. Introduction
2. Materials and Methods
2.1. Developed Model for WTGSs
- Step 1: Determine initial value of Prp by assuming all of the mechanical power (PT) delivered to the positive-sequence circuit.
- Step 2: Calculate Vrp via Equation (4).
- Step 3: Find Irn and Prn by substituting the Vrp and the Prp values in Equations (6) and (7).
- Step 4: Calculate Ps and Qs values by means of Equations (8)–(13).
- Step 5: Find the relative difference value of Ps and the relative difference value of Qs, which are calculated for the last two iterations (i + 1. and i. iterations), via Equations (14) and (15).
- Step 6: If both calculated relative difference values are larger than tolerance value (ε), update the Prp value by substituting the last calculated Prn value in Equation (3), and return to the Vrp calculation step. Otherwise, finalize the solution algorithm:
2.2. Load Flow Analysis Implementation of Developed Model
3. Results and Discussion
3.1. Validation of Model
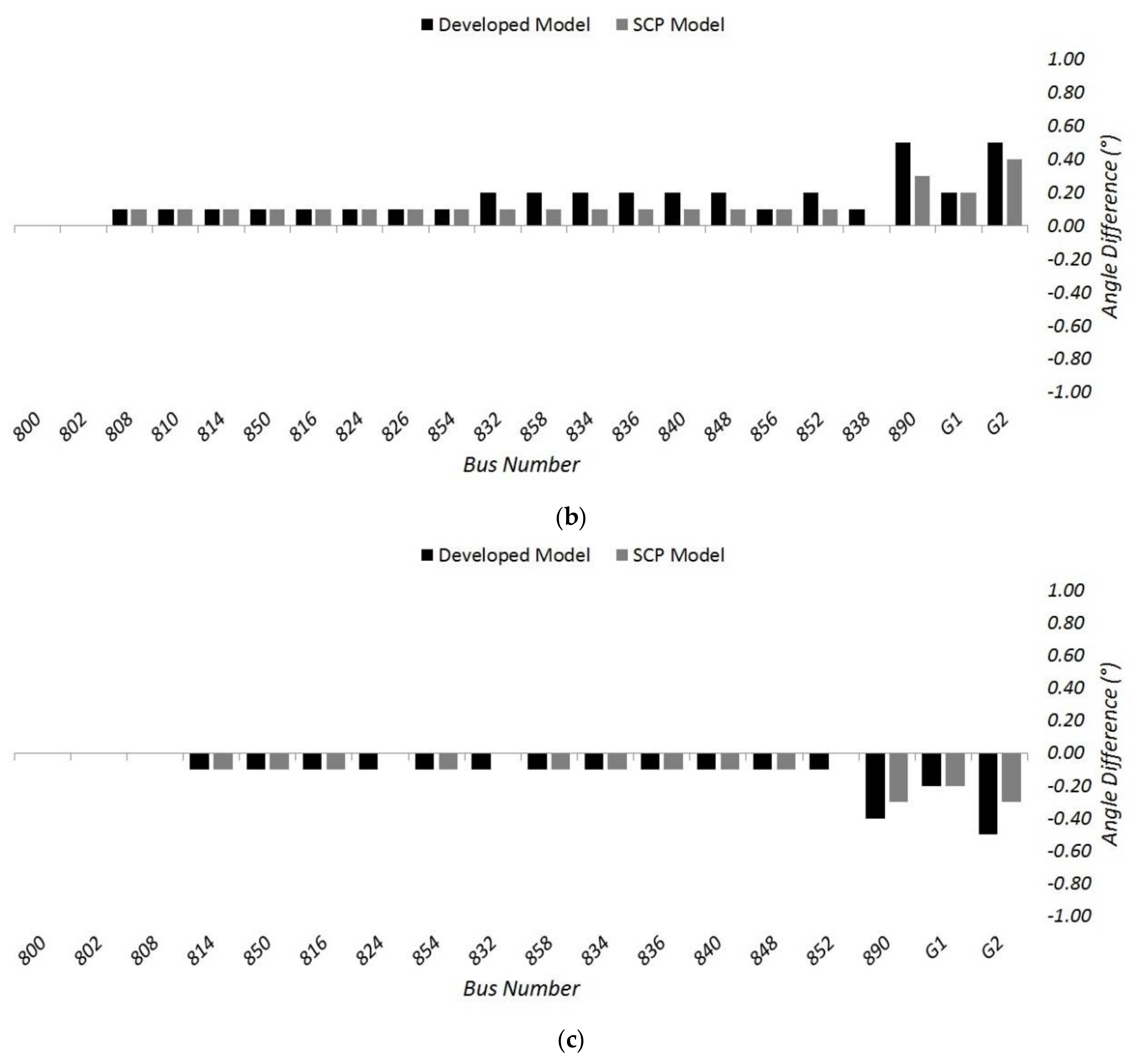
3.2. Load Flow Analysis Results for the IEEE 34 Bus Test System
3.3. Computational Performance of the Models
4. Conclusions
Acknowledgments
Author Contributions
Conflicts of Interest
Appendix A
| Type of Parameters | Values |
|---|---|
| Power (kW) | 7.5 |
| Voltage (V) | 380 |
| Rs (Ohm) | 0.710 |
| Xs (Ohm) | 1.154 |
| Rr (Ohm) | 0.710 |
| Xr (Ohm) | 1.154 |
| Rm (Ohm) | 195.199 |
| Xm (Ohm) | 30.738 |
| Type of Parameters | Values |
|---|---|
| Rated Power (kVA) | 750 |
| Rated Voltage (kV) | 24.9/0.48 |
| R (pu) | %1 |
| X (pu) | %5 |
| Type of Parameters | Values |
|---|---|
| Rated Power (kW) | 660 |
| Rated Voltage (V) | 480 |
| Rs (Ohm) | 0.0018501 |
| Xs (Ohm) | 0.037006 |
| Rr (Ohm) | 0.0024436 |
| Xr (Ohm) | 0.04189 |
| Xm (Ohm) | 1.39636 |
References
- European Renewable Energy Targets. Available online: http://ec.europa.eu/energy/en/topics/renewable-energy (accessed on 25 January 2018).
- The Federal Energy Management Program. Available online: http://energy.gov/eere/femp/achieving-30-renewable-electricity-use-2025 (accessed on 25 January 2018).
- National Renewable Energy Action for Turkey. Available online: http://www.ebrd.com/documents/comms-and-bis/turkey-national-renewable-energy-action-plan.pdf (accessed on 25 January 2018).
- Rashid, M.H. Alternative Energy in Power Electronics, 1st ed.; Elsevier: Oxford, UK, 2015; ISBN 9780124167148. [Google Scholar]
- Amirat, Y.; Benbouzid, M.E.H.; Bensaker, B.; Wamkeue, R. Generators for wind energy conversion systems: State of the art and coming attractions. J. Electr. Syst. 2007, 3, 26–38. [Google Scholar]
- Vita, V. Development of a decision-making algorithm for the optimum size and placement of distributed generation units in distribution networks. Energies 2017, 10, 1433. [Google Scholar] [CrossRef]
- Vita, V.; Alimardan, T.; Ekonomou, L. The impact of distributed generation in the distribution networks’ voltage profile and energy losses. In Proceedings of the 9th IEEE European Modelling Symposium (EMS), Madrid, Spain, 6–8 October 2015; pp. 260–265. [Google Scholar] [CrossRef]
- Haque, M.H. Incorporation of fixed speed wind turbine generators in load flow analysis of distribution systems. Int. J. Renew. Energy Technol. 2015, 6, 317–334. [Google Scholar] [CrossRef]
- Fuchs, E.F.; Masoum, M.A.S. Power Quality in Power Systems and Electrical Machines, 1st ed.; Elsevier Academic Press: Burlington, MA, USA, 2008; ISBN 978-0-12-369536-9. [Google Scholar]
- Eminoglu, U.; Dursun, B.; Hocaoglu, M.H. Incorporation of a new wind turbine generating system model into distribution systems load flow analysis. Wind Energy J. 2009, 12, 375–390. [Google Scholar] [CrossRef]
- Eminoglu, U.; Hocaoglu, M.H. A new power flow method for radial distribution systems including voltage dependent load models. Electr. Power Syst. Res. 2005, 76, 106–114. [Google Scholar] [CrossRef]
- Abdel-Akher, M.; Mahmoud, K. Unbalanced distribution power-flow model and analysis of wind turbine generating systems. Eur. Trans. Electr. Power 2013, 23, 689–700. [Google Scholar] [CrossRef]
- Ghorashi, A.H.; Murthy, S.S.; Singh, B.P.; Singh, B. Analysis of wind driven grid connected induction generators under unbalanced grid conditions. IEEE Trans. Energy Convers. 1994, 9, 217–223. [Google Scholar] [CrossRef]
- Moghaddas-Tafreshi, S.M.; Mashhour, E. Distributed generation modeling for power flow studies and a three-phase unbalanced power flow solution for radial distribution systems considering distributed generation. Electr. Power Syst. Res. 2009, 79, 680–686. [Google Scholar] [CrossRef]
- Fengli, J.; Zailin, P.; Shihong, W.; Rui, H.; Yunan, Z. Power Flow Calculation for Radial Distribution Systems with Distributed Generation. In Proceedings of the 2012 International Conference on Mechatronics and Automation (ICMA), Chengdu, China, 5–8 August 2012; pp. 1287–1291. [Google Scholar] [CrossRef]
- Yang, X.; Wei, Z.; Sun, G.; Sun, Y.; Yuan, Y.; Lu, Z.; Xu, X.; Huang, L. Power flow calculation for unbalanced three-phase distribution network with DGs based on phase-sequence hybrid modeling. In Proceedings of the 2013 IEEE International Conference on Smart Energy Grid Engineering (SEGE), Oshawa, ON, Canada, 28–30 August 2013; pp. 1–6. [Google Scholar] [CrossRef]
- Balci, M.E.; Hocaoglu, M.H.; Koksoy, A.; Ozturk, O.; Dursun, B. A fixed speed induction generator model for unbalanced power flow analysis. In Proceedings of the 2014 16th International Conference on Harmonics and Quality of Power (ICHQP), Bucharest, Romania, 25–28 May 2014; pp. 209–213. [Google Scholar] [CrossRef]
- Feij´oo, A.; Villanueva, D. A PQ model for asynchronous machines based on rotor voltage calculation. In IEEE Transactions Energy Conversion; IEEE: Piscataway, NJ, USA, 2016; Volume 31, pp. 813–814. [Google Scholar] [CrossRef]
- Divya, K.C.; Rao, P.S.N. Models for wind turbine generating systems and their application in load flow studies. Electr. Power Syst. Res. 2006, 76, 844–856. [Google Scholar] [CrossRef]
- IEEE Power & Energy Soceity. 34-Bus Feeder (XLS and DOC). Available online: http://www.ewh.ieee.org/soc/pes/dsacom/testfeeders/feeder34.zip (accessed on 25 January 2018).
- Mathworks. Matlab Software documentation. Available online: http://www.mathworks.com/help/matlab/language-fundamentals.html (accessed on 25 January 2018).
- Dugan, R.C. Reference Guide. The Open Distribution Simulator (OpenDSS). Available online: http://download2.nust.na/pub4/sourceforge/e/el/electricdss/OpenDSS/OpenDSSManual.pdf (accessed on 25 January 2018).
- Eminoglu, U.; Hocaoglu, M.H. Distribution systems forward/backward sweep-based power flow algorithms: A review and comparison study. Electr. Power Compon. Syst. 2008, 37, 91–110. [Google Scholar] [CrossRef]
- IEC Standard 60034-26. Rotating Electrical Machines, Part 26: Effects of Unbalanced Voltages on the Performance of Three-Phase Induction Motors; IEC: Geneva, Switzerland, 2014. [Google Scholar]
- Jouanne, A.; Banerjee, B. Assessment of voltage unbalance. IEEE Trans. Power Deliv. 2001, 16, 782–790. [Google Scholar] [CrossRef]
- BS EN 50160:2010+A1:2015. Voltage Characteristics of Electricity Supplied by Public Distribution Systems; CENELEC: Brussels, Belgium, 2015. [Google Scholar]
- Dugan, R.C.; Kersting, W.H. Induction machine test case for the 34-bus test feeder-description. In Proceedings of the IEEE Power Engineering Society General Meeting, Montreal, QC, Canada, 18–22 June 2006. [Google Scholar] [CrossRef]













| Developed Model | SCP Model [12] | ||
|---|---|---|---|
| General Iteration | Maximum Machine Iteration | General Iteration | Maximum Machine Iteration |
| 11 | 2 | 12 | 6 |
© 2018 by the authors. Licensee MDPI, Basel, Switzerland. This article is an open access article distributed under the terms and conditions of the Creative Commons Attribution (CC BY) license (http://creativecommons.org/licenses/by/4.0/).
Share and Cite
Koksoy, A.; Ozturk, O.; Balci, M.E.; Hocaoglu, M.H. A New Wind Turbine Generating System Model for Balanced and Unbalanced Distribution Systems Load Flow Analysis. Appl. Sci. 2018, 8, 502. https://doi.org/10.3390/app8040502
Koksoy A, Ozturk O, Balci ME, Hocaoglu MH. A New Wind Turbine Generating System Model for Balanced and Unbalanced Distribution Systems Load Flow Analysis. Applied Sciences. 2018; 8(4):502. https://doi.org/10.3390/app8040502
Chicago/Turabian StyleKoksoy, Ahmet, Onur Ozturk, Murat Erhan Balci, and Mehmet Hakan Hocaoglu. 2018. "A New Wind Turbine Generating System Model for Balanced and Unbalanced Distribution Systems Load Flow Analysis" Applied Sciences 8, no. 4: 502. https://doi.org/10.3390/app8040502
APA StyleKoksoy, A., Ozturk, O., Balci, M. E., & Hocaoglu, M. H. (2018). A New Wind Turbine Generating System Model for Balanced and Unbalanced Distribution Systems Load Flow Analysis. Applied Sciences, 8(4), 502. https://doi.org/10.3390/app8040502

