Study on Lubrication Performance of Journal Bearing with Multiple Texture Distributions
Abstract
1. Introduction
2. Simulation Model
2.1. Geometry of the Journal Bearing
2.2. Journal Bearing Model with Spherical Texture
2.3. Numerical Solution
- Solution of the Reynolds equation
- (a)
- The Reynolds boundary is applied in the bearing modelling process. The effect of cavitation is not included in the analysis, either in terms of the single-phase analysis used or in the application of the boundary conditions, which is considered in a thermo-hydrodynamic analysis of the bearing with the CFD approach [17,18].
- (b)
- In the plane, the journal bearing is meshed into and grids along the and directions, where is and is .
- (c)
- The five-points difference method is used to discretize Equation (4). The symmetric successive over relaxation (SSOR) method is used to solve the discrete algebraic system of equations and the pressure is obtained.
- Solution of lubrication parameters of the journal bearing
- (a)
- Load capacity of the journal bearingThe calculated oil film pressure is numerically integrated in the whole fluid domain along the and directions, and the load capacities and can be obtained as follows:In both cases, the total load capacity and the attitude angle can be calculated as:
- (b)
- Friction coefficientThe shear stress of the slip plane between the friction pairs can be given as [19]:The friction force can be expressed as the integral of the shear stress on the slip plane:According to Equations (6) and (9), the expression of the friction coefficient can be given as:
3. Model Verification
4. Lubrication of the Concave/Convex Textured Bearing
4.1. Effect of Texture Depth
4.2. Effect of Area Density
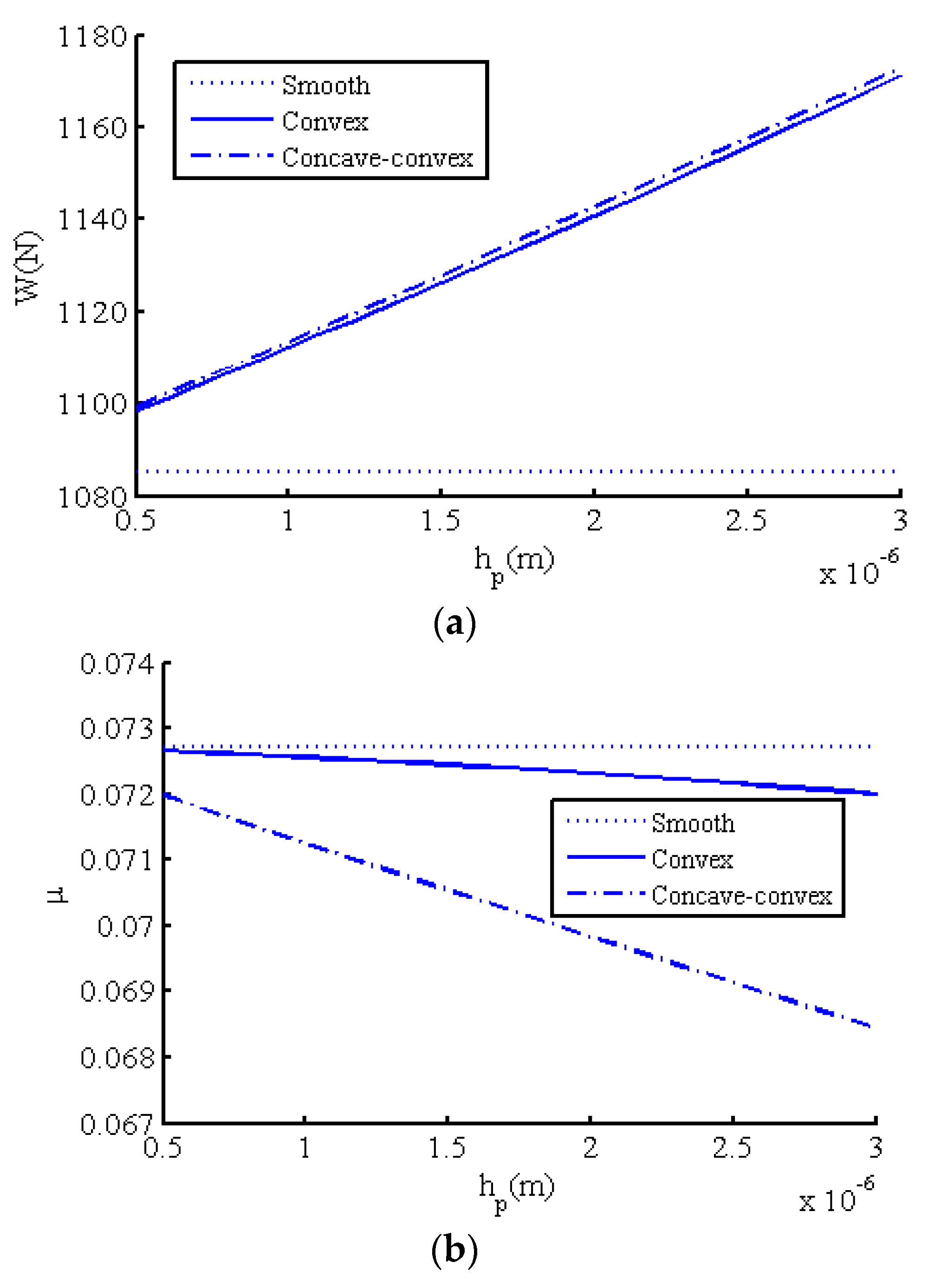
5. Concave-Convex Composite Spherical Texture
5.1. Effect of Texture Depth
5.2. Effect of Area Density
6. Conclusions
- (1)
- The load capacity of the concave spherical textured bearing is lower than that of the plain bearing, and the friction coefficient is hardly affected by the concave texture. The convex spherical texture can increase the bearing load capacity and friction coefficient at the same time, but the reduction in friction coefficient is fairly slight.
- (2)
- The concave-convex composite spherical texture can improve the load capacity and the friction coefficient of the bearing. In contrast to the convex texture, the beneficial effect introduced by the composite texture on the friction coefficient is as significant as that on load capacity.
- (3)
- In addition to the load capacity and the friction coefficient, the oil film region is expanded in the composite texture case, as well. That is to say, the proposed convex-concave composite texture has significant potential for lubrication improvement of the bearing.
Acknowledgments
Author Contributions
Conflicts of Interest
Nomenclature
| Parameters and Variables | |
| radial clearance | |
| eccentricity | |
| friction force | |
| film thickness | |
| film thickness of the untextured bearing | |
| texture depth | |
| width of the journal bearing | |
| number of grid points along X and Z directions | |
| number of meshes along X and Z directions | |
| centers of the journal bearing and the shaft | |
| film pressure | |
| radii of the journal bearing and the shaft | |
| base radius of the spherical texture | |
| relative linear sliding velocity of the bearing and the shaft | |
| total load capacity | |
| load capacities along X and Y direction | |
| local coordinates of the mesh along X, Y and Z directions | |
| coordinates of the bearing along circumferential, radial and axial directions | |
| coordinates of the texture center | |
| ratio of the load capacity between the textured bearing and the smooth bearing | |
| ratio of the friction coefficient between the textured bearing and the smooth bearing | |
| eccentric ratio | |
| dynamic viscosity of lubricant | |
| friction coefficient | |
| shear stress of the slip plane between the friction pairs | |
| angle between the load coordinate and the centerline O1O2 | |
| angular velocity of the shaft | |
References
- Gualtieri, E.; Borghi, A.; Calabri, L.; Pugno, N.; Valeri, S. Increasing nanohardness and reducing friction of nitride steel by laser surface texturing. Tribol. Int. 2009, 42, 699–705. [Google Scholar]
- Andersson, P.; Koskinen, J.; Varjus, S.; Gerbig, Y.; Haefke, H.; Georgiou, S.; Zhmud, B.; Buss, W. Microlubrication effect by laser-textured steel surfaces. Wear 2007, 262, 369–379. [Google Scholar]
- Etsion, I. State of the art in laser surface texturing. Trans. ASME 2005, 127, 248–253. [Google Scholar] [CrossRef]
- Erdemir, A. Review of engineered tribological interfaces for improved boundary lubrication. Tribol. Int. 2005, 38, 249–256. [Google Scholar] [CrossRef]
- Hamilton, D.B.; Walowit, J.A.; Allen, C.M. A theory of lubrication by microirregularities. J. Basic Eng. 1966, 88, 177–185. [Google Scholar] [CrossRef]
- Etsion, I. Improving tribological performance of mechanical components by laser surface texturing. Tribol. Lett. 2004, 17, 733–737. [Google Scholar] [CrossRef]
- Cupillard, S. Lubrication of Conformal Contacts with Surface Texturing. Licentiate Thesis, Lulea Tekniska University, Luleå, Sweden, 2007. [Google Scholar]
- Brizmer, V.; Kligerman, Y. A laser surface textured journal bearing. J. Tribol. 2012, 134, 1–9. [Google Scholar] [CrossRef]
- Tala-Ighil, N.; Maspeyrot, P.; Fillon, M.; Abdelhamid, B. Hydrody-namic effects of texture geometries on journal bearing surfaces. In Proceedings of the The 10th International Conference on Tri-bology, Bucharest, Romania, 8–10 November 2007; pp. 47–52. [Google Scholar]
- Rahmani, R.; Mirzaee, I.; Shirvani, A.; Shirvani, H. An analytical approach for analysis and optimisation of slider bearings with infinite width parallel textures. Tribol. Int. 2010, 43, 1551–1565. [Google Scholar] [CrossRef]
- Brizmer, V.; Kligerman, Y.; Etsion, I. A laser surface textured parallel thrust bearing. Tribol. Trans. 2003, 46, 397–403. [Google Scholar] [CrossRef]
- Rao, T.V.V.L.N.; Rani, A.M.A.; Nagarajan, T.; Hashim, F.M. Analysis of couple stress fluid lubricated partially textured slip slider and journal bearing using narrow groove theory. Tribol. Int. 2014, 69, 1–9. [Google Scholar] [CrossRef]
- Adatepe, H.; Bıyıklıoglu, A.; Sofuoglu, H. An experimental investigation on frictional behavior of statically loaded micro-grooved journal bearing. Tribol. Int. 2011, 44, 1942–1948. [Google Scholar] [CrossRef]
- Adatepe, H.; Bıyıklıoglu, A.; Sofuoglu, H. An investigation of tribological behaviors of dynamically loaded non-grooved and micro-grooved journal bearings. Tribol. Int. 2013, 58, 12–19. [Google Scholar] [CrossRef]
- Pinkus, O.; Sternlicht, B. Theory of Hydrodynamic Lubrication; McGraw-Hill: New York, NY, USA, 1961. [Google Scholar]
- Tala-Ighil, N.; Maspeyrot, P.; Fillon, M.; Bounif, A. Effects of surface texture on journal-bearing characteristics under steady-state operating conditions. Proc. IMechE Part J J. Eng. Tribol. 2007, 221, 623–633. [Google Scholar] [CrossRef]
- Tucker, P.G.; Keogh, P.S. A generalized computational fluid dynamics approach for journal bearing performance prediction. Proc. IMechE Part J J. Eng. Tribol. 1995, 209, 99–108. [Google Scholar] [CrossRef]
- Shahmohamadi, H.; Rahmani, R.; Rahnejat, H.; Garner, C.P.; Dowson, D. Big end bearing losses with thermal cavitation flow under cylinder deactivation. Tribol. Lett. 2015, 57. [Google Scholar] [CrossRef]
- Rao, T.V.V.L.N.; Rani, A.M.A.; Nagarajan, T.; Hashim, E.M. Analysis of slider and journal bearing using partially textured slip surface. Tribol. Int. 2012, 56, 121–128. [Google Scholar] [CrossRef]
- Jiang, Y.; Ma, F.; Liu, P.; An, Q. School of Mechanical and Power Engineering, East China University of Science and Technology. Effects of micro-shperical surface texture on the performance of journal bearings. J. East China Univ. Sci. Technol. 2014, 40, 539–544. (In Chinese) [Google Scholar]










| Texture Types | W (KN) | ∆W (%) | µ | ∆µ (%) |
|---|---|---|---|---|
| Plain (baseline) | 1.09 | 0 | 0.073 | 0 |
| Convex | 1.22 | +11.93 | 0.072 | −1.4 |
| Concave-convex composite | 1.22 | +11.93 | 0.066 | −9.59 |
© 2018 by the authors. Licensee MDPI, Basel, Switzerland. This article is an open access article distributed under the terms and conditions of the Creative Commons Attribution (CC BY) license (http://creativecommons.org/licenses/by/4.0/).
Share and Cite
Wang, J.; Zhang, J.; Lin, J.; Ma, L. Study on Lubrication Performance of Journal Bearing with Multiple Texture Distributions. Appl. Sci. 2018, 8, 244. https://doi.org/10.3390/app8020244
Wang J, Zhang J, Lin J, Ma L. Study on Lubrication Performance of Journal Bearing with Multiple Texture Distributions. Applied Sciences. 2018; 8(2):244. https://doi.org/10.3390/app8020244
Chicago/Turabian StyleWang, Jun, Junhong Zhang, Jiewei Lin, and Liang Ma. 2018. "Study on Lubrication Performance of Journal Bearing with Multiple Texture Distributions" Applied Sciences 8, no. 2: 244. https://doi.org/10.3390/app8020244
APA StyleWang, J., Zhang, J., Lin, J., & Ma, L. (2018). Study on Lubrication Performance of Journal Bearing with Multiple Texture Distributions. Applied Sciences, 8(2), 244. https://doi.org/10.3390/app8020244
