Design and Application of a Standalone Hybrid Wind–Solar System for Automatic Observation Systems Used in the Polar Region
Abstract
1. Introduction
2. Observing-System and Power-System Considerations
2.1. Deployment of Observing System in the Arctic Ocean
2.2. Environmental Analysis
2.3. New Observing System and Power System
2.4. Mathematical Modeling of the Power System
2.4.1. PV Array
2.4.2. Wind Turbine
2.4.3. Low-Temperature Characteristics of PV Panel
3. Experiment on Low-Temperature Battery Characteristics
3.1. Low-Temperature Calibration Experiment of the Battery Capacity
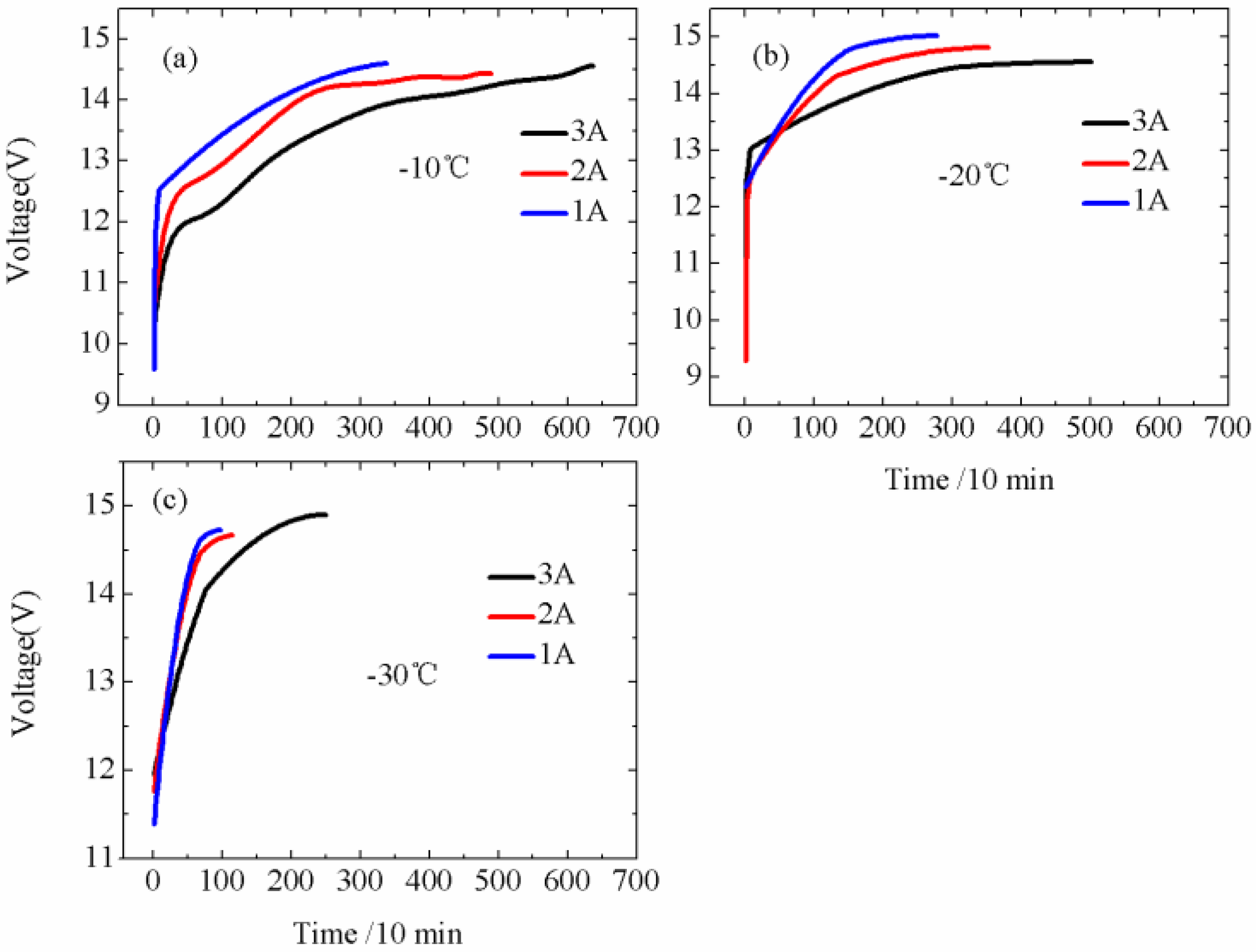
3.2. Low-Temperature Charging Experiment of Lead–Acid Battery
3.3. Charging Strategy
4. Circuit Design
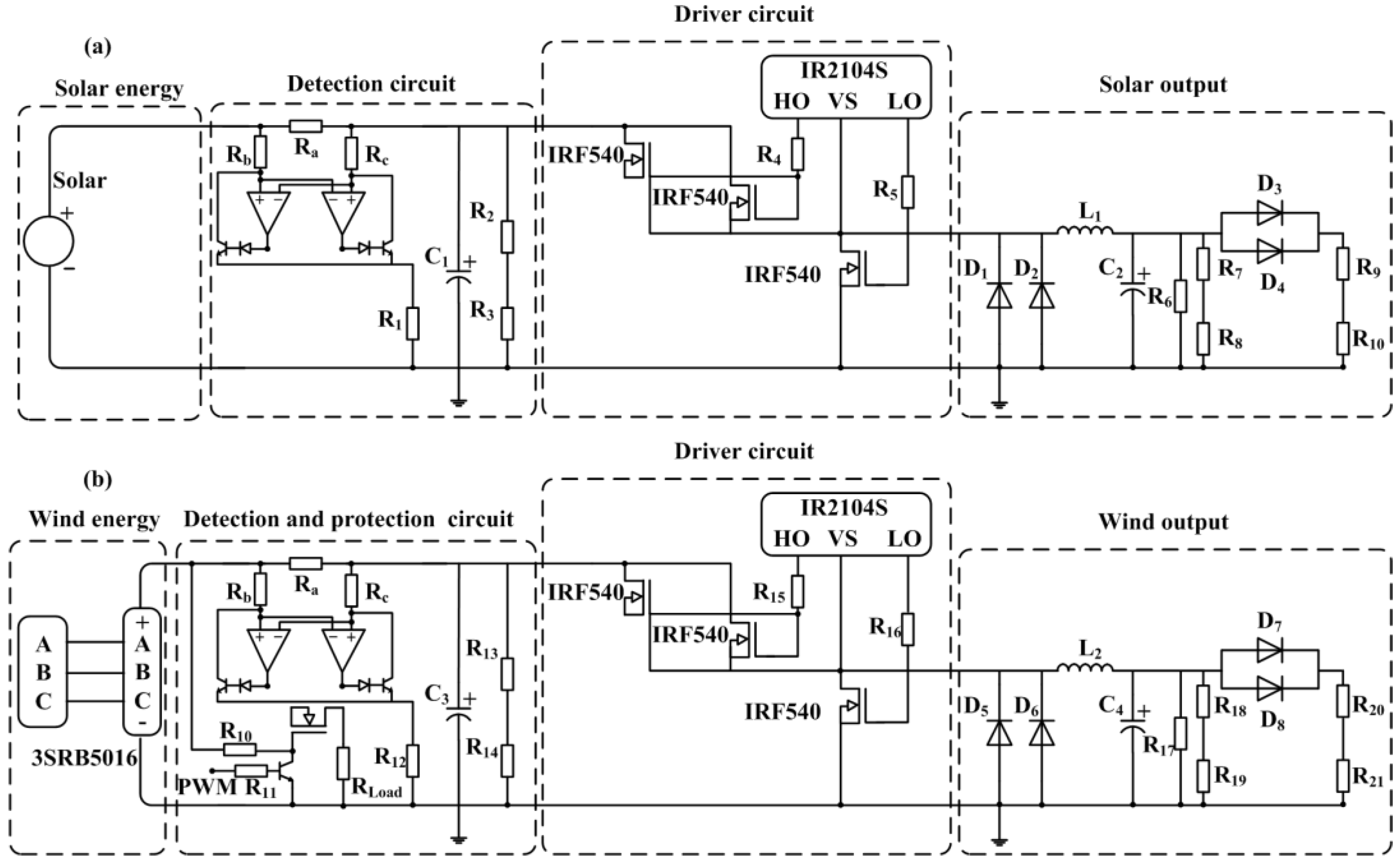
4.1. Charging Circuit
4.2. Driver Circuit
4.3. Detection Circuit
4.4. ADC Circuit and Auxiliary Circuit
5. Performance Evaluation of the Charging Circuit
5.1. Temperature Dependence of the Detection Circuit
5.2. Temperature Dependence of the ADC Circuit
5.3. Temperature-Correction Algorithm for the Power System
6. Results
6.1. Monthly Average Energy Production from the PV Panel and the WT
6.2. Case Study in Antarctica
7. Conclusions
Author Contributions
Funding
Acknowledgments
Conflicts of Interest
References
- Rothrock, D.A.; Percival, D.B.; Wensnahan, M. The decline in arctic sea-ice thickness: Separating the spatial, annual, and interannual variability in a quarter century of submarine data. J. Geophys. Res. Oceans 2008, 113, C05003. [Google Scholar] [CrossRef]
- Perovich, D.K.; Grenfell, T.C.; Light, B. Transpolar observations of the morphological properties of Arctic sea ice. J. Geophys. Res. 2009, 114, C00A04. [Google Scholar] [CrossRef]
- Haas, C.; Hendricks, S.; Eicken, H. Synoptic airborne thickness surveys reveal state of Arctic sea ice cover. Geophys. Res. Lett. 2010, 37. [Google Scholar] [CrossRef]
- Haas, C.; Pfaffling, A.; Hendricks, S. Reduced ice thickness in Arctic Transpolar Drift favours rapid ice retreat. Geophys. Res. Lett. 2008, 35, L17501. [Google Scholar] [CrossRef]
- Rack, W.; Haas, C.; Langhorne, P. Airborne thickness and freeboard measurements over the McMurdo Ice Shelf, Antarctica, and implications for ice density. J. Geophys. Res. Oceans 2013. [Google Scholar] [CrossRef]
- Richter-Menge, J.A.; Perovich, D.K.; Elder, B. Ice mass balance buoys: A tool for measuring and attributing changes in the thickness of the Arctic sea ice cover. Ann. Glaciol. 2006, 44, 205–210. [Google Scholar] [CrossRef]
- Jackson, K.; Wilkinson, J.; Maksym, T. A novel and low cost sea ice mass balance buoy. J. Atmos. Ocean. Technol. 2013, 30, 13825. [Google Scholar] [CrossRef]
- Wang, H.Z.; Chen, Y.; Song, H. A Fiber Optic Spectrometry System for Measuring Irradiance Distributions in Sea Ice Environment. Atmos. Ocean. Technol. 2014, 31, 2844. [Google Scholar] [CrossRef]
- Lei, R.B.; Li, N.; Heil, P. Multiyear sea ice thermal regimes and oceanic heat flux derived from an ice mass balance buoy in the Arctic Ocean. J. Geophys. Res. Oceans 2014, 119, 537–547. [Google Scholar] [CrossRef]
- Lei, R.B.; Cheng, B.; Heil, P. Seasonal and Interannual Variations of Sea Ice Mass Balance From the Central Arctic to the Greenland Sea. J. Geophys. Res. Oceans 2018. [Google Scholar] [CrossRef]
- Borowy, B.S.; Salameh, Z.M. Optimum photovoltaic array size for a hybrid wind/PV system. IEEE Trans. Energy Convers. 1994, 9, 482–488. [Google Scholar] [CrossRef]
- Deshmukh, M.K.; Deshmukh, S.S. Modeling of hybrid renewable energy systems. Renew. Sustain. Energy Rev. 2008, 12, 235–249. [Google Scholar] [CrossRef]
- Bilal, B.O.; Sambou, V.; Ndiaya, P.A. Optimal design of a hybrid solar–wind-battery system using the minimization of the annualized cost system and the minimization of the loss of power supply probability (LPSP). Renew. Energy 2010, 35, 2388–2390. [Google Scholar] [CrossRef]
- Diaf, S.; Diaf, D.; Belhamel, M. A methodology for optimal sizing of autonomous hybrid PV/wind system. Energy Policy 2007, 35, 1303–1307. [Google Scholar] [CrossRef]
- Dihrab, S.S.; Sopian, K. Electricity generation of hybrid PV/wind systems in Iraq. Renew. Energy 2010, 35, 1303–1307. [Google Scholar] [CrossRef]
- Ghoddami, H.; Delghavi, M.B.; Yazdain, A. An integrated wind-photovoltaic-battery system with reduced power-electronic interface and fast control for grid-tied and off-grid applications. Renew. Energy 2012, 45, 128–137. [Google Scholar] [CrossRef]
- Sreeraj, E.S.; Chatterjee, K.; Bandyopadhyay, S. Design of isolated renewable hybrid power systems. Sol. Energy 2010, 84, 1124–1136. [Google Scholar] [CrossRef]
- Gunasekaran, M.; Ismail, H.M.; Chokkalingam, B. Energy Management Strategy for Rural Communities’ DC Micro Grid Power System Structure with Maximum Penetration of Renewable Energy Sources. Appl. Sci. 2018, 8, 585–608. [Google Scholar] [CrossRef]
- Vasiliev, M.; Alameh, K.; Nur-E-Alam, M. Spectrally-Selective Energy-Harvesting Solar Windows for Public Infrastructure Applications. Appl. Sci. 2018, 8, 849–864. [Google Scholar] [CrossRef]
- Kadir, A.E.; Hu, A.P. A Power Processing Circuit for Indoor Wi-Fi Energy Harvesting for Ultra-Low Power Wireless Sensors. Appl. Sci. 2017, 7, 827–845. [Google Scholar] [CrossRef]
- Ma, T.; Yang, Y.X.; Lu, L. Technical feasibility study on a standalone hybrid solar-wind system with pumped hydro storage for a remote island in Hong Kong. Renew. Energy 2014, 69, 7–15. [Google Scholar] [CrossRef]





















| Sensor Name | Performance | Sensor Model |
|---|---|---|
| Wind speed | Temperature range: −60–30 °C Accuracy: 0.5 m/s | TYUT |
| Wind direction | Temperature range: −60–30 °C Accuracy: 0.3° | TYUT |
| Air temperature | Temperature range: −60–10 °C Accuracy: 0.1 °C | HMP155A, Vaisala, Finland |
| Humidity | Temperature range: −60–10 °C Accuracy: 2%RH | HMP155A, Vaisala, Finland |
| Atmospheric pressure | Temperature range: −60–30 °C Accuracy: 0.6 hPa | CS106/PTB110, Vaisala, Finland |
| Thermistor string | Temperature range: −60–30 °C Accuracy: 0.1 °C | TYUT |
| Spectroradiometer | Temperature range: −60–30 °C Accuracy: 5% | TriOS, TriOS Optical Sensors, Germany |
| Characteristics | Value |
|---|---|
| Open circuit voltage (Voc) | 21.6 V |
| Optimum operating voltage (Vmp) | 18 V |
| Short circuit current (Isc) | 0.916 A |
| Optimum operating current (Imp) | 0.833 A |
| Maximum power at STC 1 (Pmax) | 15 W |
| Characteristics | Value |
|---|---|
| Rated power | 10 W (1 min average at 10 m/s) |
| Peak power | 12 W |
| Cut-in speed | 3 m/s |
| Cut-off speed | 40 m/s |
| Temperature range | −60–10 °C |
| Temperature (°C) | Charging Current (A) | Battery Capacity (Ah) |
|---|---|---|
| −10 °C | 1 A | 40.0 |
| −10 °C | 2 A | 45.4 |
| −10 °C | 3 A | 47.1 |
| −20 °C | 1 A | 30.0 |
| −20 °C | 2 A | 27.4 |
| −20 °C | 3 A | 25.0 |
| −30 °C | 1 A | 16.7 |
| −30 °C | 2 A | 16.5 |
| −30 °C | 3 A | 16.2 |
| Environmental Conditions | PV Output Status 1 | Wind Turbine Output Status 1 | |
|---|---|---|---|
| Polar day | Wind energy available | MPPT | MPPT |
| Polar day | Wind energy unavailable | MPPT | Not working |
| Polar night | Wind energy available | Not working | MPPT |
| Polar night | Wind energy unavailable | Not working | Not working |
| Environmental Conditions | Current 1 | PV Output Status | Wind Turbine Output Status 1 | |
|---|---|---|---|---|
| Polar day | Wind energy available | Is + Iw > Imax | MPPT | Current-limiting |
| Polar day | Wind energy available | Is + Iw < Imax | MPPT | MPPT |
| Polar day | Wind energy available | Is > Imax | Current-limiting | Unloading |
| Polar day | Wind energy unavailable | Is > Imax | Current-limiting | Not working |
| Polar day | Wind energy unavailable | Is ≤ Imax | MPPT | Not working |
| Polar night | Wind energy available | Iw > Imax | Not working | Current-limiting |
| Polar night | Wind energy available | Iw ≤ Imax | Not working | MPPT |
| Polar night | Wind energy unavailable | Is + Iw = 0 | Not working | Not working |
© 2018 by the authors. Licensee MDPI, Basel, Switzerland. This article is an open access article distributed under the terms and conditions of the Creative Commons Attribution (CC BY) license (http://creativecommons.org/licenses/by/4.0/).
Share and Cite
Zuo, G.; Dou, Y.; Chang, X.; Chen, Y. Design and Application of a Standalone Hybrid Wind–Solar System for Automatic Observation Systems Used in the Polar Region. Appl. Sci. 2018, 8, 2376. https://doi.org/10.3390/app8122376
Zuo G, Dou Y, Chang X, Chen Y. Design and Application of a Standalone Hybrid Wind–Solar System for Automatic Observation Systems Used in the Polar Region. Applied Sciences. 2018; 8(12):2376. https://doi.org/10.3390/app8122376
Chicago/Turabian StyleZuo, Guangyu, Yinke Dou, Xiaomin Chang, and Yan Chen. 2018. "Design and Application of a Standalone Hybrid Wind–Solar System for Automatic Observation Systems Used in the Polar Region" Applied Sciences 8, no. 12: 2376. https://doi.org/10.3390/app8122376
APA StyleZuo, G., Dou, Y., Chang, X., & Chen, Y. (2018). Design and Application of a Standalone Hybrid Wind–Solar System for Automatic Observation Systems Used in the Polar Region. Applied Sciences, 8(12), 2376. https://doi.org/10.3390/app8122376
