Green Synthesis of Iron Nanoparticles by Acacia nilotica Pods Extract and Its Catalytic, Adsorption, and Antibacterial Activities
Abstract
:Featured Application
Abstract
1. Introduction
2. Materials and Methods
2.1. Chemicals
2.2. Preparation of Acacia nilotica Extract (ANE)
2.3. Green Synthesis of FeNP
2.4. Methyl Orange (MO) Solutions Preparation
2.5. Catalytic Degradation Experiments
2.6. Characterization
2.7. pH of Zero Charge (pHZC)
2.8. Adsorption Tests
2.9. Effect of pH
2.10. Kinetics Experiment
2.11. Antimicrobial Activity of FeNP Acacia nilotica Seedless Pods Extract
2.12. Monitoring the Inhibitory Effect of FeNP on Pathogenic Microorganisms
3. Results and Discussion
3.1. UV-Vis Spectroscopic Analysis
3.2. FT-IR Analysis
3.3. Energy Dispersive Spectroscopy (EDS) Analysis
3.4. SEM Scanning
3.5. Catalytic Degradation of MO
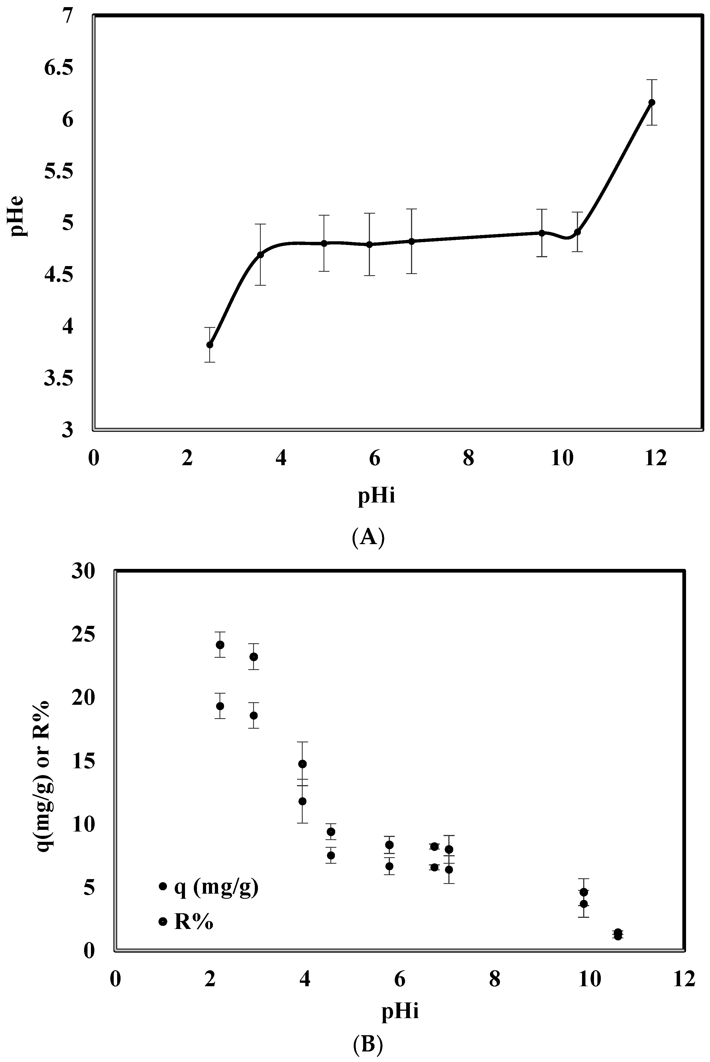
3.6. Effect of Temperature and MO Concentration on Adsorption
3.7. Kinetic Analysis
3.8. FeNP Antimicrobial Activity
4. Conclusions
Author Contributions
Acknowledgments
Conflicts of Interest
References
- Saif, S.; Tahir, A.; Chen, Y. Green synthesis of iron nanoparticles and their environmental applications and implications. Nanomaterials 2016, 6, 209. [Google Scholar] [CrossRef] [PubMed]
- Bharadwaj, M.S.; Prem, K.; Satyanandam, K.; Engg, C. Green synthesis of iron nanoparticles using albizia lebbeck leaves for synthetic syes decolorization. Int. J. Sci. Eng. Technol. Res. 2016, 5, 3429–3434. [Google Scholar]
- Badmapriya, D.; Asharani, I.V. Dye degradation studies catalysed by green synthesized iron oxide nanoparticles. Int. J. ChemTech Res. 2016, 9, 409–416. [Google Scholar]
- Shih, Y.; Tso, C.; Tung, L. Rapid degradation of methyl orange with nanoscale zerovalent iron particles. J. Environ. Eng. Manag. 2010, 20, 137–143. [Google Scholar]
- Ci, M.; Kich, Ę.Ż. Controlled synthesis of iron oxide nanoparticles used as an efficient heavy metal ions adsorbent. Proc. ECOpole 2015, 9, 14–16. [Google Scholar] [CrossRef]
- Saranya, S.; Vijayarani, K.; Pavithra, S. Green synthesis of iron nanoparticles using aqueous extract of musa ornate flower sheath against Pathogenic Bacteria. Indian J. Pharm. Sci. 2017, 79, 688–694. [Google Scholar] [CrossRef]
- Veeramanikandan, V.; Madhu, G.C.; Pavithra, V.; Jaianand, K.; Balaji, P. Green synthesis, characterization of iron oxide nanoparticles using leucas aspera leaf extract and evaluation of antibacterial and antioxidant studies. Int. J. Agric. Innov. Res. 2017, 6, 242–250. [Google Scholar]
- Kanagasubbulakshmi, S.; Kadirvelu, K. Green synthesis of iron oxide nanoparticles using lagenaria siceraria and evaluation of its antimicrobial activity. Def. life Sci. J. 2017, 2, 422–427. [Google Scholar] [CrossRef]
- Behera, S.S.; Patra, J.K.; Pramanik, K.; Panda, N.; Thatoi, H. Characterization and evaluation of antibacterial activities of chemically synthesized iron oxide nanoparticles. World J. Nano Sci. Eng. 2012, 02, 196–200. [Google Scholar] [CrossRef]
- Shahwan, T.; Abu Sirriah, S.; Nairat, M.; Boyaci, E.; Eroĝlu, A.E.; Scott, T.B.; Hallam, K.R. Green synthesis of iron nanoparticles and their application as a fenton-like catalyst for the degradation of aqueous cationic and anionic dyes. Chem. Eng. J. 2011, 172, 258–266. [Google Scholar] [CrossRef]
- Wang, C.; Liu, H.; Sun, Z. Heterogeneous photo-fenton reaction catalyzed by nanosized iron oxides for water treatment. Int. J. Photoenergy 2012, 2012, 1–10. [Google Scholar] [CrossRef]
- Machala, L.; Zboril, R.; Gedanken, A. Review articles. J. Phys. Chem. B 2007, 111, 4003–4018. [Google Scholar] [CrossRef] [PubMed]
- Maliar, T.; Bozenko, J.; Cesiulis, H.; Prosycevas, I. Electrochemical aspects of the synthesis of iron particles. Mater. Sci. 2012, 18, 223–227. [Google Scholar] [CrossRef]
- Rashmi, S.; Madhu, G.; Kittur, A.; Suresh, R. Synthesis, characterization and application of zero valent iron nanoparticles for the removal of toxic metal hexavalent chromium from aqueous solution. Int. J. Curr. Eng. Technol. 2013, 37–42. [Google Scholar]
- Dhuper, S.; Panda, D.; Nayak, P.L. Green synthesis and characterization of zero valent iron nanoparticles from the leaf extract of mangifera indica. Nano Trends A J. Nanotechnol. Its Appl. 2012, 13, 16–22. [Google Scholar] [CrossRef]
- Saif, S.; Tahir, A.; Chen, Y. Green synthesis of Iron nanoparticles and their environmental applications and implications. Nanomaterials 2016, 6, 209. [Google Scholar] [CrossRef] [PubMed]
- Ray, Ph.Z.; Shipley, H.J. Introduction. RSC Adv. 2015, 2, 1–60. [Google Scholar]
- Ge, Y.; Zhang, Y.; Xia, J.; Ma, M.; He, S.; Nie, F.; Gu, N. Effect of surface charge and agglomerate degree of magnetic iron oxide nanoparticles on KB cellular uptake in vitro. Colloids Surf., B. 2009, 73, 294–301. [Google Scholar] [CrossRef] [PubMed]
- Bansal, V.K.; Goel, R.K. Gastroprotective effect of Acacia nilotica young seedless pod extract: Role of polyphenolic constituents. Asian Pac. J. Trop. Med. 2012, 5, 523–528. [Google Scholar] [CrossRef]
- Kaur, G.; Sharma, A.K.; Karnwal, A. Antimicrobial activity of Acacia nilotica against Various Clinical Isolates. Elixir Appl. Botany 2016, 97, 42260–42262. [Google Scholar]
- Cheera Prasad, K.; Sreenivasulu, V.; Govinda, S.; Himageerish kumar, K.; Deepa, T.; Vasantha Jyothi, N.V.V.; Venkateswarlu, P. Biosynthesis of the Fe3O4 nanoparticles using Acacia nilotica leaf extract and their effect on degradation of congo red dye in aqueous solution. Trends Text. Eng. Fash. Technol. 2018, 1, 1–4. [Google Scholar]
- Majumdar, R.; Bag, B.G.; Maity, N. Acacia nilotica (Babool) leaf extract mediated size-controlled rapid synthesis of gold nanoparticles and study of its catalytic activity. Int. Nano Lett. 2013, 3, 53–59. [Google Scholar] [CrossRef]
- Da’na, E.; Sayari, A. Adsorption of copper on amine-functionalized SBA-15 prepared by co-condensation: Equilibrium properties. Chem. Eng. J. 2011, 166, 445–453. [Google Scholar] [CrossRef]
- Percival, S.L.; Bowler, P.G.; Russell, D. Bacterial resistance to silver in wound care. J. Hosp. Infect. 2005, 60, 1–7. [Google Scholar] [CrossRef] [PubMed]
- Devatha, C.P.; Kumar, A.; Katte, S.Y. Green synthesis of iron nanoparticles using different leaf extracts for treatment of domestic waste water. J. Clean. Prod. 2016, 139, 1425–1435. [Google Scholar] [CrossRef]
- Vadivel, N.; Rajendran, V.; Suriyaprabha, R.; Yuvakkumar, R. Catalytic effect of iron nanoparticles on heterocyst, protein and chlorophyll content of catalytic effect of iron nanoparticles on heterocyst. Int. J. Green Nanotechnol. 2012, 4, 326–338. [Google Scholar] [CrossRef]
- Kumar, B.; Smita, K.; Cumbal, L.; Debut, A. Biogenic synthesis of iron oxide nanoparticles for 2-arylbenzimidazole fabrication. J. Saudi Chem. Soc. 2014, 18, 364–369. [Google Scholar] [CrossRef]
- Li, D.; Kaner, R.B. Shape and aggregation control of nanoparticles: Not shaken, not stirred. J. Am. Chem. Soc. 2006, 128, 968–975. [Google Scholar] [CrossRef]
- Arakha, M.; Pal, S.; Samantarrai, D.; Panigrahi, T.K.; Mallick, B.C.; Pramanik, K.; Mallick, B.; Jha, S. Antimicrobial activity of iron oxide nanoparticle upon modulation of nanoparticle-bacteria interface. Sci. Rep. 2015, 5, 1–12. [Google Scholar] [CrossRef] [PubMed]














| Experiment | Ci (ppm) | VH2O2 (mL) | Time (h) | Ce (ppm) | Removal Efficiency (R %) |
|---|---|---|---|---|---|
| 1 | 40 | 5 | 0.5 | 12.900 | 67.6 |
| 2 | 40 | 5 | 1 | 6.049 | 84.9 |
| 3 | 40 | 5 | 2 | 3.399 | 91.5 |
| 4 | 40 | 5 | 3 | 0.755 | 98.1 |
| 5 | 40 | 5 | 4 | 0.239 | 99.4 |
| 6 | 40 | 1 | 3 | 0.216 | 99.5 |
| 7 | 40 | 2 | 3 | 0.341 | 99.1 |
| 8 | 40 | 3 | 3 | 0.368 | 99.1 |
| 9 | 40 | 4 | 3 | 0.471 | 98.8 |
| 10 | 30 | 5 | 3 | 0.376 | 98.7 |
| 11 | 20 | 5 | 3 | 0.431 | 97.8 |
| 12 | 10 | 5 | 3 | 0.465 | 95.4 |
| 13 | 5 | 5 | 3 | 0.317 | 93.7 |
| FeNP (µg) | Escherichia coli | Marsa | Salmonella | Staphylococcus aureus | Candida |
|---|---|---|---|---|---|
| 10 | 11 ± 0.2 mm | 17 ± 0.2 mm | 19 ± 0.2 mm | 17 ± 0.1 mm | 17 ± 0.3 mm |
| 40 | 15 ±0.1 mm | 20 ± 0.2 mm | 22 ± 0.1 mm | 22 ± 0.1 mm | 25 ± 0.1 mm |
| 60 | 17 ± 0.1 mm | 24 ± 0.1 mm | 23 ± 0.1 mm | 25 ± 0.1 mm | 25 ± 0.1 mm |
© 2018 by the authors. Licensee MDPI, Basel, Switzerland. This article is an open access article distributed under the terms and conditions of the Creative Commons Attribution (CC BY) license (http://creativecommons.org/licenses/by/4.0/).
Share and Cite
Da’na, E.; Taha, A.; Afkar, E. Green Synthesis of Iron Nanoparticles by Acacia nilotica Pods Extract and Its Catalytic, Adsorption, and Antibacterial Activities. Appl. Sci. 2018, 8, 1922. https://doi.org/10.3390/app8101922
Da’na E, Taha A, Afkar E. Green Synthesis of Iron Nanoparticles by Acacia nilotica Pods Extract and Its Catalytic, Adsorption, and Antibacterial Activities. Applied Sciences. 2018; 8(10):1922. https://doi.org/10.3390/app8101922
Chicago/Turabian StyleDa’na, Enshirah, Amel Taha, and Eman Afkar. 2018. "Green Synthesis of Iron Nanoparticles by Acacia nilotica Pods Extract and Its Catalytic, Adsorption, and Antibacterial Activities" Applied Sciences 8, no. 10: 1922. https://doi.org/10.3390/app8101922
APA StyleDa’na, E., Taha, A., & Afkar, E. (2018). Green Synthesis of Iron Nanoparticles by Acacia nilotica Pods Extract and Its Catalytic, Adsorption, and Antibacterial Activities. Applied Sciences, 8(10), 1922. https://doi.org/10.3390/app8101922

