The Influence of Quantum Confinement on Third-Order Nonlinearities in Porous Silicon Thin Films
Abstract
1. Introduction
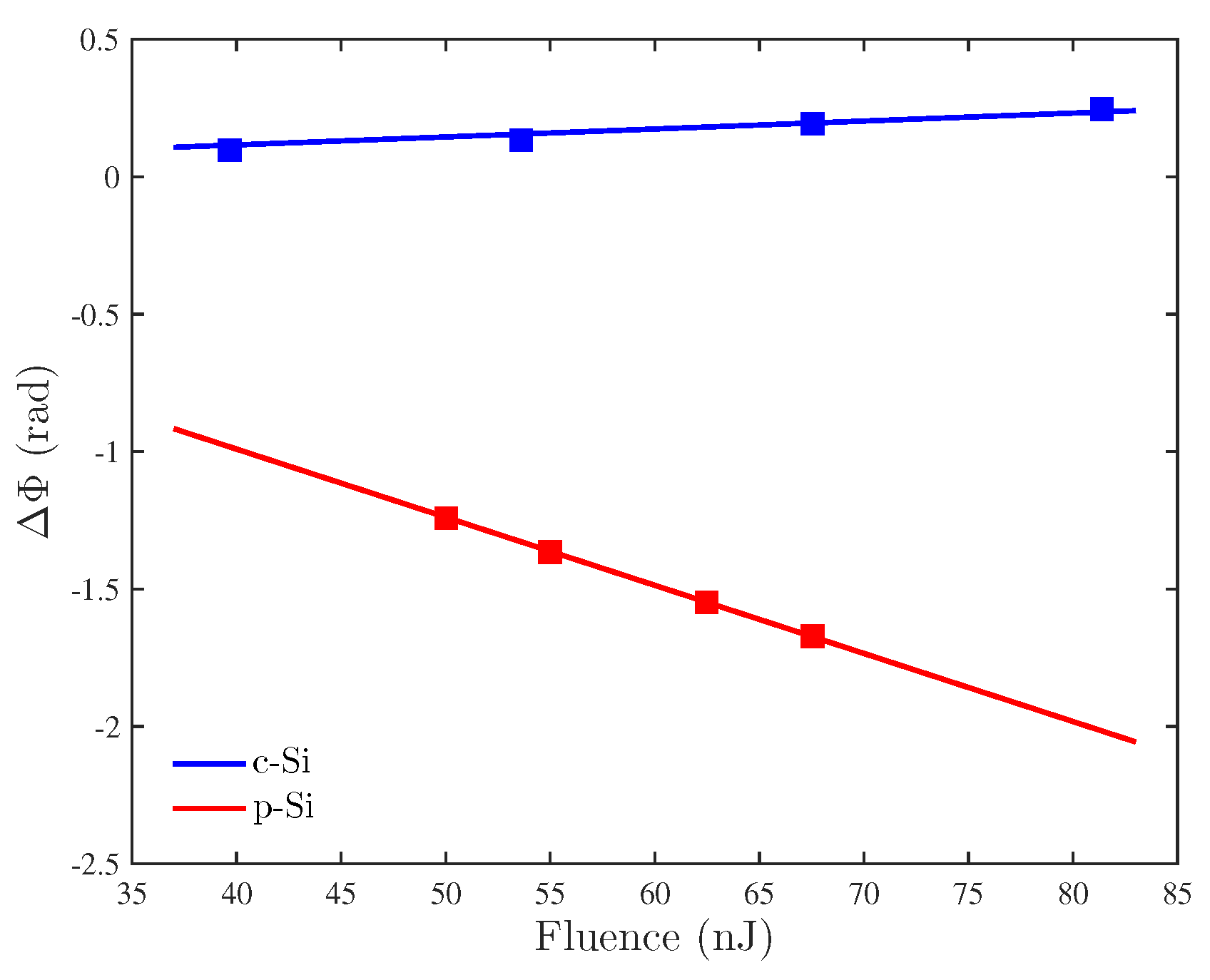
2. Results
3. Discussion
4. Materials and Methods
4.1. Femtosecond Laser System
4.2. Sample Preparation
5. Conclusions
Author Contributions
Funding
Acknowledgments
Conflicts of Interest
References
- Lehmann, V.; Gosele, U. Porous silicon formation: A quantum wire effect. Appl. Phys. Lett. 1991, 58, 856–858. [Google Scholar] [CrossRef]
- Zakar, A.; Park, S.J.; Zerova, V.; Kaplan, A.; Canham, L.T.; Lewis, K.L.; Burgess, C.D. MWIR optical modulation using structured silicon membranes. Int. Soc. Opt. Photonics 2016, 9992, 999203. [Google Scholar] [CrossRef]
- Cullis, A.G.; Canham, L.T.; Calcott, P.D.J. The structural and luminescence properties of porous silicon. J. Appl. Phys. 1997, 82.3, 909–965. [Google Scholar] [CrossRef]
- Klimov, V.; McBranch, D.; Karavanskii, V. Strong optical nonlinearities in porous silicon: Femtosecond nonlinear transmission study. Phys. Rev. B 1995, 52, R16989. [Google Scholar] [CrossRef]
- Henari, F.Z.; Morgenstern, K.; Blau, W.J.; Karavanskii, V.A.; Dneprovskii, V.S. Third order optical nonlinearity and all-optical switching in porous silicon. Appl. Phys. Lett. 1995, 67, 323–325. [Google Scholar] [CrossRef]
- Park, S.J.; Zakar, A.; Zerova, V.L.; Chekulaev, D.; Canham, L.T.; Kaplan, A. All-optical modulation in Mid-Wavelength Infrared using porous Si membranes. Sci. Rep. 2016, 6, 30211. [Google Scholar] [CrossRef] [PubMed]
- Lin, V.S.Y.; Motesharei, K.; Dancil, K.P.S.; Sailor, M.J.; Ghadiri, M.R. A porous silicon-based optical interferometric biosensor. Science 1997, 278, 840–843. [Google Scholar] [CrossRef] [PubMed]
- Dancil, K.P.S.; Greiner, D.P.; Sailor, M.J. A porous silicon optical biosensor: Detection of reversible binding of IgG to a protein A-modified surface. J. Am. Chem. Soc. 1999, 121, 7925–7930. [Google Scholar] [CrossRef]
- Menna, P.; Di Francia, G.; La Ferrara, V. Porous silicon in solar cells: A review and a description of its application as an AR coating. Sol. Energy Mater. Sol. Cells 1995, 37, 13–24. [Google Scholar] [CrossRef]
- Li, Y.Y.; Cunin, F.; Link, J.R.; Gao, T.; Betts, R.E.; Reiver, S.H.; Chin, V.; Bhatia, S.N.; Sailor, M.J. Polymer replicas of photonic porous silicon for sensing and drug delivery applications. Science 2003, 299, 2045–2047. [Google Scholar] [CrossRef] [PubMed]
- Qiu, J. Femtosecond laser-induced microstructures in glasses and applications in micro-optics. Chem. Rec. 2004, 4, 50–58. [Google Scholar] [CrossRef] [PubMed]
- Ashkenasi, D.; Varel, H.; Rosenfeld, A.; Henz, S.; Herrmann, J.; Cambell, E.E.B. Application of self-focusing of ps laser pulses for three-dimensional microstructuring of transparent materials. Appl. Phys. Lett. 1998, 72, 1442–1444. [Google Scholar] [CrossRef]
- Sheik-Bahae, M.; Said, A.A.; Wei, T.H.; Hagan, D.J.; Van Stryland, E.W. Sensitive measurement of optical nonlinearities using a single beam. IEEE J. Quantum Electron. 1990, 26, 760–769. [Google Scholar] [CrossRef]
- Cotter, D.; Burt, M.G.; Manning, R.J. Below-band-gap third-order optical nonlinearity of nanometer-size semiconductor crystallites. Phys. Rev. Lett. 1992, 68, 1200. [Google Scholar] [CrossRef] [PubMed]
- Weaire, D.; Wherrett, B.S.; Miller, D.A.B.; Smith, S.D. Effect of low-power nonlinear refraction on laser-beam propagation in InSb. Opt. Lett. 1979, 4, 331–333. [Google Scholar] [CrossRef] [PubMed]
- Dinu, M.; Quochi, F.; Garcia, H. Third-order nonlinearities in silicon at telecom wavelengths. Appl. Phys. Lett. 2003, 82, 2954–2956. [Google Scholar] [CrossRef]
- Bristow, A.D.; Rotenberg, N.; Van Driel, H.M. TPA and Kerr coefficients of silicon for 850–2200 nm. Appl. Phys. Lett. 2007, 90, 191104. [Google Scholar] [CrossRef]
- Gu, B.; Chen, J.; Fan, Y.X.; Ding, J.; Wang, H.T. Theory of Gaussian beam Z scan with simultaneous third-and fifth-order nonlinear refraction based on a Gaussian decomposition method. JOSA B 2005, 22, 2651–2659. [Google Scholar] [CrossRef]
- Aspnes, D.E.; Studna, A.A. Dielectric functions and optical parameters of Si, Ge, GaP, GaAs, GaSb, InP, InAs, and InSb from 1.5 to 6.0 ev. Phys. Rev. B 1983, 27, 985. [Google Scholar] [CrossRef]
- Canham, L. (Ed.) Handbook on Porous Silicon; Springer: Basel, Switzerland, 2014; ISBN 978-3-319-05744-6. [Google Scholar]
- Sihvola, A.H. Electromagnetic Mixing Formulas and Applications, Clarricoats, P.J.B., Jull, E.V., Eds.; The Institute of ElectricalEngineers: London, UK, 1999; ISBN 9780852967720. [Google Scholar]
- Chekulaev, D.; Garber, V.; Kaplan, A. Free carrier plasma optical response and dynamics in strongly pumped silicon nanopillars. J. Appl. Phys. 2013, 113, 143101. [Google Scholar] [CrossRef]
- Zakar, A.; Wu, R.; Chekulaev, D.; Zerova, V.; He, W.; Canham, L.; Kaplan, A. Carrier dynamics and surface vibration-assisted Auger recombination in porous silicon. Phys. Rev. B 2018, 97. [Google Scholar] [CrossRef]
- Qiu, B.; Tian, Z.; Vallabhaneni, A.; Liao, B.; Mendoza, J.M.; Restrepo, O.D.; Ruan, X.; Chen, G. First-principles simulation of electron mean-free-path spectra and thermoelectric properties in silicon. Europhys. Lett. 2015, 109, 57006. [Google Scholar] [CrossRef]
- Lettieri, S.; Fiore, O.; Maddalena, P.; Ninno, D.; Di Francia, G.; La Ferrara, V. Nonlinear optical refraction of free-standing porous silicon layers. Opt. Commun. 1999, 168, 383–391. [Google Scholar] [CrossRef]
- Sheik-Bahae, M.; Hutchings, D.C.; Hagan, D.J.; Van Stryland, E.W. Dispersion of bound electron nonlinear refraction in solids. IEEE J. Quantum Electron. 1991, 27, 1296–1309. [Google Scholar] [CrossRef]
- Siviloglou, G.A.; Suntsov, S.; El-Ganainy, R.; Iwanow, R.; Stegeman, G.I.; Christodoulides, D.N.; Pozzi, F. Enhanced third-order nonlinear effects in optical AlGaAs nanowires. Opt. Express 2006, 14, 9377–9384. [Google Scholar] [CrossRef] [PubMed]
- Harbold, J.M.; Ilday, F.O.; Wise, F.W.; Aitken, B.G. Highly nonlinear Ge-As-Se and Ge-As-S-Se glasses for all-optical switching. IEEE Photonics Technol. Lett. 2002, 14, 822–824. [Google Scholar] [CrossRef]
- Roger, T.W.; He, W.; Yurkevich, I.V.; Kaplan, A. Enhanced carrier-carrier interaction in optically pumped hydrogenated nanocrystalline silicon. Appl. Phys. Lett. 2012, 101, 141904. [Google Scholar] [CrossRef]
- Cazzanelli, M.; Kovalev, D.; Dal Negro, L.; Gaburro, Z.; Pavesi, L. Polarized optical gain and polarization-narrowing of heavily oxidized porous silicon. Phys. Rev. Lett. 2004, 93, 207402. [Google Scholar] [CrossRef] [PubMed]
- Kunzner, N.; Diener, J.; Gross, E.; Kovalev, D.; Timoshenko, V.Y.; Fujii, M. Form birefringence of anisotropically nanostructured silicon. Phys. Rev. B 2005, 71, 195304. [Google Scholar] [CrossRef]
- Golovan, L.A.; Timoshenko, V.Y.; Fedotov, A.B.; Kuznetsova, L.P.; Sidorov-Biryukov, D.A.; Kashkarov, P.K.; Diener, J. Phase matching of second-harmonic generation in birefringent porous silicon. Appl. Phys. B 2001, 73, 31–34. [Google Scholar] [CrossRef]
- He, W.; Yurkevich, I.V.; Canham, L.T.; Loni, A.; Kaplan, A. Determination of excitation profile and dielectric function spatial nonuniformity in porous silicon by using WKB approach. Opt. Express 2014, 22, 27123. [Google Scholar] [CrossRef] [PubMed]




© 2018 by the authors. Licensee MDPI, Basel, Switzerland. This article is an open access article distributed under the terms and conditions of the Creative Commons Attribution (CC BY) license (http://creativecommons.org/licenses/by/4.0/).
Share and Cite
Wu, R.; Collins, J.; Canham, L.T.; Kaplan, A. The Influence of Quantum Confinement on Third-Order Nonlinearities in Porous Silicon Thin Films. Appl. Sci. 2018, 8, 1810. https://doi.org/10.3390/app8101810
Wu R, Collins J, Canham LT, Kaplan A. The Influence of Quantum Confinement on Third-Order Nonlinearities in Porous Silicon Thin Films. Applied Sciences. 2018; 8(10):1810. https://doi.org/10.3390/app8101810
Chicago/Turabian StyleWu, Rihan, Jack Collins, Leigh T. Canham, and Andrey Kaplan. 2018. "The Influence of Quantum Confinement on Third-Order Nonlinearities in Porous Silicon Thin Films" Applied Sciences 8, no. 10: 1810. https://doi.org/10.3390/app8101810
APA StyleWu, R., Collins, J., Canham, L. T., & Kaplan, A. (2018). The Influence of Quantum Confinement on Third-Order Nonlinearities in Porous Silicon Thin Films. Applied Sciences, 8(10), 1810. https://doi.org/10.3390/app8101810
