Two Topics of Optical Excitation Dynamics, Newly Unveiled by the Time- and Momentum-Resolved Photo-Electron Emission from the Conduction Band of GaAs: A Theoretical Review
Abstract
1. Introduction
2. Two-Photon Photo-Electron Emission Spectroscopy
3. Possible Relaxation Channels in the Early Stage
4. Intravalley Relaxation and Fermi Degeneracy Formation
4.1. Possible Scenario
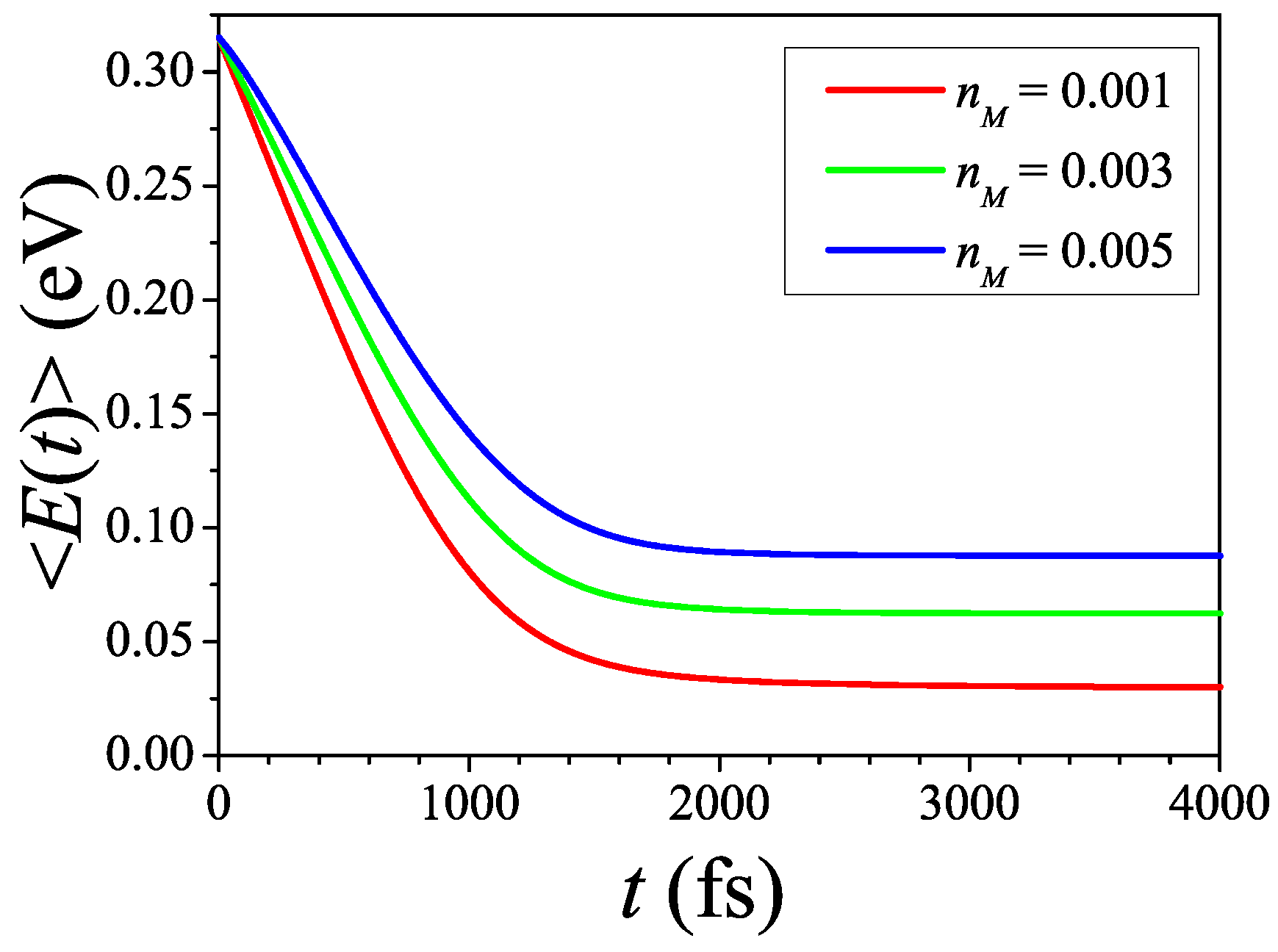
4.2. Model and Method
4.3. Role of Optical and Acoustic Phonons in the Relaxation
4.4. Fermi Blocking Effect
4.5. Effective Electron Temperature Approximation
4.6. Discussion
5. Intervalley Scattering and Franck–Condon Transition
5.1. Conventional Theories
5.2. Possible Scenario
5.3. Model and Method
5.4. Evaluation of the Time Constant
5.5. Analogy to the Dynamical Jahn–Teller Effect
5.6. Non-Condon Effect
5.7. On- and Off-Resonance Effects
6. Summary
Author Contributions
Funding
Acknowledgments
Conflicts of Interest
References
- Nasu, K. Photo-Induced Phase Transitions; World Scientific: Singapore, 2004. [Google Scholar]
- Ishikawa, T.; Sagae, Y.; Naitoh, Y.; Kawakami, Y.; Itoh, H.; Yamamoto, K.; Yakushi, K.; Kishida, H.; Sasaki, T.; Ishihara, S.; et al. Optical freezing of charge motion in an organic conductor. Nat. Commun. 2014, 5, 5528. [Google Scholar] [CrossRef] [PubMed]
- Ohkoshi, S.; Takano, S.; Imoto, K.; Yoshikiyo, M.; Namai, A.; Tokoro, H. 90-degree optical switching of output second-harmonic light in chiral photomagnet. Nat. Photonics 2014, 8, 65–71. [Google Scholar] [CrossRef]
- Krausz, F.; Ivanov, M. Attosecond physics. Rev. Mod. Phys. 2009, 81, 163. [Google Scholar] [CrossRef]
- Damascelli, A.; Hussain, Z.; Shen, Z. Angle-resolved photoemission studies of the cuprate superconductors. Rev. Mod. Phys. 2003, 75, 473. [Google Scholar] [CrossRef]
- Ichibayashi, T.; Tanimura, K. Ultrafast Carrier Relaxation in Si Studied by Time-Resolved Two-Photon Photoemission Spectroscopy: Intravalley Scattering and Energy Relaxation of Hot Electrons. Phys. Rev. Lett. 2009, 102, 087403. [Google Scholar] [CrossRef] [PubMed]
- Kanasaki, J. Ultrafast Electron Dynamics in Photo-excited Semiconductors Studied by Time and Angle-resolved Two Photon Photoelectron Spectroscopy. CLEO Tech. Dig. 2014. [Google Scholar] [CrossRef]
- Kanasaki, J.; Tanimura, H.; Tanimura, K. Imaging Energy-, Momentum-, and Time-Resolved Distributions of Photoinjected Hot Electrons in GaAs. Phys. Rev. Lett. 2014, 113, 237401. [Google Scholar] [CrossRef] [PubMed]
- Tanimura, H.; Kanasaki, J.; Tanimura, K. Ultrafast scattering processes of hot electrons in InSb studied by time- and angle-resolved photoemission spectroscopy. Phys. Rev. B 2015, 91, 045201. [Google Scholar] [CrossRef]
- Tanimura, H.; Kanasaki, J.; Tanimura, K.; Sjakste, J.; Vast, N.; Calandra, M.; Mauri, F. Formation of hot-electron ensembles quasiequilibrated in momentum by ultrafast momentum scattering of highly excited electrons photoinjected into the Γ valley of GaAs. Phys. Rev. B 2016, 93, 161203. [Google Scholar] [CrossRef]
- Ohnishi, H.; Tomita, N.; Nasu, K. Real Time Relaxation Dynamics of Macroscopically Photo-Excited Electrons toward the Fermi Degeneracy Formation in the Conduction Band of Semiconductors. J. Phys. Soc. Jpn. 2015, 84, 043701. [Google Scholar] [CrossRef]
- Ohnishi, H.; Tomita, N.; Nasu, K. Instantaneous Intervalley Transition Just at the Franck–Condon State in the Conduction Band of GaAs. J. Phys. Soc. Jpn. 2016, 85, 013705. [Google Scholar] [CrossRef]
- Ramakrishna, S.; Willing, F.; Knorr, A. Time-resolved two-photon photoemission spectroscopy of semiconductor bulk states. Appl. Phys. A 2004, 78, 247–252. [Google Scholar] [CrossRef]
- Ueba, H.; Gumhalter, G. Theory of two-photon photoemission spectroscopy of surfaces. Prog. Surf. Sci. 2007, 82, 193–223. [Google Scholar] [CrossRef]
- Adachi, S. Properties of Group-IV, III-V and II-VI Semiconductors; Wiley: Chichester, UK, 2005. [Google Scholar]
- Mahan, G.D. Many-Particle Physics; Kluwer/Plenum: New York, NY, USA, 2000. [Google Scholar]
- Elsayed-Ali, H.E.; Norris, T.B.; Pessot, M.A.; Mourou, G.A. Time-resolved observation of electron-phonon relaxation in copper. Phys. Rev. Lett. 1987, 58, 1212. [Google Scholar] [CrossRef] [PubMed]
- Schoenlein, R.W.; Lin, W.Z.; Fujimoto, J.G. Femtosecond studies of nonequilibrium electronic processes in metals. Phys. Rev. Lett. 1987, 58, 1680. [Google Scholar] [CrossRef] [PubMed]
- Zhukov, V.P.; Andreyev, O.; Hoffmann, D.; Bauer, M.; Aeschlimann, M.; Chulkov, E.V.; Echenique, P.M. Lifetimes of excited electrons in Ta: Experimental time-resolved photoemission data and first-principles GW +T theory. Phys. Rev. B 2004, 70, 233106. [Google Scholar] [CrossRef]
- Baranov, V.V.; Kabanov, V.V. Theory of electronic relaxation in a metal excited by an ultrashort optical pump. Phys. Rev. B 2014, 89, 125102. [Google Scholar] [CrossRef]
- Pötz, W. Hot-phonon effects in bulk GaAs. Phys. Rev. B 1987, 36, 5016. [Google Scholar] [CrossRef]
- Elsaesser, T.; Shah, J.; Rota, L.; Lugli, P. Initial thermalization of photoexcited carriers in GaAs studied by femtosecond luminescence spectroscopy. Phys. Rev. Lett. 1991, 66, 1757. [Google Scholar] [CrossRef] [PubMed]
- Rota, L.; Lugli, P.; Elsaesser, T.; Shah, J. Ultrafast thermalization of photoexcited carriers in polar semiconductors. Phys. Rev. B 1993, 47, 4226. [Google Scholar] [CrossRef]
- Collet, J.H. Screening and exchange in the theory of the femtosecond kinetics of the electron-hole plasma. Phys. Rev. B 1993, 47, 10279. [Google Scholar] [CrossRef]
- Hohenester, U.; Supancic, P.; Kocevar, P.; Zhou, X.Q.; Kütt, W.; Kurz, H. Subpicosecond thermalization and relaxation of highly photoexcited electrons and holes in intrinsic and p-type GaAs and InP. Phys. Rev. B 1993, 47, 13233. [Google Scholar] [CrossRef]
- Leitenstorfer, A.; Fürst, C.; Laubereau, A.; Kaiser, W. Femtosecond Carrier Dynamics in GaAs Far from Equilibrium. Phys. Rev. Lett. 1996, 76, 1545. [Google Scholar] [CrossRef] [PubMed]
- Luttinger, J.M. Fermi Surface and Some Simple Equilibrium Properties of a System of Interacting Fermions. Phys. Rev. 1960, 119, 1153. [Google Scholar] [CrossRef]
- Luttinger, J.M.; Ward, J.C. Ground-State Energy of a Many-Fermion System. II. Phys. Rev. 1960, 118, 1417. [Google Scholar] [CrossRef]
- Pines, D.; Nosières, P. The Theory of Quantum Liquid; Benjamin: New York, NY, USA, 1989. [Google Scholar]
- Becker, P.C.; Fragnito, H.L.; Cruz, C.H.B.; Shah, J.; Fork, R.L.; Cunningham, J.E.; Henry, J.E.; Shank, C.V. Femtosecond intervalley scattering in GaAs. Appl. Phys. Lett. 1988, 53, 2089–2090. [Google Scholar] [CrossRef]
- Rossi, F.; Kuhn, T. Theory of ultrafast phenomena in photoexcited semiconductors. Rev. Mod. Phys. 2002, 74, 895. [Google Scholar] [CrossRef]
- Mlckevic̆ius, R.; Reklaitis, A. Electron intervalley scattering in gallium arsenide. Semicond. Sci. Technol. 1990, 5, 805. [Google Scholar]
- Jacoboni, C.; Reggiani, L. The Monte Carlo method for the solution of charge transport in semiconductors with applications to covalent materials. Rev. Mod. Phys. 1983, 55, 645. [Google Scholar] [CrossRef]
- Oberli, D.Y.; Shah, J.; Damen, T.C. Intervalley scattering in GaAs. Phys. Rev. B 1989, 40, 1323. [Google Scholar] [CrossRef]
- Jalabert, R.; Sarma, S.D. Inelastic scattering in a doped polar semiconductor. Phys. Rev. B 1990, 41, 3651. [Google Scholar] [CrossRef]
- Zollner, S.; Gopalan, S.; Cardona, M. Intervalley deformation potentials and scattering rates in zinc blende semiconductors. Appl. Phys. Lett. 1989, 54, 614. [Google Scholar] [CrossRef]
- Zollner, S.; Gopalan, S.; Cardona, M. Microscopic theory of intervalley scattering in GaAs: K dependence of deformation potentials and scattering rates. J. Appl. Phys. 1990, 68, 1682–1693. [Google Scholar] [CrossRef]
- Stanton, C.J.; Bailey, D.W. Rate equations for the study of femtosecond intervalley scattering in compound semiconductors. Phys. Rev. B 1992, 45, 8369. [Google Scholar] [CrossRef]
- Bigot, J.-Y.; Portella, M.T.; Schoenlein, R.W.; Cunningham, J.E.; Shank, C.V. Resonant intervalley scattering in GaAs. Phys. Rev. Lett. 1990, 65, 3429. [Google Scholar] [CrossRef] [PubMed]
- Fürst, C.; Leitenstorfer, A.; Laubereau, A.; Zimmermann, R. Quantum Kinetic Electron-Phonon Interaction in GaAs: Energy Nonconserving Scattering Events and Memory Effects. Phys. Rev. Lett. 1997, 78, 3733. [Google Scholar] [CrossRef]
- Toyozawa, Y. Resonance and Relaxation in Light Scattering. J. Phys. Soc. Jpn. 1976, 41, 400–411. [Google Scholar] [CrossRef]
- Nakajima, S. On Quantum Theory of Transport Phenomena: Steady Diffusion. Prog. Theor. Phys. 1958, 20, 948–959. [Google Scholar] [CrossRef]
- Mori, H. Transport, Collective Motion, and Brownian Motion. Prog. Theor. Phys. 1965, 33, 423–455. [Google Scholar] [CrossRef]
- Aihara, M. Non-Markovian theory of nonlinear-optical phenomena associated with the extremely fast relaxation in condensed matter. Phys. Rev. B 1982, 25, 53. [Google Scholar] [CrossRef]
- Kann, M.J.; Kriman, A.M.; Ferry, D.K. Effect of electron-electron scattering on intervalley transition rates of photoexcited carriers in GaAs. Phys. Rev. B 1990, 41, 12659. [Google Scholar] [CrossRef]
- Toyozawa, Y.; Inoue, M. Dynamical Jahn-Teller Effect in Alkali Halide Phosphors Containing Heavy Metal Ions. J. Phys. Soc. Jpn. 1966, 21, 1663–1679. [Google Scholar] [CrossRef]
- Zhu, X.-Y. Photoemission from excitons in organic semiconductors. J. Electron Spectrosc. Relat. Phenom. 2015, 204, 75–79. [Google Scholar] [CrossRef]
- Ohnishi, H.; Tomita, N.; Nasu, K. Direct determination of exciton wavefunction amplitudes by the momentum-resolved photo-electron emission experiment. Int. J. Mod. Phys. B 2018, 32, 1850094. [Google Scholar] [CrossRef]














© 2018 by the authors. Licensee MDPI, Basel, Switzerland. This article is an open access article distributed under the terms and conditions of the Creative Commons Attribution (CC BY) license (http://creativecommons.org/licenses/by/4.0/).
Share and Cite
Ohnishi, H.; Tomita, N. Two Topics of Optical Excitation Dynamics, Newly Unveiled by the Time- and Momentum-Resolved Photo-Electron Emission from the Conduction Band of GaAs: A Theoretical Review. Appl. Sci. 2018, 8, 1788. https://doi.org/10.3390/app8101788
Ohnishi H, Tomita N. Two Topics of Optical Excitation Dynamics, Newly Unveiled by the Time- and Momentum-Resolved Photo-Electron Emission from the Conduction Band of GaAs: A Theoretical Review. Applied Sciences. 2018; 8(10):1788. https://doi.org/10.3390/app8101788
Chicago/Turabian StyleOhnishi, Hiromasa, and Norikazu Tomita. 2018. "Two Topics of Optical Excitation Dynamics, Newly Unveiled by the Time- and Momentum-Resolved Photo-Electron Emission from the Conduction Band of GaAs: A Theoretical Review" Applied Sciences 8, no. 10: 1788. https://doi.org/10.3390/app8101788
APA StyleOhnishi, H., & Tomita, N. (2018). Two Topics of Optical Excitation Dynamics, Newly Unveiled by the Time- and Momentum-Resolved Photo-Electron Emission from the Conduction Band of GaAs: A Theoretical Review. Applied Sciences, 8(10), 1788. https://doi.org/10.3390/app8101788

