Characterization of Surface Ozone Behavior at Different Regimes
Abstract
1. Introduction
2. Materials and Methods
2.1. Data
2.2. Statistical Model
- a population size of 100;
- a selection probability of 0.20 (proportion of the individuals of the new generation obtained by selection operator);
- a selection criterion based on elitism (a small proportion of the fittest candidates is copied unchanged into the next generation);
- a crossover probability of 0.70 (proportion of the individuals of the new generation obtained by crossover operator);
- a mutation probability of 0.1 (proportion of the individuals of the new generation obtained by mutation operator);
- an evaluation of root mean squared error (RMSE) in training and validation sets;
- a stopping criterion based on the maximum number of generations.
3. Results and Discussion
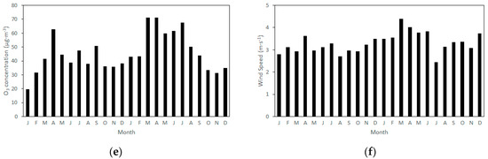
3.1. Air Quality and Meteorological Data Characterization
3.2. Linear Correlation Analysis
3.3. ANN Models and Interpretation
4. Conclusions
Supplementary Materials
Acknowledgments
Author Contributions
Conflicts of Interest
References
- Lin, M.Y.; Horowitz, L.W.; Payton, R.; Fiore, A.M.; Tonnesen, G. Us surface ozone trends and extremes from 1980 to 2014: Quantifying the roles of rising asian emissions, domestic controls, wildfires, and climate. Atmos. Chem. Phys. 2017, 17, 2943–2970. [Google Scholar] [CrossRef]
- Lefohn, A.S.; Malley, C.S.; Simon, H.; Wells, B.; Xu, X.; Zhang, L.; Wang, T. Responses of human health and vegetation exposure metrics to changes in ozone concentration distributions in the European Union, United States, and China. Atmos. Environ. 2017, 152, 123–145. [Google Scholar] [CrossRef]
- Hollaway, M.J.; Arnold, S.R.; Collins, W.J.; Folberth, G.; Rap, A. Sensitivity of midnineteenth century tropospheric ozone to atmospheric chemistry-vegetation interactions. J. Geophys. Res.-Atmos. 2017, 122, 2452–2473. [Google Scholar] [CrossRef]
- Proietti, C.; Anav, A.; De Marco, A.; Sicard, P.; Vitale, M. A multi-sites analysis on the ozone effects on gross primary production of European forests. Sci. Total Environ. 2016, 556, 1–11. [Google Scholar] [CrossRef] [PubMed]
- Jiang, Z.; Miyazaki, K.; Worden, J.R.; Liu, J.J.; Jones, D.B.A.; Henze, D.K. Impacts of anthropogenic and natural sources on free tropospheric ozone over the Middle East. Atmos. Chem. Phys. 2016, 16, 6537–6546. [Google Scholar] [CrossRef]
- Jorres, R.A.; Holz, O.; Zachgo, W.; Timm, P.; Koschyk, S.; Muller, B.; Grimminger, F.; Seeger, W.; Kelly, F.J.; Dunster, C.; et al. The effect of repeated ozone exposures on inflammatory markers in bronchoalveolar lavage fluid and mucosal biopsies. Am. J. Respir. Crit. Care Med. 2000, 161, 1855–1861. [Google Scholar] [CrossRef] [PubMed]
- Frank, R.; Liu, M.C.; Spannhake, E.W.; Mlynarek, S.; Macri, K.; Weinmann, G.G. Repetitive ozone exposure of young adults—Evidence of persistent small airway dysfunction. Am. J. Respir. Crit. Care Med. 2001, 164, 1253–1260. [Google Scholar] [CrossRef] [PubMed]
- Holz, O.; Mucke, M.; Paasch, K.; Bohme, S.; Timm, P.; Richter, K.; Magnussen, H.; Jorres, R.A. Repeated ozone exposures enhance bronchial allergen responses in subjects with rhinitis or asthma. Clin. Exp. Allergy 2002, 32, 681–689. [Google Scholar] [CrossRef] [PubMed]
- McConnell, R.; Berhane, K.; Gilliland, F.; London, S.J.; Islam, T.; Gauderman, W.J.; Avol, E.; Margolis, H.G.; Peters, J.M. Asthma in exercising children exposed to ozone: A cohort study. Lancet 2002, 359, 386–391. [Google Scholar] [CrossRef]
- Goldberg, M.S.; Burnett, R.T.; Brook, J.; Bailar, J.C.; Valois, M.F.; Vincent, R. Associations between daily cause-specific mortality and concentrations of ground-level ozone in Montreal, Quebec. Am. J. Epidemiol. 2001, 154, 817–826. [Google Scholar] [CrossRef] [PubMed]
- Carter, C.A.; Cui, X.; Ding, A.; Ghanem, D.; Jiang, F.; Yi, F.; Zhong, F. Stage-specific, nonlinear surface ozone damage to rice production in China. Sci. Rep. 2017, 7, 44224. [Google Scholar] [CrossRef] [PubMed]
- Morgan, P.B.; Ainsworth, E.A.; Long, S.P. How does elevated ozone impact soybean? A meta-analysis of photosynthesis, growth and yield. Plant Cell Environ. 2003, 26, 1317–1328. [Google Scholar] [CrossRef]
- Sadiq, M.; Tai, A.P.K.; Lombardozzi, D.; Val Martin, M. Effects of ozone-vegetation coupling on surface ozone air quality via biogeochemical and meteorological feedbacks. Atmos. Chem. Phys. 2017, 17, 3055–3066. [Google Scholar] [CrossRef]
- Christodoulakis, J.; Tzanis, C.G.; Varotsos, C.A.; Ferm, M.; Tidblad, J. Impacts of air pollution and climate on materials in Athens, Greece. Atmos. Chem. Phys. 2017, 17, 439–448. [Google Scholar] [CrossRef]
- Banta, R.M.; Senff, C.J.; White, A.B.; Trainer, M.; McNider, R.T.; Valente, R.J.; Mayor, S.D.; Alvarez, R.J.; Hardesty, R.M.; Parrish, D.; et al. Daytime buildup and nighttime transport of urban ozone in the boundary layer during a stagnation episode. J. Geophys. Res.-Atmos. 1998, 103, 22519–22544. [Google Scholar] [CrossRef]
- Monier, E.; Weare, B.C. Climatology and trends in the forcing of the stratospheric ozone transport. Atmos. Chem. Phys. 2011, 11, 6311–6323. [Google Scholar] [CrossRef]
- Tong, L.; Zhang, H.L.; Yu, J.; He, M.M.; Xu, N.B.; Zhang, J.J.; Qian, F.Z.; Feng, J.Y.; Xiao, H. Characteristics of surface ozone and nitrogen oxides at urban, suburban and rural sites in Ningbo, China. Atmos. Res. 2017, 187, 57–68. [Google Scholar] [CrossRef]
- Zhang, H.; Wang, Y.H.; Park, T.W.; Deng, Y. Quantifying the relationship between extreme air pollution events and extreme weather events. Atmos. Res. 2017, 188, 64–79. [Google Scholar] [CrossRef]
- Carvalho, A.; Monteiro, A.; Ribeiro, I.; Tchepel, O.; Miranda, A.I.; Borrego, C.; Saavedra, S.; Souto, J.A.; Casares, J.J. High ozone levels in the northeast of Portugal: Analysis and characterization. Atmo. Environ. 2010, 44, 1020–1031. [Google Scholar] [CrossRef]
- Pires, J.C.M.; Alvim-Ferraz, M.C.M.; Martins, F.G. Surface ozone behaviour at rural sites in Portugal. Atmos. Res. 2012, 104, 164–171. [Google Scholar] [CrossRef]
- Sanchez, B.; Santiago, J.L.; Martilli, A.; Palacios, M.; Kirchner, F. Cfd modeling of reactive pollutant dispersion in simplified urban configurations with different chemical mechanisms. Atmos. Chem. Phys. 2016, 16, 12143–12157. [Google Scholar] [CrossRef]
- Pires, J.C.M. Ozone weekend effect analysis in three European urban areas. Clean-Soil Air Water 2012, 40, 790–797. [Google Scholar] [CrossRef]
- Gressent, A.; Sauvage, B.; Cariolle, D.; Evans, M.; Leriche, M.; Mari, C.; Thouret, V. Modeling lightning-nox chemistry on a sub-grid scale in a global chemical transport model. Atmos. Chem. Phys. 2016, 16, 5867–5889. [Google Scholar] [CrossRef]
- Agatonovic-Kustrin, S.; Beresford, R. Basic concepts of artificial neural network (ann) modeling and its application in pharmaceutical research. J. Pharm. Biomed. 2000, 22, 717–727. [Google Scholar] [CrossRef]
- Pires, J.C.M.; Goncalves, B.; Azevedo, F.G.; Carneiro, A.P.; Rego, N.; Assembleia, A.J.B.; Lima, J.F.B.; Silva, P.A.; Alves, C.; Martins, F.G. Optimization of artificial neural network models through genetic algorithms for surface ozone concentration forecasting. Environ. Sci. Pollut. Res. 2012, 19, 3228–3234. [Google Scholar] [CrossRef] [PubMed]
- Tawadrous, A.S.; Katsabanis, P.D. Prediction of surface crown pillar stability using artificial neural networks. Int. J. Numer. Anal. Methods 2007, 31, 917–931. [Google Scholar] [CrossRef]
- Pasini, A. Artificial neural networks for small dataset analysis. J. Thorac. Dis. 2015, 7, 953–960. [Google Scholar] [PubMed]
- Keshavarzi, A.; Sarmadian, F.; Omran, E.-S.E.; Iqbal, M. A neural network model for estimating soil phosphorus using terrain analysis. Egypt. J. Remote Sens. Space Sci. 2015, 18, 127–135. [Google Scholar] [CrossRef]
- Zare, M.; Pourghasemi, H.R.; Vafakhah, M.; Pradhan, B. Landslide susceptibility mapping at vaz watershed (iran) using an artificial neural network model: A comparison between multilayer perceptron (mlp) and radial basic function (rbf) algorithms. Arab. J. Geosci. 2013, 6, 2873–2888. [Google Scholar] [CrossRef]
- Goldberg, D.E. Genetic Algorithms in Search, Optimization and Machine Learning, 1st ed.; Addison-Wesley Professional: Boston, MA, USA, 1989. [Google Scholar]
- Holland, J.H. Adaptation in Natural and Artificial Systems; University of Michigan Press: Ann Arbor, MI, USA, 1975. [Google Scholar]
- Alvim-Ferraz, M.C.M.; Sousa, S.I.V.; Pereira, M.C.; Martins, F.G. Contribution of anthropogenic pollutants to the increase of tropospheric ozone levels in the oporto metropolitan area, Portugal since the 19th century. Environ. Pollut. 2006, 140, 516–524. [Google Scholar] [CrossRef] [PubMed]
- Russo, A.; Trigo, R.M.; Martins, H.; Mendes, M.T. NO2, PM10 and O3 urban concentrations and its association with circulation weather types in Portugal. Atmos. Environ. 2014, 89, 768–785. [Google Scholar] [CrossRef]
- Fernandez-Guisuraga, J.M.; Castro, A.; Alves, C.; Calvo, A.; Alonso-Blanco, E.; Blanco-Alegre, C.; Rocha, A.; Fraile, R. Nitrogen oxides and ozone in Portugal: Trends and ozone estimation in an urban and a rural site. Environ. Sci. Pollut. Res. 2016, 23, 17171–17182. [Google Scholar] [CrossRef] [PubMed]
- Comrie, A.C. Comparing neural networks and regression models for ozone forecasting. J. Air Waste Manag. 1997, 47, 653–663. [Google Scholar] [CrossRef]
- Abdul-Wahab, S.A.; Al-Alawi, S.M. Assessment and prediction of tropospheric ozone concentration levels using artificial neural networks. Environ. Model. Softw. 2002, 17, 219–228. [Google Scholar] [CrossRef]
- Pires, J.C.M.; Alvim-Ferraz, M.C.M.; Pereira, M.C.; Martins, F.G. Evolutionary procedure based model to predict ground-level ozone concentrations. Atmos. Pollut. Res. 2010, 1, 215–219. [Google Scholar] [CrossRef]
- Terui, N.; van Dijk, H.K. Combined forecasts from linear and nonlinear time series models. Int. J. Forecast. 2002, 18, 421–438. [Google Scholar] [CrossRef]
- Shan, W.P.; Yin, Y.Q.; Zhang, J.D.; Ji, X.; Deng, X.Y. Surface ozone and meteorological condition in a single year at an urban site in central-eastern China. Environ. Monit. Assess. 2009, 151, 127–141. [Google Scholar] [CrossRef] [PubMed]
- Pires, J.C.M.; Alvim-Ferraz, M.C.M.; Pereira, M.C.; Martins, F.G. Comparison of several linear statistical models to predict tropospheric ozone concentrations. J. Stat. Comput. Simul. 2012, 82, 183–192. [Google Scholar] [CrossRef]
- Pires, J.C.M.; Martins, F.G.; Sousa, S.I.V.; Alvim-Ferraz, M.C.M.; Pereira, M.C. Selection and validation of parameters in multiple linear and principal component regressions. Environ. Model. Softw. 2008, 23, 50–55. [Google Scholar] [CrossRef]
- Chen, H.H.; Stanier, C.O.; Young, M.A.; Grassian, V.H. A kinetic study of ozone decomposition on illuminated oxide surfaces. J. Phys. Chem. A 2011, 115, 11979–11987. [Google Scholar] [CrossRef] [PubMed]









| Sim | Model | AF | HN | R2/RMSE/d2 |
|---|---|---|---|---|
| I | tansig radbas | 8 8 | 0.71/14.7/0.91 | |
| II | tansig tansig | 7 7 | 0.72/14.5/0.91 | |
| III | tansig radbas | 8 7 | 0.71/14.7/0.91 | |
| IV | tansig radbas | 8 8 | 0.71/14.7/0.91 | |
| V | tansig tansig | 7 7 | 0.72/14.5/0.91 | |
| VI | tansig radbas | 8 8 | 0.71/14.7/0.91 | |
| VII | tansig tansig | 7 7 | 0.72/14.5/0.91 |
© 2017 by the authors. Licensee MDPI, Basel, Switzerland. This article is an open access article distributed under the terms and conditions of the Creative Commons Attribution (CC BY) license (http://creativecommons.org/licenses/by/4.0/).
Share and Cite
Afonso, N.F.; Pires, J.C.M. Characterization of Surface Ozone Behavior at Different Regimes. Appl. Sci. 2017, 7, 944. https://doi.org/10.3390/app7090944
Afonso NF, Pires JCM. Characterization of Surface Ozone Behavior at Different Regimes. Applied Sciences. 2017; 7(9):944. https://doi.org/10.3390/app7090944
Chicago/Turabian StyleAfonso, Nádia F., and José C. M. Pires. 2017. "Characterization of Surface Ozone Behavior at Different Regimes" Applied Sciences 7, no. 9: 944. https://doi.org/10.3390/app7090944
APA StyleAfonso, N. F., & Pires, J. C. M. (2017). Characterization of Surface Ozone Behavior at Different Regimes. Applied Sciences, 7(9), 944. https://doi.org/10.3390/app7090944
