A New Method for Analysing the Pressure Response Delay in a Pneumatic Brake System Caused by the Influence of Transmission Pipes
Abstract
:1. Introduction
2. Modelling the Brake Pressure Response
- (a)
- The working fluid (air) of the system follows all ideal gas laws;
- (b)
- There is no leakage from the fittings or the brake chamber;
- (c)
- The airflow in the pipe is a one-dimensional flow, and the parameters in each section are uniform.
2.1. Flow-Rate Characteristics of the Orifice
2.2. Modelling the Pipe
2.3. Modelling the Brake Chamber
3. Simulations and Experiments on Brake Pressure Response
3.1. Solving the Pipe Control Equations
3.1.1. CIP Method
3.1.2. Arrangement of the Control Equations
3.1.3. Solving the Control Equations
3.2. Outlet Boundary Settings
3.3. Discretisation of the Control Equations of the Brake Chamber
3.4. The Experiment on the Brake Pressure Response
4. Results and Discussion
4.1. Experimental Results and Analysis
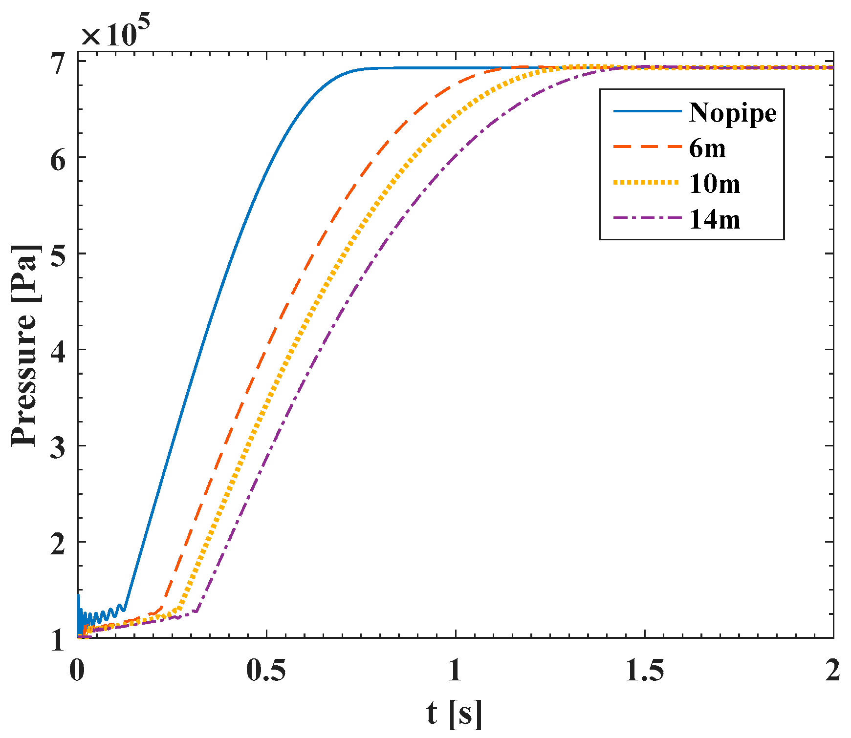
4.2. Influence of Pipe Length
4.3. The Influence of the Pipe Diameter
4.4. Influence of Inlet/Outlet Sonic Conductance
4.5. Influence of the Thermodynamic Model
4.6. Comphensive Analysis of Structure Parameters
5. Conclusions
- (1)
- Because there is a time delay associated with air flow in the pipe, the brake pressure response obviously lags. In this study, the time delay varies from 0.9 s to 2.85 s with a different parameters configuration; therefore, the time delay should be carefully considered when designing the brake circuit.
- (2)
- The brake pressure response time increased significantly with pipe length, but the diameter of a pipe has less effect when the diameter is in the range of 7.5–12 mm. Moreover, the effect of pipe volume gets larger compared with resistance when the diameter further increases.
- (3)
- The inlet and outlet sonic conductances affected the pressure response to different degrees. The time delay increases when the sonic conductance decreases, and they should be matched carefully.
- (4)
- The brake-chamber model was the most accurate when considering the heat transfer. Compared with the isothermal model, the adiabatic model was more accurate for temperature changes up to 70 K.
- (5)
- The CIP method could be used to calculate the pressure response in the pipe and was verified to be highly accurate and stable.
Acknowledgments
Author Contributions
Conflicts of Interest
Nomenclature
| A | area of piston [m2] |
| b | critical pressure ratio |
| cv | specific heat at constant volume [J/(kg·K)] |
| cp | specific heat at constant pressure [J/(kg·K)] |
| C | sonic conductance [m3/(s·Pa)] |
| d | diameter of brake chamber [m] |
| D | inner diameter of pipe [m] |
| e | inner energy [J] |
| Fd | deforming force [N] |
| G | mass flow rate [kg/s] |
| h | coefficient of heat convection [W/(m2·K)] |
| H | enthalpy [J] |
| k | spring constant [N/m] |
| L | length of pipe [m] |
| M | mass of piston [kg] |
| p | pressure [Pa] |
| R | gas state constant = 287 [J/(kg·K)] |
| s | stroke of push rod [m] |
| Sh | heat exchange area [m2] |
| t | time [s] |
| u | velocity [m/s] |
| Vc | volume [m3] |
| x | displacement [m] |
| κ | specific heat index = 1.4 |
| θ | temperature [K] |
| ρ | density [kg/m3] |
| Subscripts | |
| 0 | stand reference state (20 °C, 100 kPa) |
| 1 | upstream |
| 2 | downstream |
| c | brake chamber |
Appendix A
| function [FN,GN] = CIPVec(NX,YU,DT,DX,F,G) |
| % NX-the numbers of grids |
| % YU-the velocity of advection |
| % DT-the length of time step |
| % DX-the length of spatial step |
| % F/G-the parameters under solving and its differential |
| % FN/GN-the values of F/G in next time step |
| for i = 2:NX − 1 |
| if YU(i) < 0 |
| ISG = 1; |
| else |
| ISG = −1; |
| end |
| IUP = i + ISG; |
| XX = -YU(i)*DT; |
| FDIF = (F(IUP) − F(i))/DX*ISG; |
| XAM1 = (G(i) + G(IUP) − 2.0*FDIF)/(DX*DX); |
| XBM1 = (3.0*FDIF − 2*G(i) − G(IUP))/DX*ISG; |
| FN(i) = ((XAM1*XX + XBM1)*XX + G(i))*XX + F(i); |
| GN(i) = (3.0*XAM1*XX + 2.0*XBM1)*XX + G(i); |
| end |
References
- Fujino, K.; Taniguchi, K.; Yamamoto, N.; Youn, C.; Kagawa, T. Transient pressure and flow rate measurement of pneumatic power supply line in Shinkansen: Examination of unsteady characteristics in pneumatic supply system by experiment. In Proceedings of the 2010 SICE Annual Conference, Taipei, Taiwan, 18–21 August 2010; pp. 1664–1669. [Google Scholar]
- Selvaraj, M.; Gaikwad, S.; Suresh, A.K. Modeling and Simulation of Dynamic Behavior of Pneumatic Brake System at Vehicle Level. SAE Int. J. Commer. Veh. 2014, 11, 1–9. [Google Scholar] [CrossRef]
- Lopez, A.; Sherony, R.; Chien, S.; Li, L.; Qiang, Y.; Chen, Y. Analysis of the braking behaviour in pedestrian automatic emergency braking. In Proceedings of the 2015 IEEE 18th International Conference on Intelligent Transportation Systems (ITSC), Las Palmas, Spain, 15–18 September 2015; pp. 1117–1122. [Google Scholar]
- Karthikeyan, P.; Chaitanya, C.S.; Raju, N.J.; Subramanian, S.C. Modelling an electropneumatic brake system for commercial vehicles. IET Electr. Syst. Transp. 2011, 1, 41–48. [Google Scholar] [CrossRef]
- Fleming, B. Advances in automotive electronics [automotive electronics]. IEEE Veh. Technol. Mag. 2015, 10, 4–11. [Google Scholar] [CrossRef]
- Wang, Z.; Zhou, X.; Yang, C.; Chen, Z.; Wu, X. An Experimental Study on Hysteresis Characteristics of a Pneumatic Braking System for a Multi-Axle Heavy Vehicle in Emergency Braking Situations. Appl. Sci. 2017, 7, 799. [Google Scholar] [CrossRef]
- Qin, T. Research on Delay Time Analysis and Its Control Techniques of Bus Pneumatic Brake System. Ph.D. Thesis, Wuhan University of Technology, Wuhan, China, 2012. [Google Scholar]
- Long, X.; Hu, X. Optimization on the response time of pneumatic brake systems of commercial vehicle. Enterp. Sci. Technol. Dev. 2013, 365, 44–46. (In Chinese) [Google Scholar]
- Mithun, S.; Gayakwad, S. Modeling and simulation of pneumatic brake system used in heavy commercial vehicle. IOSR J. Mech. Civ. Eng. 2014, 11, 1–9. [Google Scholar] [CrossRef]
- Modeling and Simulation Vehicle Air Brake System. Available online: https://www.modelica.org/events/modelica2011/Proceedings/pages/papers/17_3_ID_144_a_fv.pdf (accessed on 13 September 2017).
- Li, S.; Bao, W. Analysis of transient hydraulic pressure pulsation in pipelines using MATLAB Simulink. Eng. Mech. 2006, 23, 184–188. [Google Scholar]
- Tokashiki, L.; Fujita, T.; Kagawa, T. Simulation on pneumatic cylinder including pipes. Hydraul. Pneum. 1997, 28, 766–771. (In Japanese) [Google Scholar] [CrossRef]
- Zielke, W. Frequency Dependent Friction in Transient Pipe Flow; University of Michigan: Ann Arbor, MI, USA, 1966. [Google Scholar]
- Kitagawa, A.; Kagawa, T.; Takenaka, T. High speed and accurate computing method for transient response of pneumatic transmission line using characteristics method. Trans. Soc. Instrum. Control Eng. 1984, 20, 648–653. [Google Scholar] [CrossRef]
- Hashimoto, K.; Imaeda, M.; Kikuchi, K. The analyses of transient responses of fluid lines by characteristics grid method. Hydraul. Pneum. 1985, 16, 140–146. (In Japanese) [Google Scholar] [CrossRef]
- Wei, W.; Du, N. Influence of braking pipe on braking performance for heavy haul train. J. Traffic Transp. Eng. 2011, 5, 49–54. [Google Scholar]
- Wei, W.; Wu, X. Influence of Brake Characteristics on Longitudinal Impulse of Train. J. Dalian Jiaotong Univ. 2012, 2, 1–5. [Google Scholar]
- Yabe, T.; Aoki, T.; Sakaguchi, G.; Wang, P.Y.; Ishikawa, T. The compact CIP (Cubic-Interpolated Pseudo-particle) method as a general hyperbolic solver. Comput. Fluids 1991, 19, 421–431. [Google Scholar] [CrossRef]
- Takewaki, H.; Nishiguchi, A.; Yabe, T. Cubic interpolated pseudo-particle method (CIP) for solving hyperbolic-type equations. J. Comput. Phys. 1985, 61, 261–268. [Google Scholar] [CrossRef]
- Zhao, X.; Liu, B.; Liang, X. Constrained interpolation profile (CIP) method and its application. J. Ship Mech. 2016, 20, 393–402. [Google Scholar]
- Zhao, X.; Fu, Y.; Zhang, D. Numerical simulation of flow past a cylinder using a CIP-based model. J. Harbin Eng. Univ. 2016, 37, 297–305. [Google Scholar]
- Pang, P.T.; Agnew, D. Brake System Component Characterization for System Response Performance: A System Level Test Method and Associated Theoretical Correlation; SAE Technical Paper; SAE International: Detroit, MI, USA, 2004. [Google Scholar]
- Yang, F.; Li, G.; Hu, J.; Liu, W.; Qi, W. Method for resultant and calculating the flow-rate characteristics of pneumatic circuit. In Proceedings of the 2015 International Conference on Fluid Power and Mechatronics (FPM), Harbin, China, 5–7 August 2015; pp. 379–384. [Google Scholar]
- Pneumatic Fluid Power—Determination of Flow-Rate Characteristic of Component Using Compressible Fluids—Part 1: General Rules and Test Methods for Steady-State Flow; ISO 6358-1; International Organization for Standardization (ISO): Geneva, Switzerland, 2013.
- Pneumatic Fluid Power—Assessment of Component Reliability by Testing—Part 2: Directional Control Valves; ISO 19973-2; International Organization for Standardization (ISO): Geneva, Switzerland, 2015.
- Wang, T.; Peng, G.; Toshiharu, K. Measurement and Resultant Methods of Flow-rate Characteristics of Small Pneumatic Valves. J. Mech. Eng. 2009, 45, 290–297. (In Chinese) [Google Scholar] [CrossRef]
- Niu, J.L.; Shi, Y.; Cao, Z.X.; Cai, M.L.; Chen, W.; Zhu, J.; Xu, W.Q. Study on air flow dynamic characteristic of mechanical ventilation of a lung simulator. Sci. China Technol. Sci. 2017, 60, 243–250. [Google Scholar] [CrossRef]
- Shi, Y.; Jia, G.W.; Cai, M.; Xu, W.Q. Study on the dynamics of local pressure boosting pneumatic system. Math. Probl. Eng. 2015, 2015, 849047. [Google Scholar] [CrossRef]
- Kaasa, G.-O.; Chapple, P.J.; Lie, B. Modeling of an electro-pneumatic cylinder actuator for nonlinear and adaptive control, with application to clutch actuation in heavy-duty trucks. In Proceedings of the 3rd FPNI PhD International Symposium on Fluid Power, Terrassa, Spain, 30 June–2 July 2004. [Google Scholar]
- Matsuo, K. Compressible Fluid Flow—Theory and Analysis of Internal Flow; Rikogakusha Publishing: Tokyo, Japan, 1999; pp. 145–147. [Google Scholar]
- Shiraishi, K.; Matsuoka, T. The simulation of acoustic wave propagation by using characteristic curves with CIP method. Butsuri Tansa 2006, 59, 261–274. (In Japanese) [Google Scholar] [CrossRef]
- Guo, Z.; Li, X.; Kagawa, T. Heat transfer effects on dynamic pressure response of pneumatic vacuum circuit. In Proceedings of the ASME/JSME 2011 8th Thermal Engineering Joint Conference, Honolulu, HI, USA, 13–17 March 2011. [Google Scholar]
- Qi, W.; Li, G.; Lu, Q.; Long, X. Influence of Bus Brake Chamber Inlet Diameter on Pressure Characteristic. Hydraul. Pneum. Seals 2016, 36, 21–25. (In Chinese) [Google Scholar]
- Nouby, M.; Mathivanan, D.; Srinivasan, K. A combined approach of complex eigenvalue analysis and design of experiments (DOE) to study disc brake squeal. Int. J. Eng. Sci. Technol. 2009, 1, 254–271. [Google Scholar] [CrossRef]
- Li, L.; Sai, Z.; Qiang, H. Application of response surface methodology in experiment design and optimization. Res. Explor. Lab. 2015, 34, 41–45. (In Chinese) [Google Scholar]

















| Time Delay (s) | Increasing of Brake Distance (m) | Influence Degree (%) | Remarks |
|---|---|---|---|
| 0.9 | 15.0 | 40.9 | The whole brake distance is assumed to satisfy the force law, and it is equal to 36.7 m |
| 0.7 | 11.7 | 31.8 | |
| 0.5 | 8.3 | 22.7 | |
| 0.3 | 5.0 | 13.6 |
| Components | Brake Chamber | Pipe | Solenoid Valve | |||||
|---|---|---|---|---|---|---|---|---|
| Parameters | s [mm] | k [N/m] | x0 [mm] | d [cm] | L [m] | D [mm] | C [m3/(s·Pa)] | b |
| Values | 80 | 3000 | 2.7 | 16 | 10 | 7.5 | 2.27 × 10−8 | 0.38 |
| No. | Length [m] | CO1 [×10−8 m3/(s·Pa)] | CO2 [×10−8 m3/(s·Pa)] | Response Time [s] |
|---|---|---|---|---|
| 1 | 14.0 | 2.28 | 1.14 | 1.95 |
| 2 | 10.0 | 3.42 | 1.14 | 1.65 |
| 3 | 14.0 | 1.14 | 2.28 | 2.85 |
| 4 | 14.0 | 2.28 | 3.42 | 1.52 |
| 5 | 14.0 | 3.42 | 2.28 | 1.18 |
| 6 | 10.0 | 2.28 | 2.28 | 1.36 |
| 7 | 10.0 | 1.14 | 1.14 | 2.66 |
| 8 | 6.0 | 1.14 | 2.28 | 1.98 |
| 9 | 10.0 | 2.28 | 2.28 | 1.37 |
| 10 | 10.0 | 2.28 | 2.28 | 1.37 |
| 11 | 6.0 | 2.28 | 3.42 | 1.07 |
| 12 | 6.0 | 3.42 | 2.28 | 0.96 |
| 13 | 10.0 | 3.42 | 3.42 | 0.94 |
| 14 | 10.0 | 2.28 | 2.28 | 1.37 |
| 15 | 10.0 | 1.14 | 3.42 | 2.35 |
| 16 | 6.0 | 2.28 | 1.14 | 1.71 |
| 17 | 10.0 | 2.28 | 2.28 | 1.37 |
© 2017 by the authors. Licensee MDPI, Basel, Switzerland. This article is an open access article distributed under the terms and conditions of the Creative Commons Attribution (CC BY) license (http://creativecommons.org/licenses/by/4.0/).
Share and Cite
Yang, F.; Li, G.; Hua, J.; Li, X.; Kagawa, T. A New Method for Analysing the Pressure Response Delay in a Pneumatic Brake System Caused by the Influence of Transmission Pipes. Appl. Sci. 2017, 7, 941. https://doi.org/10.3390/app7090941
Yang F, Li G, Hua J, Li X, Kagawa T. A New Method for Analysing the Pressure Response Delay in a Pneumatic Brake System Caused by the Influence of Transmission Pipes. Applied Sciences. 2017; 7(9):941. https://doi.org/10.3390/app7090941
Chicago/Turabian StyleYang, Fan, Gangyan Li, Jian Hua, Xingli Li, and Toshiharu Kagawa. 2017. "A New Method for Analysing the Pressure Response Delay in a Pneumatic Brake System Caused by the Influence of Transmission Pipes" Applied Sciences 7, no. 9: 941. https://doi.org/10.3390/app7090941
APA StyleYang, F., Li, G., Hua, J., Li, X., & Kagawa, T. (2017). A New Method for Analysing the Pressure Response Delay in a Pneumatic Brake System Caused by the Influence of Transmission Pipes. Applied Sciences, 7(9), 941. https://doi.org/10.3390/app7090941
