Modulational Instability in Linearly Coupled Asymmetric Dual-Core Fibers
Abstract
:1. Introduction
2. Coupled-Mode Equations
3. The Linear-Stability Approach
4. Analysis of the Modulational Instability
4.1. The Anomalous-Dispersion Regime
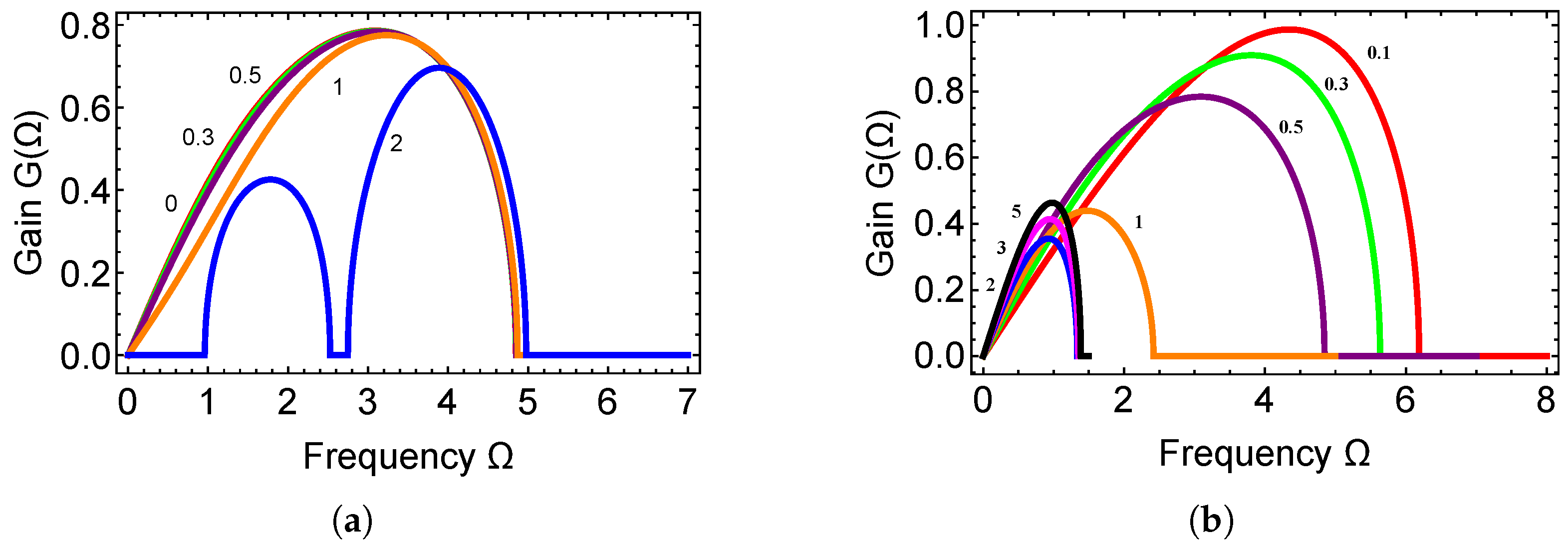
4.1.1. The Effect of the Input Power on the Instability Spectrum
4.1.2. The Role of the Coupling Coefficient
4.1.3. The Impact of Asymmetry Parameters
4.2. The Normal-Dispersion Regime
4.3. The Coupler with Opposite Signs of the Dispersion in the Two Cores
5. Direct Simulations
6. Conclusions
Acknowledgments
Author Contributions
Conflicts of Interest
Appendix A
References
- Benjamin, T.B.; Feir, J. The disintegration of wave trains on deep water Part 1. Theory. J. Fluid Mech. 1967, 27, 417–430. [Google Scholar] [CrossRef]
- Hasegawa, A. Generation of a train of soliton pulses by induced modulational instability in optical fibers. Opt. Lett. 1984, 9, 288–290. [Google Scholar] [CrossRef] [PubMed]
- Tai, K.; Hasegawa, A.; Tomita, A. Observation of modulational instability in optical fibers. Phys. Rev. Lett. 1986, 56, 135. [Google Scholar] [CrossRef] [PubMed]
- Agrawal, G.P. Modulation instability induced by cross-phase modulation. Phys. Rev. Lett. 1987, 59, 880. [Google Scholar] [CrossRef] [PubMed]
- Zakharov, V.E.; Dyachenko, A.; Prokofiev, A. Freak waves as nonlinear stage of Stokes wave modulation instability. Eur. J. Mech. B/Fluids 2006, 25, 677–692. [Google Scholar] [CrossRef]
- Melville, W. The instability and breaking of deep-water waves. J. Fluid Mech. 1982, 115, 165–185. [Google Scholar] [CrossRef]
- Konotop, V.; Salerno, M. Modulational instability in Bose-Einstein condensates in optical lattices. Phys. Rev. A 2002, 65, 021602. [Google Scholar] [CrossRef]
- Li, L.; Li, Z.; Malomed, B.A.; Mihalache, D.; Liu, W. Exact soliton solutions and nonlinear modulation instability in spinor Bose-Einstein condensates. Phys. Rev. A 2005, 72, 033611. [Google Scholar] [CrossRef]
- Bhat, I.A.; Mithun, T.; Malomed, B.; Porsezian, K. Modulational instability in binary spin-orbit-coupled Bose-Einstein condensates. Phys. Rev. A 2015, 92, 063606. [Google Scholar] [CrossRef]
- Taniuti, T.; Washimi, H. Self-trapping and instability of hydromagnetic waves along the magnetic field in a cold plasma. Phys. Rev. Lett. 1968, 21, 209. [Google Scholar] [CrossRef]
- Galeev, A.; Sagdeev, R.; Sigov, Y.S.; Shapiro, V.; Shevchenko, V. Nonlinear theory of the modulation instability of plasma waves. Sov. J. Plasma Phys. 1975, 1, 5–10. [Google Scholar]
- Zakharov, V.; Ostrovsky, L. Modulation instability: The beginning. Phys. D Nonlinear Phenom. 2009, 238, 540–548. [Google Scholar] [CrossRef]
- Boggio, J.; Tenenbaum, S.; Fragnito, H. Amplification of broadband noise pumped by two lasers in optical fibers. J. Opt. Soc. Am. B 2001, 18, 1428–1435. [Google Scholar] [CrossRef]
- Tanemura, T.; Ozeki, Y.; Kikuchi, K. Modulational instability and parametric amplification induced by loss dispersion in optical fibers. Phys. Rev. Lett. 2004, 93, 163902. [Google Scholar] [CrossRef] [PubMed]
- Höök, A.; Karlsson, M. Ultrashort solitons at the minimum-dispersion wavelength: Effects of fourth-order dispersion. Opt. Lett. 1993, 18, 1388–1390. [Google Scholar] [CrossRef] [PubMed]
- Agrawal, G. Nonlinear Fiber Optics; Optics and Photonics; Academic Press: London, UK, 2006. [Google Scholar]
- Hasegawa, A.; Tappert, F. Transmission of stationary nonlinear optical pulses in dispersive dielectric fibers. I. Anomalous dispersion. Appl. Phys. Lett. 1973, 23, 142–144. [Google Scholar] [CrossRef]
- Rehberg, I.; Rasenat, S.; Fineberg, J.; De La Torre Juarez, M.; Steinberg, V. Temporal modulation of traveling waves. Phys. Rev. Lett. 1988, 61, 2449. [Google Scholar] [CrossRef] [PubMed]
- Malendevich, R.; Jankovic, L.; Stegeman, G.; Aitchison, J.S. Spatial modulation instability in a Kerr slab waveguide. Opt. Lett. 2001, 26, 1879–1881. [Google Scholar] [CrossRef] [PubMed]
- Liou, L.; Cao, X.; McKinstrie, C.; Agrawal, G.P. Spatiotemporal instabilities in dispersive nonlinear media. Phys. Rev. A 1992, 46, 4202. [Google Scholar] [CrossRef] [PubMed]
- Greer, E.; Patrick, D.; Wigley, P.; Taylor, J. Generation of 2 THz repetition rate pulse trains through induced modulational instability. Electron. Lett. 1989, 25, 1246–1248. [Google Scholar] [CrossRef]
- Agrawal, G. Applications of Nonlinear Fiber Optics; Academic Press: London, UK, 2001; Chapter 2. [Google Scholar]
- Ellingham, T.; Ania-Castañón, J.; Turitsyn, S.; Pustovskikh, A.; Kobtsev, S.; Fedoruk, M. Dual-pump Raman amplification with increased flatness using modulation instability. Opt. Express 2005, 13, 1079–1084. [Google Scholar] [CrossRef] [PubMed]
- Dudley, J.M.; Genty, G.; Dias, F.; Kibler, B.; Akhmediev, N. Modulation instability, Akhmediev Breathers and continuous wave supercontinuum generation. Opt. Express 2009, 17, 21497–21508. [Google Scholar] [CrossRef] [PubMed]
- Trillo, S.; Wabnitz, S.; Wright, E.; Stegeman, G. Soliton switching in fiber nonlinear directional couplers. Opt. Lett. 1988, 13, 672–674. [Google Scholar] [CrossRef] [PubMed]
- Jensen, S. The nonlinear coherent coupler. IEEE Trans. Microw. Theory Tech. 1982, 30, 1568–1571. [Google Scholar] [CrossRef]
- Maier, A. Optical transistors and bistable elements on the basis of non-linear transmission of light by the systems with unidirectional coupled waves. Kvantovaya Elektron. 1982, 9, 2296–2302. [Google Scholar]
- Kivshar, Y.S. Switching dynamics of solitons in fiber directional couplers. Opt. Lett. 1993, 18, 7–9. [Google Scholar] [CrossRef] [PubMed]
- Friberg, S.; Weiner, A.; Silberberg, Y.; Sfez, B.; Smith, P. Femotosecond switching in a dual-core-fiber nonlinear coupler. Opt. Lett. 1988, 13, 904–906. [Google Scholar] [CrossRef] [PubMed]
- Malomed, B.A.; Skinner, I.; Chu, P.; Peng, G. Symmetric and asymmetric solitons in twin-core nonlinear optical fibers. Phys. Rev. E 1996, 53, 4084–4091. [Google Scholar] [CrossRef]
- Chiang, K.S. Intermodal dispersion in two-core optical fibers. Opt. Lett. 1995, 20, 997–999. [Google Scholar] [CrossRef] [PubMed]
- Chen, Y.; Snyder, A.W.; Payne, D.N. Twin core nonlinear couplers with gain and loss. IEEE J. Quantum Electron. 1992, 28, 239–245. [Google Scholar] [CrossRef]
- Govindaraji, A.; Mahalingam, A.; Uthayakumar, A. Femtosecond pulse switching in a fiber coupler with third order dispersion and self-steepening effects. Optik Int. J. Light Electron Opt. 2014, 125, 4135–4139. [Google Scholar] [CrossRef]
- Snyder, A.W.; Mitchell, D.; Poladian, L.; Rowland, D.R.; Chen, Y. Physics of nonlinear fiber couplers. J. Opt. Soc. Am. B 1991, 8, 2102–2118. [Google Scholar] [CrossRef]
- Yang, C.C. All-optical ultrafast logic gates that use asymmetric nonlinear directional couplers. Opt. Lett. 1991, 16, 1641–1643. [Google Scholar] [CrossRef] [PubMed]
- Yang, C.C.; Wang, A. Asymmetric nonlinear coupling and its applications to logic functions. IEEE J. Quantum Electron. 1992, 28, 479–487. [Google Scholar] [CrossRef]
- Kitayama, K.I.; Wang, S. Optical pulse compression by nonlinear coupling. Appl. Phys. Lett. 1983, 43, 17–19. [Google Scholar] [CrossRef]
- Thirstrup, C. Optical bistability in a nonlinear directional coupler. IEEE J. Quantum Electron. 1995, 31, 2101–2106. [Google Scholar] [CrossRef]
- Trillo, S.; Stegeman, G.; Wright, E.; Wabnitz, S. Parametric amplification and modulational instabilities in dispersive nonlinear directional couplers with relaxing nonlinearity. J. Opt. Soc. Am. B 1989, 6, 889–900. [Google Scholar] [CrossRef]
- Tasgal, R.S.; Malomed, B.A. Modulational instabilities in the dual-core nonlinear optical fiber. Phys. Scr. 1999, 60, 418. [Google Scholar] [CrossRef]
- Li, J.H.; Chiang, K.S.; Chow, K.W. Modulation instabilities in two-core optical fibers. J. Opt. Soc. Am. B 2011, 28, 1693–1701. [Google Scholar] [CrossRef]
- Li, J.H.; Chiang, K.S.; Malomed, B.A.; Chow, K.W. Modulation instabilities in birefringent two-core optical fibres. J. Phys. B At. Mol. Opt. Phys. 2012, 45, 165404. [Google Scholar] [CrossRef]
- Nithyanandan, K.; Raja, R.V.J.; Porsezian, K. Modulational instability in a twin-core fiber with the effect of saturable nonlinear response and coupling coefficient dispersion. Phys. Rev. A 2013, 87, 043805. [Google Scholar] [CrossRef]
- Porsezian, K.; Murali, R.; Malomed, B.A.; Ganapathy, R. Modulational instability in linearly coupled complex cubic–quintic Ginzburg–Landau equations. Chaos Solitons Fractals 2009, 40, 1907–1913. [Google Scholar] [CrossRef]
- Ganapathy, R.; Malomed, B.A.; Porsezian, K. Modulational instability and generation of pulse trains in asymmetric dual-core nonlinear optical fibers. Phys. Lett. A 2006, 354, 366–372. [Google Scholar] [CrossRef]
- Malomed, B.A.; Peng, G.; Chu, P. Nonlinear-optical amplifier based on a dual-core fiber. Opt. Lett. 1996, 21, 330–332. [Google Scholar] [CrossRef] [PubMed]
- Kaup, D.J.; Malomed, B.A. Gap solitons in asymmetric dual-core nonlinear optical fibers. J. Opt. Soc. Am. B 1998, 15, 2838–2846. [Google Scholar] [CrossRef]
- Govindaraji, A.; Mahalingam, A.; Uthayakumar, A. Numerical investigation of dark soliton switching in asymmetric nonlinear fiber couplers. Appl. Phys. B 2015, 120, 341–348. [Google Scholar] [CrossRef]
- Li, Q.; Zhang, A.; Hua, X. Numerical simulation of solitons switching and propagating in asymmetric directional couplers. Opt. Commun. 2012, 285, 118–123. [Google Scholar] [CrossRef]
- Govindaraji, A.; Mahalingam, A.; Uthayakumar, A. Dark soliton switching in nonlinear fiber couplers with gain. Opt. Laser Technol. 2014, 60, 18–21. [Google Scholar] [CrossRef]
- He, X.; Xie, K.; Xiang, A. Optical solitons switching in asymmetric dual-core nonlinear fiber couplers. Optik Int. J. Light Electron Opt. 2011, 122, 1222–1224. [Google Scholar] [CrossRef]
- Shum, P.; Liu, M. Effects of intermodal dispersion on two-nonidentical-core coupler with different radii. IEEE Photonics Technol. Lett. 2002, 14, 1106–1108. [Google Scholar] [CrossRef]
- Nóbrega, K.; da Silva, M.; Sombra, A. Multistable all-optical switching behavior of the asymmetric nonlinear directional coupler. Opt. Commun. 2000, 173, 413–421. [Google Scholar] [CrossRef]
- Kaup, D.J.; Lakoba, T.I.; Malomed, B.A. Asymmetric solitons in mismatched dual-core optical fibers. J. Opt. Soc. Am. B 1997, 14, 1199–1206. [Google Scholar] [CrossRef]
- Atai, J.; Malomed, B.A. Stability and interactions of solitons in asymmetric dual-core optical waveguides. Opt. Commun. 2003, 221, 55–62. [Google Scholar] [CrossRef]
- Atai, J.; Malomed, B.A. Spatial solitons in a medium composed of self-focusing and self-defocusing layers. Phys. Lett. A 2002, 298, 140–148. [Google Scholar] [CrossRef]
- Zafrany, A.; Malomed, B.A.; Merhasin, I.M. Solitons in a linearly coupled system with separated dispersion and nonlinearity. Chaos Interdiscip. J. Nonlinear Sci. 2005, 15, 037108. [Google Scholar] [CrossRef] [PubMed]
- Govindaraji, A.; Mahalingam, A.; Uthayakumar, A. Interaction dynamics of bright solitons in linearly coupled asymmetric systems. Opt. Quantum Electron. 2016, 48, 563. [Google Scholar] [CrossRef]
- Xu, W.C.; Zhang, S.M.; Chen, W.C.; Luo, A.P.; Liu, S.H. Modulation instability of femtosecond pulses in dispersion-decreasing fibers. Opt. Commun. 2001, 199, 355–360. [Google Scholar] [CrossRef]























© 2017 by the authors. Licensee MDPI, Basel, Switzerland. This article is an open access article distributed under the terms and conditions of the Creative Commons Attribution (CC BY) license (http://creativecommons.org/licenses/by/4.0/).
Share and Cite
Govindarajan, A.; Malomed, B.A.; Mahalingam, A.; Uthayakumar, A. Modulational Instability in Linearly Coupled Asymmetric Dual-Core Fibers. Appl. Sci. 2017, 7, 645. https://doi.org/10.3390/app7070645
Govindarajan A, Malomed BA, Mahalingam A, Uthayakumar A. Modulational Instability in Linearly Coupled Asymmetric Dual-Core Fibers. Applied Sciences. 2017; 7(7):645. https://doi.org/10.3390/app7070645
Chicago/Turabian StyleGovindarajan, Arjunan, Boris A. Malomed, Arumugam Mahalingam, and Ambikapathy Uthayakumar. 2017. "Modulational Instability in Linearly Coupled Asymmetric Dual-Core Fibers" Applied Sciences 7, no. 7: 645. https://doi.org/10.3390/app7070645
APA StyleGovindarajan, A., Malomed, B. A., Mahalingam, A., & Uthayakumar, A. (2017). Modulational Instability in Linearly Coupled Asymmetric Dual-Core Fibers. Applied Sciences, 7(7), 645. https://doi.org/10.3390/app7070645

