Iridescent Perfect Absorption in Critically-Coupled Acoustic Metamaterials Using the Transfer Matrix Method
Abstract
:1. Introduction
2. Materials and Methods
2.1. Description of the System
2.2. Theoretical Model
2.3. Visco-Thermal Losses Model
3. Results
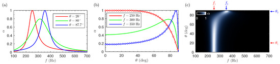
3.1. Perfect Absorption under Oblique Incidence
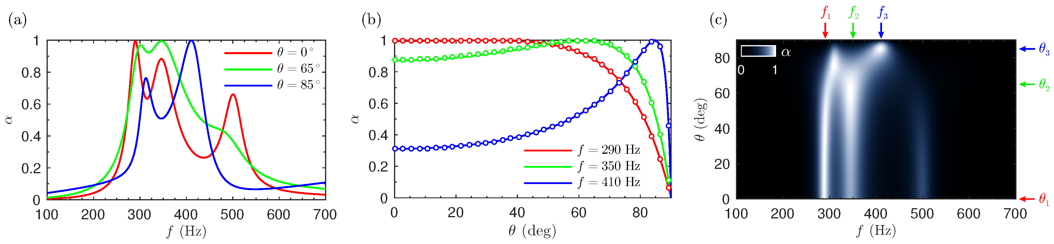
3.2. Acoustic Iridescence by Perfect Absorption
3.3. Optimal Absorption in Diffuse Field
4. Discussion
5. Conclusions
Acknowledgments
Author Contributions
Conflicts of Interest
Appendix A. Geometrical Parameters
| n | (mm) | (mm) | (mm) | (mm) |
|---|---|---|---|---|
| 1 | 0.25 | 24.6 | 2.0 | 56.7 |
| n | (mm) | (mm) | (mm) | (mm) |
|---|---|---|---|---|
| 1 | 0.8 | 81.6 | 1.5 | 14.9 |
| 2 | 21.8 | 60.6 | 3.4 | 14.9 |
| 3 | 1.4 | 81.0 | 4.5 | 14.9 |
References
- Allard, J.; Atalla, N. Propagation of Sound in Porous Media: Modelling Sound Absorbing Materials 2e; John Wiley & Sons: New York, NY, USA, 2009. [Google Scholar]
- Olny, X.; Boutin, C. Acoustic wave propagation in double porosity media. J. Acoust. Soc. Am. 2003, 114, 73–89. [Google Scholar] [CrossRef] [PubMed]
- Dupont, T.; Leclaire, P.; Sicot, O.; Gong, X.L.; Panneton, R. Acoustic properties of air-saturated porous materials containing dead-end porosity. J. Appl. Phys. 2011, 110, 094903. [Google Scholar] [CrossRef]
- Leclaire, P.; Umnova, O.; Dupont, T.; Panneton, R. Acoustical properties of air-saturated porous material with periodically distributed dead-end poresa). J. Acoust. Soc. Am. 2015, 137, 1772–1782. [Google Scholar] [CrossRef] [PubMed]
- Jiménez, N.; Romero-García, V.; Cebrecos, A.; Picó, R.; Sánchez-Morcillo, V.J.; García-Raffi, L.M. Broadband quasi perfect absorption using chirped multi-layer porous materials. AIP Adv. 2016, 6, 121605. [Google Scholar] [CrossRef]
- Groby, J.P.; Duclos, A.; Dazel, O.; Boeckx, L.; Lauriks, W. Absorption of a rigid frame porous layer with periodic circular inclusions backed by a periodic grating. J. Acoust. Soc. Am. 2011, 129, 3035–3046. [Google Scholar] [CrossRef] [PubMed]
- Lagarrigue, C.; Groby, J.; Tournat, V.; Dazel, O.; Umnova, O. Absorption of sound by porous layers with embedded periodic arrays of resonant inclusions. J. Acoust. Soc. Am. 2013, 134, 4670–4680. [Google Scholar] [CrossRef] [PubMed]
- Boutin, C. Acoustics of porous media with inner resonators. J. Acoust. Soc. Am. 2013, 134, 4717–4729. [Google Scholar] [CrossRef] [PubMed]
- Groby, J.P.; Lagarrigue, C.; Brouard, B.; Dazel, O.; Tournat, V.; Nennig, B. Enhancing the absorption properties of acoustic porous plates by periodically embedding Helmholtz resonators. J. Acoust. Soc. Am. 2015, 137, 273–280. [Google Scholar] [CrossRef] [PubMed]
- Yang, Z.; Mei, J.; Yang, M.; Chan, N.; Sheng, P. Membrane-type acoustic metamaterial with negative dynamic mass. Phys. Rev. Lett. 2008, 101, 204301. [Google Scholar] [CrossRef] [PubMed]
- Mei, J.; Ma, G.; Yang, M.; Yang, Z.; Wen, W.; Sheng, P. Dark acoustic metamaterials as super absorbers for low-frequency sound. Nat. Commun. 2012, 3, 756. [Google Scholar] [CrossRef] [PubMed]
- Ma, G.; Yang, M.; Xiao, S.; Yang, Z.; Sheng, P. Acoustic metasurface with hybrid resonances. Nat. Mater. 2014, 13, 873–878. [Google Scholar] [CrossRef] [PubMed]
- Romero-García, V.; Theocharis, G.; Richoux, O.; Merkel, A.; Tournat, V.; Pagneux, V. Perfect and broadband acoustic absorption by critically coupled sub-wavelength resonators. Sci. Rep. 2016, 6, 19519. [Google Scholar] [CrossRef] [PubMed]
- Romero-García, V.; Theocharis, G.; Richoux, O.; Pagneux, V. Use of complex frequency plane to design broadband and sub-wavelength absorbers. J. Acoust. Soc. Am. 2016, 139, 3395–3403. [Google Scholar] [CrossRef] [PubMed]
- Jiménez, N.; Huang, W.; Romero-García, V.; Pagneux, V.; Groby, J.P. Ultra-thin metamaterial for perfect and quasi-omnidirectional sound absorption. Appl. Phys. Lett. 2016, 109, 121902. [Google Scholar] [CrossRef]
- Jiménez, N.; Romero-García, V.; Pagneux, V.; Groby, J.P. Quasiperfect absorption by subwavelength acoustic panels in transmission using accumulation of resonances due to slow sound. Phys. Rev. B 2017, 95, 014205. [Google Scholar] [CrossRef]
- Groby, J.P.; Huang, W.; Lardeau, A.; Aurégan, Y. The use of slow waves to design simple sound absorbing materials. J. Appl. Phys. 2015, 117, 124903. [Google Scholar] [CrossRef]
- Groby, J.P.; Pommier, R.; Aurégan, Y. Use of slow sound to design perfect and broadband passive sound absorbing materials. J. Acoust. Soc. Am. 2016, 139, 1660–1671. [Google Scholar] [CrossRef] [PubMed]
- Li, Y.; Assouar, B.M. Acoustic metasurface-based perfect absorber with deep subwavelength thickness. Appl. Phys. Lett. 2016, 108, 063502. [Google Scholar] [CrossRef]
- Cox, T.J.; D’Antonio, P. Acoustic Absorbers and Diffusers: Theory, Design and Application, 3rd ed.; CRC Press: Boca Raton, FL, USA, 2016. [Google Scholar]
- Vukusic, P. Evolutionary photonics with a twist. Science 2009, 325, 398–399. [Google Scholar] [CrossRef] [PubMed]
- Seago, A.E.; Brady, P.; Vigneron, J.P.; Schultz, T.D. Gold bugs and beyond: A review of iridescence and structural colour mechanisms in beetles (Coleoptera). J. R. Soc. Interface 2009, 6, S165–S184. [Google Scholar] [CrossRef] [PubMed]
- Cox, T.J. Acoustic iridescence. J. Acoust. Soc. Am. 2011, 129, 1165–1172. [Google Scholar] [CrossRef] [PubMed]
- Mechel, F.P. Formulas of Acoustics, 2nd ed.; Springer Science & Business Media: Norwell, MA, USA, 2008; pp. 316–327. [Google Scholar]
- Stinson, M.R. The propagation of plane sound waves in narrow and wide circular tubes, and generalization to uniform tubes of arbitrary cross-sectional shape. J. Acoust. Soc. Am. 1991, 89, 550–558. [Google Scholar] [CrossRef]
- Theocharis, G.; Richoux, O.; García, V.R.; Merkel, A.; Tournat, V. Limits of slow sound propagation and transparency in lossy, locally resonant periodic structures. New J. Phys. 2014, 16, 093017. [Google Scholar] [CrossRef]
- Powell, M.J. A fast algorithm for nonlinearly constrained optimization calculations. In Numerical Analysis; Springer: New York, NY, USA, 1978; pp. 144–157. [Google Scholar]
- Auregan, Y.; Pagneux, V. Slow sound in lined flow ducts. J. Acoust. Soc. Am. 2015, 138, 605–613. [Google Scholar] [CrossRef] [PubMed]
- Wood, R.W. Anomalous diffraction gratings. Phys. Rev. 1935, 48, 928. [Google Scholar] [CrossRef]
- Hessel, A.; Oliner, A. A new theory of Wood’s anomalies on optical gratings. Appl. Opt. 1965, 4, 1275–1297. [Google Scholar] [CrossRef]
- Burns, S.H. Normal-mode theory of enclosures with thermoviscous dissipation at the walls. J. Acoust. Soc. Am. 1978, 63, 1857–1860. [Google Scholar] [CrossRef]






© 2017 by the authors. Licensee MDPI, Basel, Switzerland. This article is an open access article distributed under the terms and conditions of the Creative Commons Attribution (CC BY) license (http://creativecommons.org/licenses/by/4.0/).
Share and Cite
Jiménez, N.; Groby, J.-P.; Pagneux, V.; Romero-García, V. Iridescent Perfect Absorption in Critically-Coupled Acoustic Metamaterials Using the Transfer Matrix Method. Appl. Sci. 2017, 7, 618. https://doi.org/10.3390/app7060618
Jiménez N, Groby J-P, Pagneux V, Romero-García V. Iridescent Perfect Absorption in Critically-Coupled Acoustic Metamaterials Using the Transfer Matrix Method. Applied Sciences. 2017; 7(6):618. https://doi.org/10.3390/app7060618
Chicago/Turabian StyleJiménez, Noé, Jean-Philippe Groby, Vincent Pagneux, and Vicent Romero-García. 2017. "Iridescent Perfect Absorption in Critically-Coupled Acoustic Metamaterials Using the Transfer Matrix Method" Applied Sciences 7, no. 6: 618. https://doi.org/10.3390/app7060618
APA StyleJiménez, N., Groby, J.-P., Pagneux, V., & Romero-García, V. (2017). Iridescent Perfect Absorption in Critically-Coupled Acoustic Metamaterials Using the Transfer Matrix Method. Applied Sciences, 7(6), 618. https://doi.org/10.3390/app7060618

