Performance Comparison of Time-Frequency Distributions for Estimation of Instantaneous Frequency of Heart Rate Variability Signals
Abstract
:1. Introduction
2. Review of Kernel-Based TF Methods
2.1. The Spectrogram
2.2. The S-Method
2.3. The Modified B Distribution
2.4. The Adaptive Optimal Kernel Time-Frequency Distribution
2.5. The Adaptive Directional Time-Frequency Distribution
3. Method
3.1. Participants
3.2. ECG and Respiration Recording
3.3. Procedure
3.4. Data Reduction and Evaluation
3.5. Criteria for Comparison of TFDs
3.6. Models Used for Generating Simulated HR Signals
- Integral pulse frequency modulation model (IPFM).
- Amplitude modulation frequency modulation model (AM–FM).
4. Results
4.1. Performance Comparison Based on Energy Concentration
4.1.1. Measured Signals
4.1.2. Simulated Signals
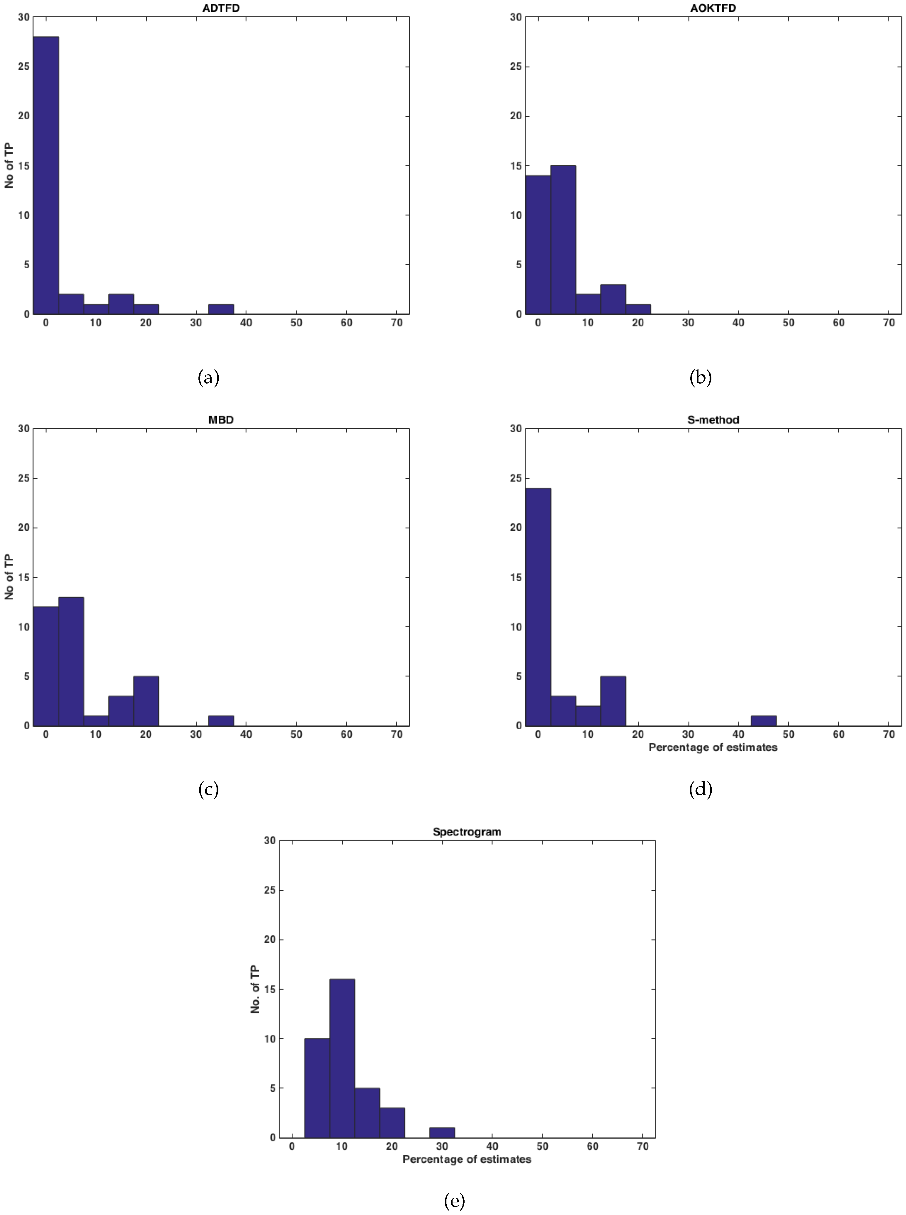
4.2. Accuracy of the Instantaneous Respiratory Frequency Estimate
5. Conclusions
Acknowledgments
Author Contributions
Conflicts of Interest
References
- Task Force of the European Society of Cardiology and the North American Society of Pacing and Electrophysiology. Heart rate variability: Standards of measurement, physiological interpretation, and clinical use. Eur. Heart J. 1996, 17, 354–381. [Google Scholar]
- Porges, S.W. Orienting in a defensive world: Mammalian modification of our evolutionary heritage. A polyvagal theory. Psychophysiology 1995, 32, 301–318. [Google Scholar] [CrossRef] [PubMed]
- Porges, S.W. The polyvagal perspective. Biol. Psychol. 2007, 74, 116–143. [Google Scholar] [CrossRef] [PubMed]
- Gates, K.M.; Gatzke-Kopp, L.M.; Sandsten, M.; Blandon, A.Y. Estimating time-varying RSA to examine psychophysiological linkage of marital dyads. Psychophysiology 2015. [Google Scholar] [CrossRef] [PubMed]
- Dolatabadi, A.D.; Khadem, S.E.Z.; Asl, B.M. Automated diagnosis of coronary artery disease (CAD) patients using optimized SVM. Comput. Methods Progr. Biomed. 2017, 138, 117–126. [Google Scholar] [CrossRef] [PubMed]
- Levine, J.; Fleming, R.; Piedmont, J.I.; Cain, S.M.; Chen, W.J. Heart rate variability and generalized anxiety disorder during laboratory-induced worry and aversive imagery. J. Affect. Disord. 2016, 205, 207–215. [Google Scholar] [CrossRef] [PubMed]
- Thayer, J.F.; Yamamoto, S.S.; Brosschot, J.F. Review: The relationship of autonomic imbalance, heart rate variability and cardiovascular disease risk factors. Int. J. Cardiol. 2010, 141, 122–131. [Google Scholar] [CrossRef] [PubMed]
- Hansson, M.; Jönsson, P. Estimation of HRV spectrogram using multiple window methods focussing on the high frequency power. Med. Eng. Phys. 2006, 28, 749–761. [Google Scholar] [CrossRef] [PubMed]
- Hansson-Sandsten, M.; Jönsson, P. Multiple window correlation analysis of HRV power and respiratory frequency. IEEE Trans. Biomed. Eng. 2007, 54, 1770–1779. [Google Scholar] [CrossRef] [PubMed]
- Melkonian, D.; Korner, A.; Meares, R.; Bahramali, H. Increasing sensitivity in the measurement of heart rate variability: The method of non-stationary RR time-frequency analysis. Comput. Methods Progr. Biomed. 2012, 108, 53–67. [Google Scholar] [CrossRef] [PubMed]
- Bailón, R.; Sörnmo, L.; Laguna, P. A robust method for ECG-based estimation of the respiratory frequency during stress testing. IEEE Trans. Biomed. Eng. 2006, 53, 1273–1285. [Google Scholar] [CrossRef] [PubMed]
- Bailón, R.; Mainardi, L.; Orini, M.; Sörnmo, L.; Laguna, P. Analysis of heart rate variability during exercise stress testing using respiratory information. Biomed. Signal Proc. Control 2010, 5, 299–310. [Google Scholar] [CrossRef]
- Hernando, A.; Lazaro, J.; Gil, E.; Arza, A.; Garzon, J.M.; Lopez-Anton, R.; de la Camara, C.; Laguna, P.; Aguilo, J.; Bailon, R. Inclusion of respiratory frequency information in heart rate variability analysis for stress assessment. IEEE J. Biomed. Health Inform. 2016, 20, 1016–1025. [Google Scholar] [CrossRef] [PubMed]
- Stark, R.; Schienle, A.; Walter, B.; Vaitl, D. Effects of paced respiration on heart period and heart period variability. Psychophysiology 2000, 37, 302–309. [Google Scholar] [CrossRef] [PubMed]
- Song, H.; Lehrer, P.M. The effects of specific respiratory rates on heart rate and heart rate variability. Appl. Psychophysiol. Biofeedback 2003, 28, 13–23. [Google Scholar] [CrossRef] [PubMed]
- Grossman, P.; Taylor, E.W. Toward understanding respiratory sinus arrhythmia: Relations to cardiac vagal tone, evolution and biobehavioral functions. Biol. Psychol. 2007, 74, 263–285. [Google Scholar] [CrossRef] [PubMed]
- Schäfer, A.; Kratky, K.W. Estimation of breathing rate from respiratory sinus arrhythmia: Comparison of Various Methods. Ann. Biomed. Eng. 2008, 36, 476–485. [Google Scholar] [CrossRef] [PubMed]
- Ebrahimi, F.; Setarehdan, S.K.; Nazeran, H. Automatic sleep staging by simultaneous analysis of ECG and respiratory signals in long epochs. Biomed. Signal Proc. Control 2015, 18, 69–79. [Google Scholar] [CrossRef]
- Lenis, G.; Kircher, M.; Lázaro, J.; Bailón, R.; Gil, E. Separating the effect of respiration on the heart rate variability using Granger’s causality and linear filtering. Biomed. Signal Proc. Control 2017, 31, 272–287. [Google Scholar] [CrossRef]
- Sekhar, S.C.; Sreenivas, T.V. Adaptive spectrogram vs. adaptive pseudo-Wigner-Ville distribution for instantaneous frequency estimation. Signal Proc. 2003, 83, 1529–1543. [Google Scholar] [CrossRef]
- Malarvili, M.B.; Mesbah, M. Newborn seizure detection based on heart rate variability. IEEE Trans. Biomed. Eng. 2009, 56, 2594–2603. [Google Scholar] [CrossRef] [PubMed]
- Hlawatsch, F.; Boudreaux-Bartels, G.F. Linear and quadratic time-frequency signal representations. IEEE Signal Proc. Mag. 1992, 9, 21–67. [Google Scholar] [CrossRef]
- Auger, F.; Flandrin, P.; Lin, Y.T.; McLaughlin, S.; Meignen, S.; Oberlin, T.; Wu, H.T. Time-frequency reassignment and synchrosqueezing: An overview. IEEE Signal Proc. Mag. 2013, 30, 32–41. [Google Scholar] [CrossRef]
- Lin, Y.T.; Wu, H.T. ConceFT for time-varying heart rate variability analysis as a measure of noxious stimulation during general anesthesia. IEEE Trans. Biomed. Eng. 2017, 64, 145–154. [Google Scholar] [CrossRef] [PubMed]
- Wu, H.T.; Wu, H.K.; Wang, C.L.; Yang, Y.L.; Wu, W.H.; Tsai, T.H.; Chang, H.H. Modeling the pulse signal by wave-shape function and analyzing by synchrosqueezing transform. PLoS ONE 2016, 11, e0157135. [Google Scholar] [CrossRef] [PubMed]
- Boashash, B.; Khan, N.A.; Ben-Jabeur, T. Time–frequency features for pattern recognition using high-resolution TFDs: A tutorial review. Digit. Signal Proc. 2015, 40, 1–30. [Google Scholar] [CrossRef]
- Barkat, B.; Boashash, B. A high-resolution quadratic time-frequency distribution for multicomponent signals analysis. IEEE Trans. Signal Proc. 2001, 49, 2232–2239. [Google Scholar] [CrossRef]
- Stevenson, N.; Mesbah, M.; Boashash, B. Quadratic time-frequency distribution selection for seizure detection in the newborn. In Proceedings of the 30th Annual International Conference of the IEEE Engineering in Medicine and Biology Society, Vancouver, BC, Canada, 20–25 August 2008; pp. 923–926.
- Stanković, L.J. A method for time-frequency analysis. IEEE Trans. Signal Proc. 1994, 42, 225–229. [Google Scholar] [CrossRef]
- Orović, I.; Stanković, S. Time-frequency-based speech regions characterization and eigenvalue decomposition applied to speech watermarking. EURASIP J. Adv. Signal Proc. 2010, 2010, 572748. [Google Scholar] [CrossRef]
- Stanković, L.; Thayaparan, T.; Daković, M.; Popović, V. S-method in radar imaging. In Proceedings of the 14th European Signal Processing Conference, Florence, Italy, 4–8 September 2006; pp. 1–5.
- Jones, D.L.; Baraniuk, R.G. An adaptive optimal-kernel time-frequency representation. IEEE Trans. Signal Proc. 1995, 43, 2361–2371. [Google Scholar] [CrossRef]
- Khan, N.A.; Boashash, B. Multi-component instantaneous frequency estimation using locally adaptive directional time frequency distributions. Int. J. Adapt. Control Signal Proc. 2016, 30, 429–442. [Google Scholar] [CrossRef]
- Khan, N.A.; Ali, S. Classification of EEG signals using adaptive time-frequency distributions. Metrol. Meas. Syst. 2016, 23, 251–260. [Google Scholar] [CrossRef]
- Khan, N.A.; Ali, S.; Jansson, M. Direction of arrival estimation using adaptive directional time-frequency distributions. Multidimens. Syst. Signal Proc. 2016, 1–19. [Google Scholar] [CrossRef]
- Stanković, L.; Djurović, I.; Stanković, S.; Simeunović, M.; Djukanović, S.; Daković, M. Instantaneous frequency in time–frequency analysis: Enhanced concepts and performance of estimation algorithms. Digit. Signal Proc. 2014, 35, 1–13. [Google Scholar] [CrossRef]
- Huang, N.E.; Shen, Z.; Long, S.R.; Wu, M.C.; Shih, H.H.; Zheng, Q.; Yen, N.C.; Tung, C.C.; Liu, H.H. The empirical mode decomposition and the Hilbert spectrum for nonlinear and non-stationary time series analysis. Proc. R. Soc. Lond. A Math. Phys. Eng. Sci. 1998, 454, 903–995. [Google Scholar] [CrossRef]
- Altan, G.; Kutlu, Y.; Allahverdi, N. A new approach to early diagnosis of congestive heart failure disease by using Hilbert-Huang transform. Comput. Methods Progr. Biomed. 2016, 137, 23–34. [Google Scholar] [CrossRef] [PubMed]
- Xie, H.; Wang, Z. Mean frequency derived via Hilbert-Huang transform with application to fatigue EMG signal analysis. Comput. Methods Progr. Biomed. 2006, 82, 114–120. [Google Scholar] [CrossRef] [PubMed]
- Oweis, R.J.; Abdulhay, E.W. Seizure classification in EEG signals utilizing Hilbert-Huang transform. Biomed. Eng. Online 2011, 10, 38. [Google Scholar] [CrossRef] [PubMed]
- Khan, N.A.; Boashash, B. Instantaneous frequency estimation of multicomponent nonstationary signals using multiview time-frequency distributions based on the adaptive fractional spectrogram. IEEE Signal Proc. Lett. 2013, 20, 157–160. [Google Scholar] [CrossRef]
- Cohen, L. Time-frequency distributions—A review. Proc. IEEE 1989, 77, 941–981. [Google Scholar] [CrossRef]
- Hlawatsch, F. Interference terms in the Wigner distribution. Digit. Signal Proc. 1984, 84, 363–367. [Google Scholar]
- Sejdić, E.; Djurović, I.; Jiang, J. Time–frequency feature representation using energy concentration: An overview of recent advances. Digit. Signal Proc. 2009, 19, 153–183. [Google Scholar] [CrossRef]
- Stanković, L. A measure of some time–frequency distributions concentration. Signal Proc. 2001, 81, 621–631. [Google Scholar] [CrossRef]
- MacFarland, T.W. Student’s t-Test for Independent Samples. In Introduction to Data Analysis and Graphical Presentation in Biostatistics with R: Statistics in the Large; Springer: Cham, Switzerland, 2014; pp. 17–46. [Google Scholar]
- Bailón, R.; Laouini, G.; Grao, C.; Orini, M.; Laguna, P.; Meste, O. The integral pulse frequency modulation model with time-varying threshold: Application to heart rate variability analysis during exercise stress testing. IEEE Trans. Biomed. Eng. 2011, 58, 642–652. [Google Scholar] [CrossRef] [PubMed]
- Boashash, B. Advances in Spectral Analysis and Array Processing; Prentice Hall: Englewood Cliff, NJ, USA, 1991; pp. 418–517. [Google Scholar]






| TFD | ADTFD | AOKTFD | MBD | S-method | Spectrogram |
|---|---|---|---|---|---|
| EC (mean) | 0.8554 | 1.4576 | 1.4129 | 1.4298 | 1.6417 |
| EC (standard deviation) | 1.5582 | 3.3485 | 2.2148 | 2.2651 | 2.9416 |
| TFD | ADTFD | AOKTFD | MBD | S-method | Spectrogram |
|---|---|---|---|---|---|
| EC | 7.0524 | 1.5547 | 1.5241 | 1.4872 | 1.8622 |
| TFD | ADTFD | AOKTFD | MBD | S-method | Spectrogram |
|---|---|---|---|---|---|
| EC | 3.7660 | 9.2798 | 1.0854 | 6.6109 | 1.0974 |
| TFD | ADTFD | AOKTFD | MBD | S-method | Spectrogram |
|---|---|---|---|---|---|
| gr.av.MSE | 0.0656 | 0.0387 | 0.111 | 0.0633 | 0.0668 |
| TFD | ADTFD | AOKTFD | MBD | S-method | Spectrogram |
|---|---|---|---|---|---|
| No. of TPs (perc.) | 25 (71.4%) | 10 (28.6%) | 5 (14.3%) | 15 (42.9%) | 0 (0%) |
© 2017 by the authors. Licensee MDPI, Basel, Switzerland. This article is an open access article distributed under the terms and conditions of the Creative Commons Attribution (CC BY) license ( http://creativecommons.org/licenses/by/4.0/).
Share and Cite
Khan, N.A.; Jönsson, P.; Sandsten, M. Performance Comparison of Time-Frequency Distributions for Estimation of Instantaneous Frequency of Heart Rate Variability Signals. Appl. Sci. 2017, 7, 221. https://doi.org/10.3390/app7030221
Khan NA, Jönsson P, Sandsten M. Performance Comparison of Time-Frequency Distributions for Estimation of Instantaneous Frequency of Heart Rate Variability Signals. Applied Sciences. 2017; 7(3):221. https://doi.org/10.3390/app7030221
Chicago/Turabian StyleKhan, Nabeel Ali, Peter Jönsson, and Maria Sandsten. 2017. "Performance Comparison of Time-Frequency Distributions for Estimation of Instantaneous Frequency of Heart Rate Variability Signals" Applied Sciences 7, no. 3: 221. https://doi.org/10.3390/app7030221
APA StyleKhan, N. A., Jönsson, P., & Sandsten, M. (2017). Performance Comparison of Time-Frequency Distributions for Estimation of Instantaneous Frequency of Heart Rate Variability Signals. Applied Sciences, 7(3), 221. https://doi.org/10.3390/app7030221

