Microbial Succession and the Dynamics of Chemical Compounds during the Solid-State Fermentation of Pu-erh Tea
Abstract
:1. Introduction
2. Materials and Methods
2.1. Pu-erh Tea Fermentation and Sample Collection
2.2. Analysis of PFPT’s Chemical Compounds
2.3. Enumeration of Microorganisms in SSF of PFPT
2.4. Pyrosequencing Analysis
2.5. Statistical Analyses
3. Results and Discussion
3.1. SSF of PFPT, Sample Collection, and Variations in Chemical Compounds
3.2. Diversity of Microbial Communities during SSF of PFPT
3.3. Dynamics and Source of Bacteria during SSF of PFPT
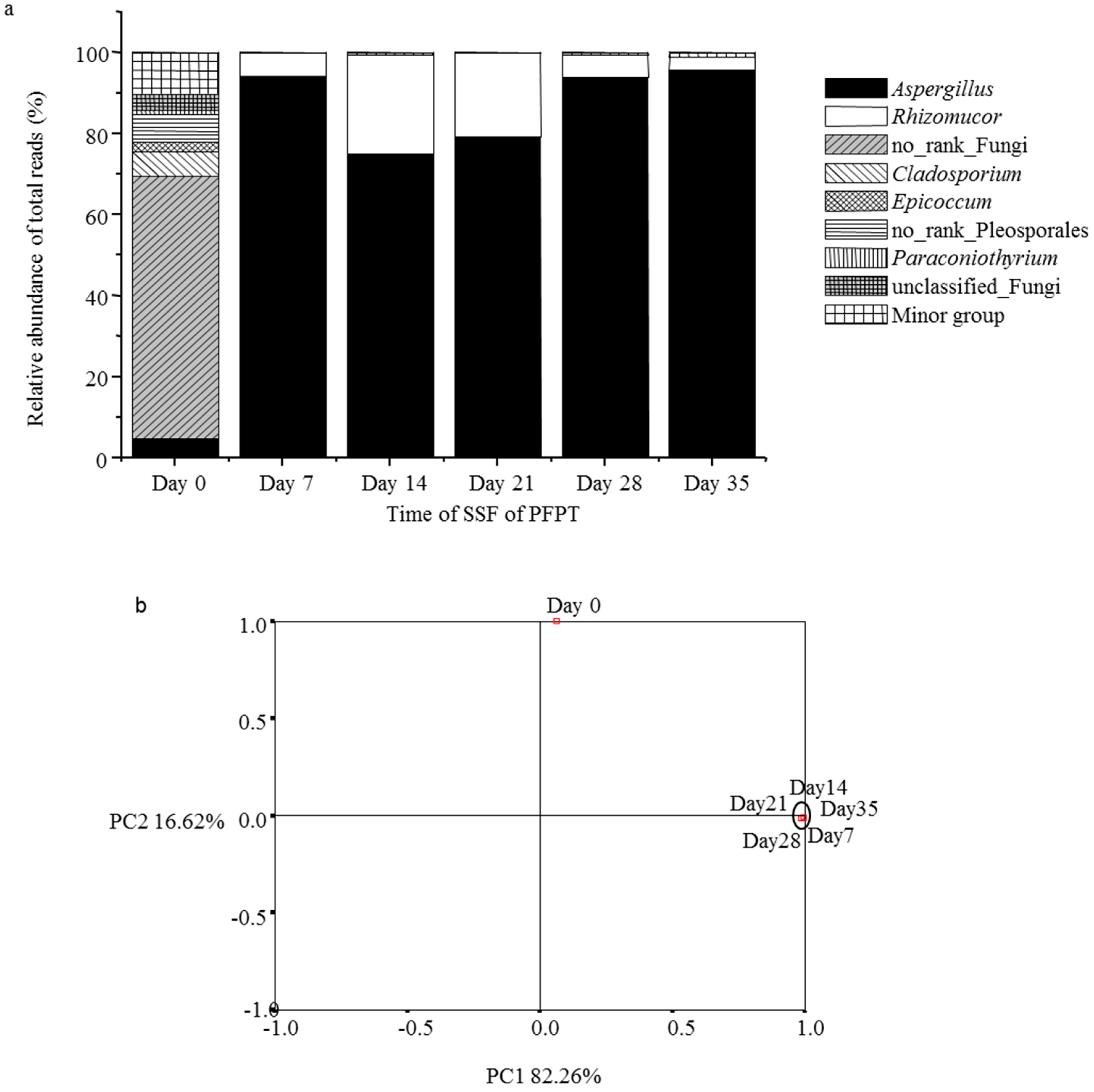
3.4. Dynamics and Source of Fungi during SSF of PFPT
3.5. Correlations among Microbiota and Tea Components
3.6. Staphylococcus in SSF of Pu-erh Tea
4. Conclusions
Acknowledgments
Author Contributions
Conflicts of Interest
References
- Lv, H.; Zhang, Y.; Lin, Z.; Liang, Y. Processing and chemical constituents of Pu-erh tea: A review. Food Res. Int. 2013, 53, 608–618. [Google Scholar] [CrossRef]
- Lee, L.K.; Foo, K.Y. Recent advances on the beneficial use and health implications of Pu-Erh tea. Food Res. Int. 2013, 53, 619–628. [Google Scholar] [CrossRef]
- Stodt, U.W.; Blauth, N.; Niemann, S.; Stark, J.; Pawar, V.; Jayaraman, S.; Koek, J.; Engelhardt, U.H. Investigation of processes in black tea manufacture through model fermentation (oxidation) experiments. J. Agric. Food Chem. 2014, 62, 7854–7861. [Google Scholar] [CrossRef] [PubMed]
- Wan, X.; Li, D.; Zhang, Z. Green Tea and Black Tea Manufacturing and Consumption. In Tea and Tea Products: Chemistry and Health-Promoting Properties; Ho, C.T., Lin, J.K., Shahidi, F., Eds.; CRC Press: Boca Raton, FL, USA, 2008; pp. 1–8. [Google Scholar]
- Chen, H.; Lin-Shiau, S.; Lin, J. Pu-erh tea its manufacturing and health benefits. In Tea and Tea Products: Chemistry and Health-Promoting Properties; Ho, C.T., Lin, J.K., Shahidi, F., Eds.; CRC Press: Boca Raton, FL, USA, 2008; pp. 9–16. [Google Scholar]
- Shao, W.; Powell, C.; Clifford, M.N. The analysis by HPLC of green, black and Pu’er teas produced in Yunnan. J. Sci. Food Agric. 1995, 69, 535–540. [Google Scholar] [CrossRef]
- Zhao, M.; Xiao, W.; Ma, Y.; Sun, T.; Yuan, W.; Tang, N.; Zhang, D.; Wang, Y.; Li, Y.; Zhou, H.; et al. Structure and dynamics of the bacterial communities in fermentation of the traditional Chinese post-fermented pu-erh tea revealed by 16S rRNA gene clone library. World J. Microb. Biotechnol. 2013, 29, 1877–1884. [Google Scholar] [CrossRef] [PubMed]
- Abe, M.; Takaoka, N.; Idemoto, Y.; Takagi, C.; Imai, T.; Nakasaki, K. Characteristic fungi observed in the fermentation process for Puer tea. Int. J. Food Microbiol. 2008, 124, 199–203. [Google Scholar] [CrossRef] [PubMed]
- Tian, J.; Zhu, Z.; Wu, B.; Wang, L.; Liu, X. Bacterial and Fungal Communities in Pu’er Tea Samples of Different Ages. J. Food Sci. 2013, 78, M1249–M1256. (In Chinese) [Google Scholar] [CrossRef] [PubMed]
- Yang, X.P.; Luo, J.F.; Xin, L.; Liu, T.X.; Lin, W.T. Microbial Community Structure and Change during Solid Fermentation of Pu-erh Tea. Food Chem. 2013, 34, 142–147. (In Chinese) [Google Scholar]
- Zhang, Y.; Zhao, S.; Liang, H.; Li, W.; Tengfei, Z.; Changwen, L. Changes of fungal community in Puer tea fermentation. China Brew. 2012, 1, 122–125. (In Chinese) [Google Scholar]
- Lyu, C.; Chen, C.; Ge, F.; Liu, D.; Zhao, S.; Chen, D. A preliminary metagenomic study of puer tea during pile fermentation. J. Sci. Food Agric. 2013, 93, 3165–3174. [Google Scholar] [CrossRef] [PubMed]
- Zhao, M.; Zhang, D.L.; Su, X.Q.; Duan, S.M.; Wan, J.Q.; Yuan, W.X.; Liu, B.Y.; Ma, Y.; Pan, Y.H. An Integrated Metagenomics/Metaproteomics Investigation of the Microbial Communities and Enzymes in Solid-state Fermentation of Pu-erh tea. Sci. Rep. 2015, 5, 10117. [Google Scholar] [CrossRef] [PubMed]
- Zhang, Y.; Skaar, I.; Sulyok, M.; Liu, X.; Rao, M.; Taylor, J.W. The Microbiome and Metabolites in Fermented Pu-erh Tea as Revealed by High-Throughput Sequencing and Quantitative Multiplex Metabolite Analysis. PLoS ONE 2016, 11, e157847. [Google Scholar] [CrossRef] [PubMed]
- Gong, Z.; Watanabe, N.; Yagi, A.; Etoh, H.; Sakata, K.; Ina, K.; Liu, Q. Compositional change of Pu-erh tea during processing. Agric. Biol. Chem. 1993, 57, 1745–1746. [Google Scholar]
- Lee, J.; Lee, B.; Chung, J.; Shin, H.; Lee, S.; Lee, C.; Hong, Y. 1H NMR-based metabolomic characterization during green tea (Camellia sinensis) fermentation. Food Res. Int. 2011, 44, 597–604. [Google Scholar] [CrossRef]
- Qin, J.H.; Li, N.; Tu, P.F.; Ma, Z.Z.; Zhang, L. Change in tea polyphenol and purine alkaloid composition during solid-state fungal fermentation of postfermented tea. J. Agric. Food Chem. 2012, 60, 1213–1217. [Google Scholar] [CrossRef] [PubMed]
- Gong, S.; Chengyin, L.; Xu, L.; Yuxiang, Z.; Hong, S.; Yalin, G.; Jihong, W.; Lei, Z.; Zilei, G. Methodology of Sensory Evaluation of Tea GB/T 23776–2009; China Agriculture Press: Beijing, China, 2009. [Google Scholar]
- Liang, Y.; Zhang, L.; Lu, J. A study on chemical estimation of Pu-erh tea quality. J. Sci. Food Agric. 2005, 85, 381–390. [Google Scholar] [CrossRef]
- Wang, Q.; Peng, C.; Gong, J. Effects of enzymatic action on the formation of theabrownin during solid state fermentation of Pu-erh tea. J. Sci. Food Agric. 2011, 91, 2412–2418. [Google Scholar] [CrossRef] [PubMed]
- Schloss, P.D.; Gevers, D.; Westcott, S.L. Reducing the effects of PCR amplification and sequencing artifacts on 16S rRNA-based studies. PLoS ONE 2011, 6, e27310. [Google Scholar] [CrossRef] [PubMed]
- Schloss, P.D.; Westcott, S.L.; Ryabin, T.; Hall, J.R.; Hartmann, M.; Hollister, E.B.; Lesniewski, R.A.; Oakley, B.B.; Parks, D.H.; Robinson, C.J.; et al. Introducing mothur: Open-source, platform-independent, community-supported software for describing and comparing microbial communities. Appl. Environ. Microb. 2009, 75, 7537–7541. [Google Scholar] [CrossRef] [PubMed]
- Edgar, R.C.; Haas, B.J.; Clemente, J.C.; Quince, C.; Knight, R. UCHIME improves sensitivity and speed of chimera detection. Bioinformatics 2011, 27, 2194–2200. [Google Scholar] [CrossRef] [PubMed]
- Huse, S.M.; Dethlefsen, L.; Huber, J.A.; Mark, W.D.; Relman, D.A.; Sogin, M.L. Exploring microbial diversity and taxonomy using SSU rRNAhypervariable tag sequencing. PLoS Genet. 2008, 4, e1000255. [Google Scholar] [CrossRef]
- Quast, C.; Pruesse, E.; Yilmaz, P.; Gerken, J.; Schweer, T.; Yarza, P.; Peplies, J.; Glockner, F.O. The SILVA ribosomal RNA gene database project: Improved data processing and web-based tools. Nucleic. Acids Res. 2013, 41, D590–D596. [Google Scholar] [CrossRef] [PubMed]
- Wang, Q.; Garrity, G.M.; Tiedje, J.M.; Cole, J.R. Naive Bayesian classifier for rapid assignment of rRNA sequences into the new bacterial taxonomy. Appl. Environ. Microbiol. 2007, 73, 5261–5267. [Google Scholar] [CrossRef] [PubMed]
- Kemp, P.F.; Aller, J.Y. Bacterial diversity in aquatic and other environments: What 16S rDNA libraries can tell us. FEMS Microbiol. Ecol. 2004, 47, 161–177. [Google Scholar] [CrossRef]
- Hennekinne, J.A.; De Buyser, M.L.; Dragacci, S. Staphylococcus aureus and its food poisoning toxins: Characterization and outbreak investigation. FEMS Microbiol. Rev. 2012, 36, 815–836. [Google Scholar] [CrossRef] [PubMed]
- Kadariya, J.; Smith, T.C.; Thapaliya, D. Staphylococcus aureus and staphylococcal food-borne disease: An ongoing challenge in public health. BioMed Res. Int. 2014, 2014, 827965. [Google Scholar] [CrossRef] [PubMed]
- Kim, O.S.; Cho, Y.J.; Lee, K.; Yoon, S.H.; Kim, M.; Na, H.; Park, S.C.; Jeon, Y.S.; Lee, J.H.; Yi, H.; et al. Introducing EzTaxon-e: A prokaryotic 16S rRNA gene sequence database with phylotypes that represent uncultured species. Int. J. Syst. Evol. Microbiol. 2012, 62, 716–721. [Google Scholar] [CrossRef] [PubMed]





| Chemical Compounds | Sample of Tea Leaves Collected During SSF of PFPT | Variation Trend | |||||
|---|---|---|---|---|---|---|---|
| 0 Day | 7 Day | 14 Day | 21 Day | 28 Day | 35 Day | ||
| TPs (%) | 37.86 ± 1.72 a | 31.55 ± 2.64 b | 22.63 ± 1.47 c | 15.71 ± 0.67 d | 12 ± 0.33 e | 10.56 ± 0.78 e | decreasing (p < 0.05) |
| FAA (%) | 2.52 ± 0.02 a | 2 ± 0.03 b | 1.47 ± 0.15 c | 1.01 ± 0.09 d | 0.93 ± 0.15 d | 0.62 ± 0.23 e | decreasing (p < 0.05) |
| EGC (mg/g) | 29.60 ± 7.94 aa | 47.41 ± 8.28 bb | 33.65 ± 6.67 aa | 15.89 ± 6.06 cc | 11.46 ± 2.51 cd | 6.97 ± 1.74 de | increasing (0–7 day, p < 0.05), decreasing (7–35 day, p < 0.05) |
| C (mg/g) | 9.83 ± 0.76 a | 5.68 ± 1.17 b | 4.49 ± 0.42 c | 3.02 ± 0.77 d | 2.02 ± 0.71 e | 1.69 ± 0.60 e | decreasing (0–21 day, p < 0.05) |
| EC (mg/g) | 13.70 ± 0.12 a | 27.48 ± 0.62 b | 17.54 ± 4.36 c | 11.44 ± 2.22 a | 6.05 ± 0.94 d | 2.84 ± 0.78 e | increasing (0–7 day, p < 0.05), decreasing (7–35 day, p < 0.05) |
| EGCG (mg/g) | 59.73 ± 1.82 a | 11.54 ± 3.57 b | 7.15 ± 2.98 c | 2.86 ± 0.93 d | 1.39 ± 0.61 d | 1.04 ± 1.41 d | decreasing (0–21 day, p < 0.05) |
| GG (mg/g) | 4.19 ± 0.22 a | 0.95 ± 0.34 b | 0.90 ± 0.14 b | 0.67 ± 0.22 c | 0.53 ± 0.17 c | 0.45 ± 0.16 c | decreasing (0–21 day, p < 0.05) |
| ECG (mg/g) | 39.63 ± 1.35 a | 6.69 ± 2.52 b | 4.13 ± 1.26 c | 2.04 ± 0.83 d | 0.72 ± 0.32 de | 0.57 ± 0.33 ee | decreasing (0–21 day, p < 0.05) |
| GA (mg/g) | 3.88 ± 0.18 a | 30.24 ± 1.68 b | 19.16 ± 1.78 c | 8.29 ± 1.17 d | 1.96 ± 0.35 e | 0.25 ± 0.11 f | increasing (0–7 day, p < 0.05), decreasing (7–35 day, p < 0.05) |
| CAF (mg/g) | 28.50 ± 0.18 a | 29.53 ± 0.86 a | 32.09 ± 6.52 a | 30.25 ± 3.36 a | 30.00 ± 1.66 a | 30.51 ± 1.75 a | no significant change (p > 0.05) |
| TF (%) | 0.35 ± 0.01 a | 0.53 ± 0.07 b | 0.45 ± 0.03 b | 0.34 ± 0.08 c | 0.25 ± 0.08 d | 0.22 ± 0.02 d | increasing (0–7 day, p < 0.05), decreasing (7–35 day, p < 0.05) |
| TR (%) | 7.01 ± 0.08 a | 7.78 ± 0.7 b | 7.48 ± 0.44 b | 5.97 ± 0.08 c | 5.12 ± 0.46 d | 2.65 ± 0.6 e | increasing (0–7 day, p < 0.05), decreasing (7–35 day, p < 0.05) |
| TB (%) | 3.23 ± 0.08 a | 4.16 ± 0.21 a | 7.19 ± 0.49 b | 11.32 ± 0.87 c | 13.38 ± 1.72 d | 15.14 ± 2.22 e | increasing (p < 0.05) |
| Sample | Cell Number | No. of Reads | No. of OTUs | Coverage (%) | No. of Taxonomic Groups Identified | Richness Estimators | DIVERSITY Indices | ||||
|---|---|---|---|---|---|---|---|---|---|---|---|
| Means of CFU/g | Phylum | Family | Genus | ACE | Chao1 | Shannon-Weaver Index | Simpson | ||||
| Bacteria | |||||||||||
| D-0-1 | 5.7 × 102 | 5409 | 1338 | 81.94 | 7 | 44 | 80 | 8429 | 4495 | 4.84 | 0.07 |
| D-0-2 | 5529 | 1482 | 78.60 | 8 | 55 | 106 | 9935 | 5343 | 5.30 | 0.04 | |
| D-7-1 | 5.8 × 107 | 4637 | 1479 | 75.57 | 14 | 90 | 158 | 10,208 | 5487 | 5.52 | 0.03 |
| D-7-2 | 6691 | 1988 | 77.18 | 10 | 84 | 111 | 15,638 | 7076 | 5.50 | 0.04 | |
| D-14-1 | 1.7 × 108 | 4539 | 1099 | 84.27 | 7 | 60 | 95 | 4567 | 2999 | 5.43 | 0.03 |
| D-14-2 | 5393 | 2307 | 69.63 | 12 | 86 | 152 | 12,646 | 6382 | 6.91 | 0.01 | |
| D-21-1 | 1.2 × 108 | 3472 | 1302 | 73.30 | 5 | 38 | 63 | 7453 | 3622 | 5.90 | 0.03 |
| D-21-2 | 5811 | 2071 | 75.17 | 10 | 59 | 92 | 10,983 | 6042 | 6.57 | 0.01 | |
| D-28-1 | 2.0 × 108 | 3175 | 1261 | 71.28 | 6 | 53 | 76 | 7165 | 3621 | 5.97 | 0.02 |
| D-28-2 | 3649 | 1178 | 76.38 | 7 | 57 | 85 | 6782 | 3989 | 5.34 | 0.04 | |
| D-35-1 | 8.3 × 107 | 3119 | 1138 | 73.45 | 5 | 51 | 81 | 5953 | 3319 | 5.66 | 0.02 |
| D-35-2 | 3137 | 948 | 78.39 | 7 | 52 | 77 | 5157 | 2687 | 4.96 | 0.06 | |
| Fungi | |||||||||||
| D-0-1 | 1.3 × 103 | 2189 | 162 | 96.62 | 5 | 41 | 58 | 330 | 258 | 2.6 | 0.26 |
| D-0-2 | 1395 | 92 | 97.56 | 5 | 27 | 36 | 127 | 127 | 2.27 | 0.31 | |
| D-7-1 | 3.2 × 106 | 6305 | 32 | 99.71 | 3 | 3 | 4 | 128 | 63 | 0.4 | 0.84 |
| D-7-2 | 5773 | 30 | 99.65 | 3 | 3 | 4 | 261 | 125 | 0.29 | 0.89 | |
| D-14-1 | 9.0 × 107 | 5718 | 41 | 99.56 | 2 | 3 | 3 | 184 | 116 | 0.98 | 0.48 |
| D-14-2 | 5737 | 33 | 99.65 | 3 | 3 | 3 | 293 | 128 | 0.65 | 0.71 | |
| D-21-1 | 9.6 × 107 | 6211 | 41 | 99.60 | 2 | 2 | 3 | 270 | 101 | 0.50 | 0.79 |
| D-21-2 | 5487 | 61 | 99.42 | 2 | 3 | 4 | 193 | 123 | 1.10 | 0.47 | |
| D-28-1 | 1.2 × 108 | 5314 | 66 | 99.36 | 2 | 11 | 13 | 180 | 136 | 0.66 | 0.78 |
| D-28-2 | 5955 | 49 | 99.63 | 4 | 3 | 4 | 114 | 67 | 0.66 | 0.75 | |
| D-35-1 | 6.6 × 107 | 8050 | 99 | 99.30 | 2 | 6 | 9 | 325 | 195 | 0.78 | 0.75 |
| D-35-2 | 5199 | 67 | 99.29 | 2 | 4 | 5 | 248 | 123 | 0.87 | 0.69 | |
| Compounds | TPs | AA | CAF | EGC | C | EC | EGCG | GG | ECG | GA | TF | TR | TB |
|---|---|---|---|---|---|---|---|---|---|---|---|---|---|
| positive significant correlations | Sphingomonas, 0.745 * | Sphingomonas, 0.774 * | Stenotrophomonas, 0.873 * | Erwinia, 0.955 ** | Sphingomonas, 0.889 ** | Erwinia, 0.957 ** | Sphingobacterium, 0.894 ** | Sphingobacterium, 0.901 ** | Sphingobacterium, 0.901 ** | Erwinia, 0.948 ** | Erwinia, 0.933 ** | Erwinia, 0.754 * | Prevotella, 0.771 * |
| Rhizobium, 0.802 * | Rhizobium, 0.829 * | Paenibacillus, 0.831 * | Pantoea, 0.792 * | Lactococcus, 0.741* | Pantoea, 0.840 * | Microbacterium, 0.944 ** | Microbacterium, 0.956 ** | Microbacterium, 0.951 ** | Pseudomonas, 0.791 * | Pantoea, 0.765 * | Enterobacter, 0.758 * | Kocuria, 0.808 * | |
| Herbaspirillum, 0.774 * | Herbaspirillum, 0.797 * | Enterobacter, 0.825 * | Rhizobium, 0.929 ** | Enterobacter, 0.912 ** | Sphingomonas, 0.991 ** | Sphingomonas, 0.995 ** | Sphingomonas, 0.994 ** | Pantoea, 0.839 * | Enterobacter, 0.943 ** | Streptococcus, 0.829 * | Bacteroides, 0.797 * | ||
| Chryseobacterium, 0.862 * | Chryseobacterium, 0.880 * | Rhodococcus, 0.851 * | Herbaspirillum, 0.906 ** | Rhodococcus, 0.848 * | Rhizobium, 0.992 ** | Rhizobium, 0.996 ** | Rhizobium, 0.992 ** | Enterobacter, 0.967 ** | Rhodococcus, 0.896 ** | Carnobacterium, 0.763 | unclassified_A-ctinobacteria, 0.923 ** | ||
| no_rank_Peptostreptococcaceae, 0.787 * | no_rank_Peptostreptoc-occaceae, 0.821 * | Flavobacterium, 0.826 * | Chryseobacterium, 0.966 ** | Streptococcus, 0.788 * | Herbaspirillum, 0.995 ** | Herbaspirillum, 0.996 ** | Herbaspirillum, 0.997 ** | Rhodococcus, 0.935 ** | Streptococcus, 0.814 * | ||||
| Kluyvera, 0.957 ** | Kluyvera, 0.956 ** | Carnobacterium, 0.768 * | no_rank_Peptos-treptococcaceae, 0.860 * | Flavobacterium, 0.902 ** | Chryseobacterium, 0.990 ** | Chryseobacterium, 0.990 ** | Chryseobacterium, 0.989 ** | Flavobacterium, 0.850 * | Flavobacterium, 0.870 * | ||||
| Lactobacillus, 0.750 * | Carnobacterium, 0.903 ** | no_rank_Spori-chthyaceae, 0.866 * | Kluyvera, 0.970 ** | no_rank_Spori-chthyaceae, 0.891 ** | no_rank_Bactero-idales, 0.845 * | no_rank_Bacteroid-ales, 0.849 * | no_rank_Bacteroid-ales, 0.847 * | no_rank_Sporichth-yaceae, 0.869 * | no_rank_Spo-richthyaceae, 0.825 * | ||||
| Carnobacterium, 0.919 ** | Mesorhizobium, 0.894 ** | Novosphingobium, 0.852 * | Mesorhizobium, 0.906 ** | no_rank_Peptost-reptococcaceae, 0.924 ** | no_rank_Peptostre-ptococcaceae, 0.906 ** | no_rank_Peptostre-ptococcaceae, 0.920 ** | Mesorhizobium, 0.942 ** | Mesorhizobium, 0.882 * | |||||
| Lactobacillus, 0.751 * | no_rank_Bacteria, 0.773 * | Kluyvera, 0.921 ** | Kluyvera, 0.896 ** | Kluyvera, 0.912 ** | |||||||||
| Carnobacterium, 0.860 * | Novosphingobium, 0.971 ** | Novosphingobium, 0.984 ** | Novosphingobium, 0.976 ** | ||||||||||
| negative significant correlations | Bacteroides, −0.803 * | Bacteroides, −0.772 * | no_rank_Peptost-reptococcaceae, −0.801 * | Prevotella, −0.753 * | Bacteroides, −0.763 * | Kocuria, −0.777 * | Prevotella, −0.771 * | Prevotella, −0.969 ** | Erwinia, −0.740 * | ||||
| Staphylococcus, −0.749 * | unclassified_Actinobacteria, −0.852 * | Kocuria, −0.754 * | unclassified_Act-inobacteria, −0.803 * | Staphylococcus, −0.779 * | Staphylococcus, −0.809 * | Kocuria, −0.957 ** | Kluyvera, −0.872 * | ||||||
| unclassified_Actino-bacteria, −0.856 * | Staphylococcus, −0.767 * | unclassified_Act-inobacteria, −0.793 * | unclassified_Act-inobacteria, −0.799 * | Staphylococcus, −0.850 * | Streptococcus, −0.732 * | ||||||||
| unclassified_A-ctinobacteria, −0.815 * | Kocuria, −0.792 * | unclassified_-Actinobacteria, −0.942 ** | Lactobacillus, −0.731 * | ||||||||||
| Carnobacterium, −0.908 ** |
| Bacterial Genus | Positive Significant Correlations | Negative Significant Correlation |
|---|---|---|
| unclassified_Actinobacteria | TB | TPs, AA, EGC, C, EC, TF, TR |
| Kluyvera | TPs, AA, C, EGCG, GG, ECG | TB |
| no_rank_Peptostreptococcaceae | TPs, AA, C, EGCG, GG, ECG | CAF |
| Carnobacterium | TPs, AA, EGC, C, TR | TB |
| Erwinia | EGC, EC, GA, TF, TR | TB |
| Herbaspirillum, Rhizobium, Sphingomonas, Chryseobacterium | TPs, AA, C, EGCG, GG, ECG | |
| Enterobacter | EGC, EC, GA, TF, TR | |
| Kocuria | TB | EGC, EC, TF, TR |
| Staphylococcus | TPs, EGC, EC, TF, TR | |
| Bacteroides | TB | TPs, AA, C |
| Flavobacterium, Mesorhizobium, no_rank_Sporichthyaceae, Pantoea, Rhodococcus | EGC, EC, GA, TF | |
| Novosphingobium | C, EGCG, GG, ECG | |
| Prevotella | TB | EGC, TF, TR |
| Streptococcus | EC, TF, TR | TB |
| Sphingobacterium | EGCG, GG, ECG | |
| Lactobacillus | TPs, C | TB |
| Microbacterium, no_rank_Bacteroidales | EGCG, GG, ECG | |
| Lactococcus | C | |
| no_rank_Bacteria | EC | |
| Paenibacillus, Stenotrophomonas | CAF | |
| Pseudomonas | GA |
| Compounds | Fungal Genus, Correlation Coefficients | ||
|---|---|---|---|
| C | Aspergillus, −0.875 * | No_Rank_fungi, 0.867 * | - |
| EGCG | Aspergillus, −0.959 ** | No_Rank_fungi, 0.984 ** | Penicillium, 0.863 * |
| GG | Aspergillus, −0.974 ** | No_Rank_fungi, 0.990 ** | Penicillium, 0.875 * |
| ECG | Aspergillus, −0.963 ** | No_Rank_fungi, 0.988 ** | Penicillium, 0.872 * |
© 2017 by the authors. Licensee MDPI, Basel, Switzerland. This article is an open access article distributed under the terms and conditions of the Creative Commons Attribution (CC BY) license ( http://creativecommons.org/licenses/by/4.0/).
Share and Cite
Ma, Y.; Duan, S.; Zhang, D.; Su, X.; Zhang, D.; Lv, C.; Zhao, M. Microbial Succession and the Dynamics of Chemical Compounds during the Solid-State Fermentation of Pu-erh Tea. Appl. Sci. 2017, 7, 166. https://doi.org/10.3390/app7020166
Ma Y, Duan S, Zhang D, Su X, Zhang D, Lv C, Zhao M. Microbial Succession and the Dynamics of Chemical Compounds during the Solid-State Fermentation of Pu-erh Tea. Applied Sciences. 2017; 7(2):166. https://doi.org/10.3390/app7020166
Chicago/Turabian StyleMa, Yan, Shuangmei Duan, Donglian Zhang, Xiaoqin Su, Dongying Zhang, Caiyou Lv, and Ming Zhao. 2017. "Microbial Succession and the Dynamics of Chemical Compounds during the Solid-State Fermentation of Pu-erh Tea" Applied Sciences 7, no. 2: 166. https://doi.org/10.3390/app7020166
APA StyleMa, Y., Duan, S., Zhang, D., Su, X., Zhang, D., Lv, C., & Zhao, M. (2017). Microbial Succession and the Dynamics of Chemical Compounds during the Solid-State Fermentation of Pu-erh Tea. Applied Sciences, 7(2), 166. https://doi.org/10.3390/app7020166
