A Numerical Investigation on the Natural Frequencies of FGM Sandwich Shells with Variable Thickness by the Local Generalized Differential Quadrature Method
Abstract
:1. Introduction
2. Functionally Graded Materials
3. Definition of the Geometry
4. Higher-Order Equivalent Single Layer Approach
5. Numerical Aspects
5.1. Local Generalized Differential Quadrature Method
5.2. Generalized Integral Quadrature Method
6. Free Vibration Analysis
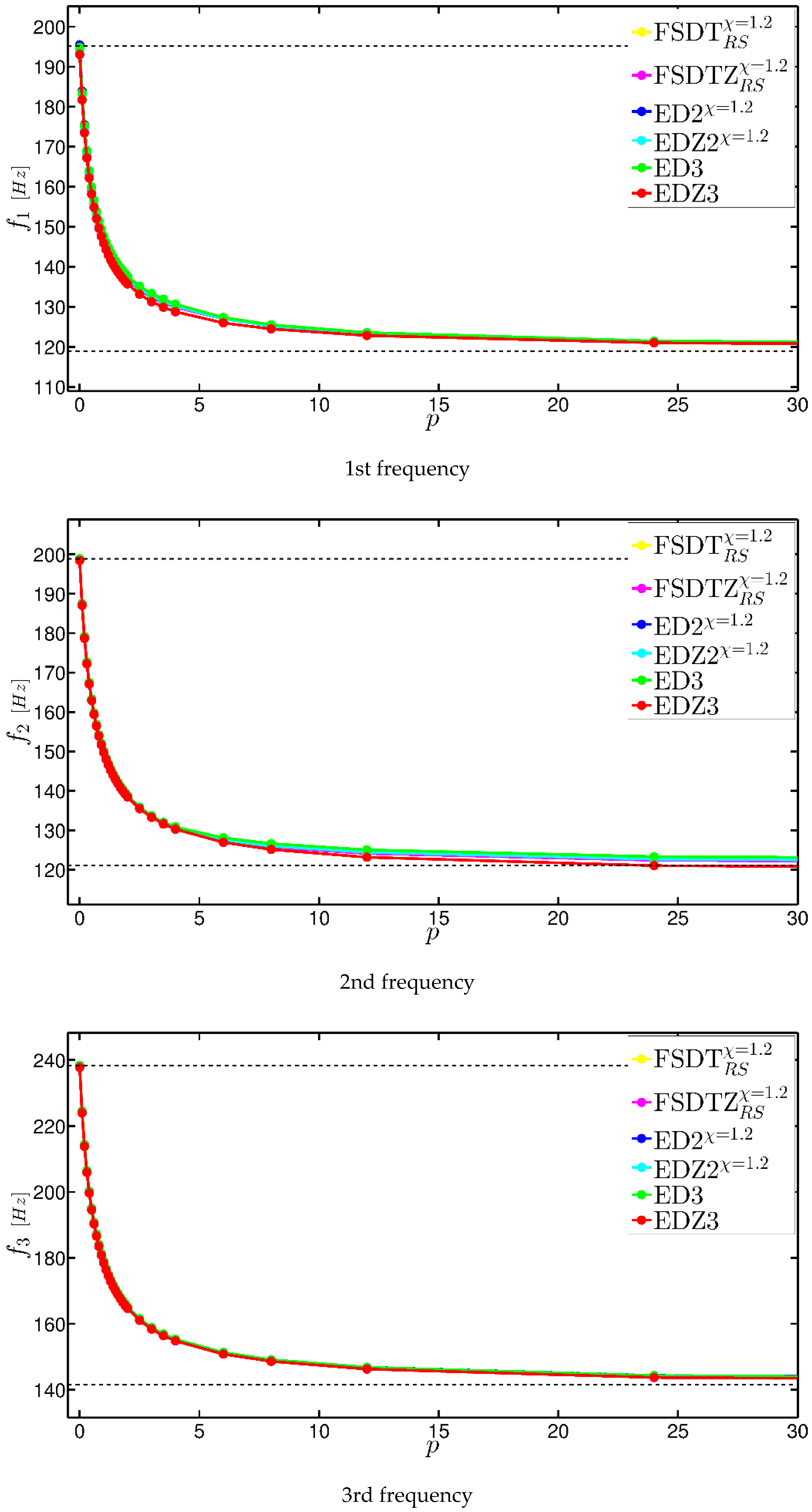
7. Numerical Results
7.1. Comparison with the Literature
7.2. Elliptic Cylinder
7.3. Doubly-Curved Shell of Revolution with Hyperbolic Meridian
7.4. Doubly-Curved Panel of Translation
8. Conclusions
Acknowledgments
Author Contributions
Conflicts of Interest
References
- Reddy, J.N. Mechanics of Laminated Composite Plates and Shells; CRC Press: Boca Raton, FL, USA, 2004. [Google Scholar]
- Tornabene, F.; Fantuzzi, N.; Bacciocchi, M.; Viola, E. Laminated Composite Doubly-Curved Shell Structures. Differential Geometry. Higher-Order Structural Theories; Esculapio: Bologna, Italy, 2016. [Google Scholar]
- Tornabene, F.; Fantuzzi, N.; Bacciocchi, M.; Viola, E. Laminated Composite Doubly-Curved Shell Structures. Differential and Integral Quadrature. Strong Formulation Finite Element Method; Esculapio: Bologna, Italy, 2016. [Google Scholar]
- Kraus, H. Thin Elastic Shells; John Wiley & Sons: New York, NY, USA, 1967. [Google Scholar]
- Gutierrez Rivera, M.; Reddy, J.N.; Amabili, M. A new twelve-parameter spectral/hp shell finite element for large deformation analysis of composite shells. Compos. Struct. 2016, 151, 183–196. [Google Scholar] [CrossRef]
- Groh, R.M.J.; Weaver, P.M. A computationally efficient 2D model for inherently equilibrated 3D stress predictions in heterogeneous laminated plates. Part I: Model formulation. Compos. Struct. 2016, 156, 171–185. [Google Scholar] [CrossRef]
- Groh, R.M.J.; Weaver, P.M. A computationally efficient 2D model for inherently equilibrated 3D stress predictions in heterogeneous laminated plates. Part II: Model validation. Compos. Struct. 2015, 156, 186–217. [Google Scholar] [CrossRef]
- Amabili, M. A new third-order shear deformation theory with non-linearities in shear for static and dynamic analysis of laminated doubly curved shells. Compos. Struct. 2015, 128, 260–273. [Google Scholar] [CrossRef]
- Maturi, D.A.; Ferreira, A.J.M.; Zenkour, A.M.; Mashat, D.S. Analysis of Laminated Shells by Murakami’s Zig–Zag Theory and Radial Basis Functions Collocation. J. Appl. Math. 2013, 2013, 1–14. [Google Scholar] [CrossRef]
- Wang, Q.; She, D.; Pang, F.; Liang, Q. Vibrations of Composite Laminated Circular Panels and Shells of Revolution with General Elastic Boundary Conditions via Fourier-Ritz Method. Curved Layer. Struct. 2016, 3, 105–136. [Google Scholar] [CrossRef]
- Piskunov, V.G.; Verijenko, V.E.; Adali, S.; Summers, E.B. A Higher-order Theory for the Analysis of Laminated Plates and Shells with Shear and Normal Deformation. Int. J. Eng. Sci. 1993, 31, 967–988. [Google Scholar] [CrossRef]
- Wu, C.P.; Hung, Y.C. Asymptotic theory of laminated circular conical shells. Int. J. Eng. Sci. 1999, 37, 977–1005. [Google Scholar] [CrossRef]
- Brischetto, S. An exact 3d solution for free vibrations of multilayered cross-ply composite and sandwich plates and shells. Int. J. Appl. Mech. 2014, 6, 1450076. [Google Scholar] [CrossRef]
- Brischetto, S.; Torre, R. Exact 3D solutions and finite element 2D models for free vibration analysis of plates and cylinders. Curved Layer. Struct. 2014, 1, 59–92. [Google Scholar] [CrossRef]
- Le, K.C.; Yi, J.-H. An asymptotically exact theory of smart sandwich shells. Int. J. Eng. Sci. 2016, 106, 179–198. [Google Scholar]
- Ye, T.; Jin, G.; Zhang, Y. Vibrations of composite laminated doubly-curved shells of revolution with elastic restraints including shear deformation, rotary inertia and initial curvature. Compos. Struct. 2015, 133, 202–225. [Google Scholar] [CrossRef]
- Shirakawa, K. Bending of plates based on improved theory. Mech. Res. Commun. 1985, 10, 205–211. [Google Scholar] [CrossRef]
- Alibeigloo, A.; Shakeri, M.; Kari, M.R. Free vibration analysis of antisymmetric laminated rectangular plates with distributed patch mass using third-order shear deformation theory. Ocean. Eng. 2008, 35, 183–190. [Google Scholar] [CrossRef]
- Xiang, S.; Wang, K.-M. Free vibration analysis of symmetric laminated composite plates by trigonometric shear deformation theory and inverse multiquadric RBF. Thin-Walled Struct. 2009, 47, 304–310. [Google Scholar] [CrossRef]
- Thai, H.-T.; Kim, S.-E. Free vibration of laminated composite plates using two variable refined plate theory. Int. J. Mech. Sci. 2010, 52, 626–633. [Google Scholar] [CrossRef]
- Kumar, A.; Chakrabarti, A.; Bhargava, P. Vibration of laminated composites and sandwich shells based on higher order zigzag theory. Eng. Struct. 2013, 56, 880–888. [Google Scholar] [CrossRef]
- Sahoo, R.; Singh, B.N. A new trigonometric zigzag theory for buckling and free vibration analysis of laminated composite and sandwich plates. Compos. Struct. 2014, 117, 316–332. [Google Scholar] [CrossRef]
- Vidal, P.; Polit, O.; D’Ottavio, M.; Valot, E. Assessment of the refined sinus plate finite element: Free edge effect and Meyer-Piening sandwich test. Finite Elem. Anal. Des. 2014, 92, 60–71. [Google Scholar] [CrossRef]
- Wang, X.; Shi, G. A refined laminated plate theory accounting for the third-order shear deformation and interlaminar transverse stress continuity. Appl. Math. Model. 2015, 39, 5659–5680. [Google Scholar] [CrossRef]
- Zuo, H.; Yang, Z.; Chen, X.; Xie, Y.; Miao, H. Analysis of laminated composite plates using wavelet finite element method and higher-order plate theory. Compos. Struct. 2015, 131, 248–258. [Google Scholar] [CrossRef]
- Malekzadeh, P.; Farid, M.; Zahedinejad, P. A three-dimensional layerwise-differential quadrature free vibration analysis of laminated cylindrical shells. Int. J. Press. Vessels Pip. 2008, 85, 450–458. [Google Scholar] [CrossRef]
- Malekzadeh, P.; Afsari, A.; Zahedinejad, P.; Bahadori, R. Three-dimensional layerwise-finite element free vibration analysis of thick laminated annular plates on elastic foundation. Appl. Math. Model. 2010, 34, 776–790. [Google Scholar] [CrossRef]
- Mantari, J.L.; Oktem, A.S.; Guedes Soares, C. A new trigonometric layerwise shear deformation theory for the finite element analysis of laminated composite and sandwich plates. Comput. Struct. 2012, 94–95, 45–53. [Google Scholar] [CrossRef]
- Thai, C.H.; Ferreira, A.J.M.; Carrera, E.; Nguyen-Xuan, H. Isogeometric analysis of laminated composite and sandwich plates using a layerwise deformation theory. Compos. Struct. 2013, 104, 196–214. [Google Scholar] [CrossRef]
- Mantari, J.L.; Guedes Soares, C. Generalized layerwise HSDT and finite element formulation for symmetric laminated and sandwich composite plates. Compos. Struct. 2013, 105, 319–331. [Google Scholar] [CrossRef]
- Guo, Y.; Nagy, A.P.; Gürdal, Z. A layerwise theory for laminated composites in the framework of isogeometric analysis. Compos. Struct. 2014, 107, 447–457. [Google Scholar] [CrossRef]
- Boscolo, M.; Banerjee, J.R. Layer-wise dynamic stiffness solution for free vibration analysis of laminated composite plates. J. Sound Vib. 2014, 333, 200–227. [Google Scholar] [CrossRef]
- Yazdani, S.; Ribeiro, P. A layerwise p-version finite element formulation for free vibration analysis of thick composite laminates with curvilinear fibres. Compos. Struct. 2015, 120, 531–542. [Google Scholar] [CrossRef]
- Band, U.N.; Desai, Y.M. Coupled higher order and mixed layerwise finite element based static and free vibration analyses of laminated plates. Compos. Struct. 2015, 128, 406–414. [Google Scholar] [CrossRef]
- Li, D.H. Extended layerwise method of laminated composite shells. Compos. Struct. 2016, 136, 313–344. [Google Scholar] [CrossRef]
- Biscani, F.; Giunta, G.; Belouettar, S.; Hu, H.; Carrera, E. Mixed-dimensional modeling by means of solid and higher-order multi-layered plate finite elements. Mech. Adv. Mat. Struct. 2016, 23, 960–970. [Google Scholar] [CrossRef]
- Dozio, L. A hierarchical formulation of the state-space Levy’s method for vibration analysis of thin and thick multilayered shells. Compos. B Eng. 2016, 98, 97–107. [Google Scholar] [CrossRef]
- Dozio, L.; Alimonti, L. Variable kinematic finite element models of multilayered composite plates coupled with acoustic fluid. Mech. Adv. Mater. Struct. 2016, 23, 981–996. [Google Scholar] [CrossRef]
- Vescovini, R.; Dozio, L. A variable-kinematic model for variable stiffness plates: Vibration and buckling analysis. Compos. Struct. 2016, 142, 15–26. [Google Scholar] [CrossRef]
- Wenzel, C.; D’Ottavio, M.; Polit, O.; Vidal, P. Assessment of free-edge singularities in composite laminates using higher-order plate elements. Mech. Adv. Mat. Struct. 2016, 23, 948–959. [Google Scholar] [CrossRef]
- Fantuzzi, N.; Bacciocchi, M.; Tornabene, F.; Viola, E.; Ferreira, A.J.M. Radial Basis Functions Based on Differential Quadrature Method for the Free Vibration of Laminated Composite Arbitrary Shaped Plates. Compos. B Eng. 2015, 78, 65–78. [Google Scholar] [CrossRef]
- Tornabene, F.; Fantuzzi, N.; Bacciocchi, M.; Viola, E. A New Approach for Treating Concentrated Loads in Doubly-Curved Composite Deep Shells with Variable Radii of Curvature. Compos. Struct. 2015, 131, 433–452. [Google Scholar] [CrossRef]
- Fantuzzi, N.; Tornabene, F. Strong Formulation Isogeometric Analysis (SFIGA) for Laminated Composite Arbitrarily Shaped Plates. Compos. B Eng. 2016, 96, 173–203. [Google Scholar] [CrossRef]
- Fantuzzi, N.; Dimitri, R.; Tornabene, F. A SFEM-Based Evaluation of Mode-I Stress Intensity Factor in Composite Structures. Compos. Struct. 2016, 145, 162–185. [Google Scholar] [CrossRef]
- Reddy, J.N.; Chin, C.D. Thermomechanical Analysis of Functionally Graded Cylinders and Plates. J. Therm. Stress. 1998, 21, 593–626. [Google Scholar] [CrossRef]
- Reddy, J.N. Analysis of functionally graded plates. Int. J. Numer. Meth. Eng. 2000, 47, 663–684. [Google Scholar] [CrossRef]
- Reddy, J.N. Microstructure-dependent couple stress theories of functionally graded beams. J. Mech. Phys. Solids 2011, 59, 2382–2399. [Google Scholar] [CrossRef]
- Reddy, J.N.; Kim, J. A nonlinear modified couple stress-based third-order theory of functionally graded plates. Compos. Struct. 2012, 94, 1128–1143. [Google Scholar] [CrossRef]
- Kim, J.; Reddy, J.N. A general third-order theory of functionally graded plates with modified couple stress effect and the von Kármán nonlinearity: Theory and finite element analysis. Acta Mech. 2015, 226, 2973–2998. [Google Scholar] [CrossRef]
- Gutierrez Rivera, M.; Reddy, J.N. Stress analysis of functionally graded shells using a 7-parameter shell element. Mech. Res. Commun. 2016, 78, 60–70. [Google Scholar] [CrossRef]
- Lanc, D.; Turkalj, G.; Vo, T.; Brnic, J. Nonlinear buckling behaviours of thin-walled functionally graded open section beams. Compos. Struct. 2016, 152, 829–839. [Google Scholar] [CrossRef]
- Quan, T.Q.; Tran, P.; Tuan, N.D.; Duc, N.D. Nonlinear dynamic analysis and vibration of shear deformable eccentrically stiffened S-FGM cylindrical panels with metal-ceramic-metal layers resting on elastic foundations. Compos. Struct. 2015, 126, 16–33. [Google Scholar] [CrossRef]
- Sofiyev, A.H.; Kuruoglu, N. Dynamic instability of three-layered cylindrical shells containing an FGM interlayer. Thin-Walled Struct. 2015, 93, 10–21. [Google Scholar] [CrossRef]
- Sofiyev, A.H.; Kuruoglu, N. Domains of dynamic instability of FGM conical shells under time dependent periodic loads. Compos. Struct. 2016, 136, 139–148. [Google Scholar] [CrossRef]
- Fazzolari, F.A. Reissner’s Mixed Variational Theorem and Variable Kinematics in the Modelling of Laminated Composite and FGM Doubly-Curved Shells. Compos. B Eng. 2016, 89, 408–423. [Google Scholar] [CrossRef]
- Fazzolari, F.A. Stability Analysis of FGM Sandwich Plates by Using Variable-kinematics Ritz Models. Mech. Adv. Mater. Struct. 2016, 23, 1104–1113. [Google Scholar] [CrossRef]
- Alibeigloo, A. Thermo elasticity solution of sandwich circular plate with functionally graded core using generalized differential quadrature method. Compos. Struct. 2016, 136, 229–240. [Google Scholar] [CrossRef]
- Mantari, J.L. Refined and generalized hybrid type quasi-3D shear deformation theory for the bending analysis of functionally graded shells. Compos. B Eng. 2015, 83, 142–152. [Google Scholar] [CrossRef]
- Tornabene, F.; Viola, E. Free Vibration Analysis of Functionally Graded Panels and Shells of Revolution. Meccanica. 2009, 44, 255–281. [Google Scholar] [CrossRef]
- Tornabene, F. Free Vibration Analysis of Functionally Graded Conical, Cylindrical Shell and Annular Plate Structures with a Four-parameter Power-Law Distribution. Comput. Method Appl. Mech. Eng. 2009, 198, 2911–2935. [Google Scholar] [CrossRef]
- Tornabene, F.; Viola, E.; Inman, D.J. 2-D Differential Quadrature Solution for Vibration Analysis of Functionally Graded Conical, Cylindrical Shell and Annular Plate Structures. J. Sound Vib. 2009, 328, 259–290. [Google Scholar] [CrossRef]
- Tornabene, F. 2-D GDQ Solution for Free Vibrations of Anisotropic Doubly-Curved Shells and Panels of Revolution. Compos. Struct. 2011, 93, 1854–1876. [Google Scholar] [CrossRef]
- Tornabene, F.; Liverani, A.; Caligiana, G. FGM and Laminated Doubly-Curved Shells and Panels of Revolution with a Free-Form Meridian: A 2-D GDQ Solution for Free Vibrations. Int. J. Mech. Sci. 2011, 53, 446–470. [Google Scholar] [CrossRef]
- Viola, E.; Rossetti, L.; Fantuzzi, N. Numerical Investigation of Functionally Graded Cylindrical Shells and Panels Using the Generalized Unconstrained Third Order Theory Coupled with the Stress Recovery. Compos. Struct. 2012, 94, 3736–3758. [Google Scholar] [CrossRef]
- Tornabene, F.; Viola, E. Static Analysis of Functionally Graded Doubly-Curved Shells and Panels of Revolution. Meccanica. 2013, 48, 901–930. [Google Scholar] [CrossRef]
- Tornabene, F.; Reddy, J.N. FGM and laminated doubly-curved and degenerate shells resting on nonlinear elastic foundations: A GDQ solution for static analysis with a posteriori stress and strain recovery. J. Indian Inst. Sci. 2013, 93, 635–688. [Google Scholar]
- Tornabene, F.; Fantuzzi, N.; Bacciocchi, M. Free vibrations of free-form doubly-curved shells made of functionally graded materials using higher-order equivalent single layer theories. Compos. B Eng. 2014, 67, 490–509. [Google Scholar] [CrossRef]
- Viola, E.; Rossetti, L.; Fantuzzi, N.; Tornabene, F. Static Analysis of Functionally Graded Conical Shells and Panels Using the Generalized Unconstrained Third Order Theory Coupled with the Stress Recovery. Compos. Struct. 2014, 112, 44–65. [Google Scholar] [CrossRef]
- Tornabene, F.; Fantuzzi, N.; Viola, E.; Batra, R.C. Stress and strain recovery for functionally graded free-form and doubly-curved sandwich shells using higher-order equivalent single layer theory. Compos. Struct. 2015, 119, 67–89. [Google Scholar] [CrossRef]
- Brischetto, S.; Tornabene, F.; Fantuzzi, N.; Viola, E. 3D Exact and 2D Generalized Differential Quadrature Models for Free Vibration Analysis of Functionally Graded Plates and Cylinders. Meccanica 2016, 51, 2059–2098. [Google Scholar] [CrossRef]
- Fantuzzi, N.; Brischetto, S.; Tornabene, F.; Viola, E. 2D and 3D Shell Models for the Free Vibration Investigation of Functionally Graded Cylindrical and Spherical Panels. Compos. Struct. 2016, 154, 573–590. [Google Scholar] [CrossRef]
- Viola, E.; Rossetti, L.; Fantuzzi, N.; Tornabene, F. Generalized Stress-Strain Recovery Formulation Applied to Functionally Graded Spherical Shells and Panels Under Static Loading. Compos. Struct. 2016, 156, 145–164. [Google Scholar] [CrossRef]
- Tornabene, F.; Fantuzzi, N.; Bacciocchi, M.; Viola, E. Effect of Agglomeration on the Natural Frequencies of Functionally Graded Carbon Nanotube-Reinforced Laminated Composite Doubly-Curved Shells. Compos. B Eng. 2016, 89, 187–218. [Google Scholar] [CrossRef]
- Tornabene, F.; Fantuzzi, N.; Bacciocchi, M. Linear Static Response of Nanocomposite Plates and Shells Reinforced by Agglomerated Carbon Nanotubes. Compos. B Eng. 2016, in press. [Google Scholar] [CrossRef]
- Fantuzzi, N.; Tornabene, F.; Bacciocchi, M.; Dimitri, R. Free Vibration Analysis of Arbitrarily Shaped Functionally Graded Carbon Nanotube-Reinforced Plates. Compos. B Eng. 2016, in press. [Google Scholar] [CrossRef]
- Mizusawa, T. Vibration of rectangular Mindlin plates with tapered thickness by the spline strip method. Comput. Struct. 1993, 46, 451–463. [Google Scholar] [CrossRef]
- Shufrin, I.; Eisenberger, M. Vibration of shear deformable plates with variable thickness-first-order and higher-order analyses. J. Sound Vib. 2006, 290, 465–489. [Google Scholar] [CrossRef]
- Dozio, L.; Carrera, E. A variable kinematic Ritz formulation for vibration study of quadrilateral plates with arbitrary thickness. J. Sound Vib. 2011, 330, 4611–4632. [Google Scholar] [CrossRef]
- Eisenberger, M.; Jabareen, M. Axisymmetric vibrations of circular and annular plates with variable thickness. Int. J. Struct. Stab. Dyn. 2001, 1, 195–206. [Google Scholar] [CrossRef]
- Wu, T.Y.; Liu, G.R. Free vibration analysis of circular plates with variable thickness by the generalized differential quadrature rule. Int. J. Solids Struct. 2001, 38, 7967–7980. [Google Scholar] [CrossRef]
- Liang, B.; Zhang, S.F.; Chen, D.Y. Natural frequencies of circular annular plates with variable thickness by a new method. Int. J. Press. Vessels Pip. 2007, 84, 293–297. [Google Scholar] [CrossRef]
- Lal, R.; Rani, R. On radially symmetric vibrations of circular sandwich plates of non-uniform thickness. Int. J. Mech. Sci. 2015, 99, 29–39. [Google Scholar] [CrossRef]
- Duan, W.H.; Koh, C.G. Axisymmetric transverse vibrations of circular cylindrical shells with variable thickness. J. Sound Vib. 2008, 317, 1035–1041. [Google Scholar] [CrossRef]
- El-Kaabazi, N.; Kennedy, D. Calculation of natural frequencies and vibration modes of variable thickness cylindrical shells using the Wittrick-Williams algorithm. Comput. Struct. 2012, 104, 4–12. [Google Scholar] [CrossRef]
- Kang, J.-H.; Leissa, A.W. Three-dimensional vibrations of thick spherical shell segments with variable thickness. Int. J. Solids Struct. 2000, 37, 4811–4823. [Google Scholar] [CrossRef]
- Kang, J.-H.; Leissa, A.W. Free vibration analysis of complete paraboloidal shells of revolution with variable thickness and solid paraboloids from a three-dimensional theory. Comput. Struct. 2005, 83, 2594–2608. [Google Scholar]
- Leissa, A.W.; Kang, J.-H. Three-Dimensional Vibration Analysis of Paraboloidal Shells. JSME Int. J. Ser. C 2002, 45, 2–7. [Google Scholar] [CrossRef]
- Efraim, E.; Eisenberger, M. Dynamic stiffness vibration analysis of thick spherical shell segments with variable thickness. J. Mech. Mater. Struct. 2010, 5, 821–835. [Google Scholar] [CrossRef]
- Jiang, W.; Redekop, D. Static and vibration analysis of orthotropic toroidal shells of variable thickness by differential quadrature. Thin-Walled Struct. 2003, 41, 461–478. [Google Scholar] [CrossRef]
- Efraim, E.; Eisenberger, M. Exact vibration analysis of variable thickness thick annular isotropic and FGM plates. J. Sound Vib. 2007, 299, 720–738. [Google Scholar] [CrossRef]
- Hosseini-Hashemi, S.; Taher, H.R.D.; Akhavan, H. Vibration analysis of radially FGM sectorial plates of variable thickness on elastic foundations. Compos. Struct. 2010, 92, 1734–1743. [Google Scholar] [CrossRef]
- Tajeddini, V.; Ohadi, A.; Sadighi, M. Three-dimensional free vibration of variable thickness thick circular and annular isotropic and functionally graded plates on Pasternak foundation. Int. J. Mech. Sci. 2011, 53, 300–308. [Google Scholar] [CrossRef]
- Xu, Y.; Zhou, D. Three-dimensional elasticity solution of functionally graded rectangular plates with variable thickness. Compos. Struct. 2009, 91, 56–65. [Google Scholar] [CrossRef]
- Carrera, E. Theories and Finite Elements for Multilayered, Anisotropic, Composite Plates and Shells. Arch. Comput. Methods Eng. 2002, 9, 87–140. [Google Scholar] [CrossRef]
- Carrera, E. Historical review of zig–zag theories for multilayered plates and shells. Appl. Mech. Rev. 2003, 56, 287–308. [Google Scholar] [CrossRef]
- Carrera, E. On the use of the Murakami’s zig–zag function in the modeling of layered plates and shells. Comput. Struct. 2004, 82, 541–554. [Google Scholar] [CrossRef]
- Demasi, L. ∞3 Hierarchy plate theories for thick and thin composite plates: The generalized unified formulation. Compos. Struct. 2008, 84, 256–270. [Google Scholar] [CrossRef]
- D’Ottavio, M. A Sublaminate Generalized Unified Formulation for the analysis of composite structures. Compos. Struct. 2016, 142, 187–199. [Google Scholar] [CrossRef]
- Tornabene, F.; Viola, E.; Fantuzzi, N. General higher-order equivalent single layer theory for free vibrations of doubly-curved laminated composite shells and panels. Compos. Struct. 2013, 104, 94–117. [Google Scholar] [CrossRef]
- Tornabene, F.; Fantuzzi, N.; Viola, E.; Carrera, E. Static Analysis of Doubly-Curved Anisotropic Shells and Panels Using CUF Approach, Differential Geometry and Differential Quadrature Method. Compos. Struct. 2014, 107, 675–697. [Google Scholar] [CrossRef]
- Tornabene, F; Fantuzzi, N.; Viola, E.; Reddy, J.N. Winkler-Pasternak Foundation Effect on the Static and Dynamic Analyses of Laminated Doubly-Curved and Degenerate Shells and Panels. Compos. B Eng. 2014, 57, 269–296. [Google Scholar] [CrossRef]
- Tornabene, F.; Fantuzzi, N.; Bacciocchi, M. The Local GDQ Method Applied to General Higher-Order Theories of Doubly-Curved Laminated Composite Shells and Panels: The Free Vibration Analysis. Compos. Struct. 2014, 116, 637–660. [Google Scholar] [CrossRef]
- Tornabene, F.; Fantuzzi, N.; Bacciocchi, M.; Viola, E. Higher-Order Theories for the Free Vibration of Doubly-Curved Laminated Panels with Curvilinear Reinforcing Fibers by Means of a Local Version of the GDQ Method. Compos. B Eng. 2015, 81, 196–230. [Google Scholar] [CrossRef]
- Tornabene, F.; Fantuzzi, N.; Bacciocchi, M. The Local GDQ Method for the Natural Frequencies of Doubly-Curved Shells with Variable Thickness: A General Formulation. Compos. B Eng. 2016, 92, 265–289. [Google Scholar] [CrossRef]
- Tornabene, F.; Fantuzzi, N.; Viola, E. Inter-Laminar Stress Recovery Procedure for Doubly-Curved, Singly-Curved, Revolution Shells with Variable Radii of Curvature and Plates Using Generalized Higher-Order Theories and the Local GDQ Method. Mech. Adv. Mat. Struct. 2016, 23, 1019–1045. [Google Scholar] [CrossRef]
- Tornabene, F.; Fantuzzi, N.; Bacciocchi, M. The GDQ Method for the Free Vibration Analysis of Arbitrarily Shaped Laminated Composite Shells Using a NURBS-Based Isogeometric Approach. Compos. Struct. 2016, 154, 190–218. [Google Scholar] [CrossRef]
- Tornabene, F.; Fantuzzi, N.; Bacciocchi, M.; Neves, A.M.A.; Ferreira, A.J.M. MLSDQ Based on RBFs for the Free Vibrations of Laminated Composite Doubly-Curved Shells. Compos. B Eng. 2016, 99, 30–47. [Google Scholar] [CrossRef]
- Tornabene, F.; Fantuzzi, N.; Bacciocchi, M. On the Mechanics of Laminated Doubly-Curved Shells Subjected to Point and Line Loads. Int. J. Eng. Sci. 2016, 109, 115–164. [Google Scholar] [CrossRef]
- Bacciocchi, M.; Eisenberger, M.; Fantuzzi, N.; Tornabene, F.; Viola, E. Vibration Analysis of Variable Thickness Plates and Shells by the Generalized Differential Quadrature Method. Compos. Struct. 2016, 156, 218–237. [Google Scholar] [CrossRef]
- Tornabene, F.; Fantuzzi, N.; Bacciocchi, M.; Viola, E. Accurate Inter-Laminar Recovery for Plates and Doubly-Curved Shells with Variable Radii of Curvature Using Layer-Wise Theories. Compos. Struct. 2015, 124, 368–393. [Google Scholar] [CrossRef]
- Tornabene, F.; Fantuzzi, N.; Bacciocchi, M.; Dimitri, R. Dynamic Analysis of Thick and Thin Elliptic Shell Structures Made of Laminated Composite Materials. Compos. Struct. 2015, 133, 278–299. [Google Scholar] [CrossRef]
- Tornabene, F.; Fantuzzi, N.; Bacciocchi, M.; Dimitri, R. Free Vibrations of Composite Oval and Elliptic Cylinders by the Generalized Differential Quadrature Method. Thin-Walled Struct. 2015, 97, 114–129. [Google Scholar] [CrossRef]
- Tornabene, F.; Fantuzzi, N.; Bacciocchi, M. Higher-Order Structural Theories for the Static Analysis of Doubly-Curved Laminated Composite Panels Reinforced by Curvilinear Fibers. Thin-Walled Struct. 2016, 102, 222–245. [Google Scholar] [CrossRef]
- Tornabene, F. General Higher Order Layer-Wise Theory for Free Vibrations of Doubly-Curved Laminated Composite Shells and Panels. Mech. Adv. Mater. Struct. 2016, 23, 1046–1067. [Google Scholar] [CrossRef]
- Librescu, L.; Reddy, J.N. A few remarks concerning several refined theories of anisotropic composite laminated plates. Int. J. Eng. Sci. 1989, 27, 515–527. [Google Scholar] [CrossRef]
- Whitney, J.M.; Pagano, N.J. Shear Deformation in Heterogeneous Anisotropic Plates. J. Compos. Mater. 1970, 37, 1031–1036. [Google Scholar] [CrossRef]
- Whitney, J.M.; Sun, C.T. A Higher Order Theory for Extensional Motion of Laminated Composites. J. Sound Vib. 1973, 30, 85–97. [Google Scholar] [CrossRef]
- Bert, C.W. A Critical Evaluation of New Plate Theories Applied to Laminated Composites. Compos. Struct. 1984, 2, 329–347. [Google Scholar] [CrossRef]
- Reddy, J.N. A Simple Higher-Order Theory for Laminated Composite Plates. J. Appl. Mech. 1984, 51, 745–752. [Google Scholar] [CrossRef]
- Viola, E.; Tornabene, F.; Fantuzzi, N. General Higher-Order Shear Deformation Theories for the Free Vibration Analysis of Completely Doubly-Curved Laminated Shells and Panels. Compos. Struct. 2013, 95, 639–666. [Google Scholar] [CrossRef]
- Viola, E.; Tornabene, F.; Fantuzzi, N. Static Analysis of Completely Doubly-Curved Laminated Shells and Panels Using General Higher-order Shear Deformation Theories. Compos. Struct. 2013, 101, 59–93. [Google Scholar] [CrossRef]
- Shu, C. Differential Quadrature and its Application in Engineering; Springer: Berlin, Germany, 2000. [Google Scholar]
- Wang, X. Differential Quadrature and Differential Quadrature Based Element Methods: Theory and Applications; Butterworth-Heinemann: Waltham, MA, USA, 2015. [Google Scholar]
- Tornabene, F.; Fantuzzi, N.; Ubertini, F.; Viola, E. Strong formulation finite element method based on differential quadrature: A survey. Appl. Mech. Rev. 2015, 67, 020801. [Google Scholar] [CrossRef]
- Tornabene, F.; Fantuzzi, N.; Bacciocchi, M. The Strong Formulation Finite Element Method: Stability and Accuracy. Fract. Struct. Integr. 2014, 29, 251–265. [Google Scholar]
- Tornabene, F.; Dimitri, R.; Viola, E. Transient Dynamic Response of Generally-Shaped Arches Based on a GDQ-Time-Stepping Method. Int. J. Mech. Sci. 2016, 114, 277–314. [Google Scholar] [CrossRef]
- Dimitri, R.; Fantuzzi, N.; Tornabene, F.; Zavarise, G. Innovative Numerical Methods Based on SFEM and IGA for Computing Stress Concentrations in Isotropic Plates with Discontinuities. Int. J. Mech. Sci. 2016, 118, 166–187. [Google Scholar] [CrossRef]
- Viola, E.; Tornabene, F.; Fantuzzi, N.; Bacciocchi, M. DiQuMASPAB Software, DICAM Department, Alma Mater Studiorum—University of Bologna. Available online: http://software.dicam.unibo.it/diqumaspab-project (accessed on 1 January 2013).












| Constituents | Mechanical Properties |
|---|---|
| Stainless steel SUS304 | , , |
| Silicon nitride | , , |
| Ref. [90] | ||||
|---|---|---|---|---|
| 1 | 0.2262 | 0.2255 | 0.2265 | 0.2261 |
| 2 | 0.3781 | 0.3941 | 0.3811 | 0.3778 |
| 3 | 0.5030 | 0.5018 | 0.5027 | 0.5031 |
| 4 | 0.8226 | 0.8205 | 0.8233 | 0.8218 |
| 5 | 0.8350 | 0.8357 | 0.8322 | 0.8344 |
| 6 | 1.2270 | 1.2130 | 1.2216 | 1.2261 |
| 7 | 1.3619 | 1.3566 | 1.3592 | 1.3629 |
| 8 | 1.6616 | 1.6345 | 1.6766 | 1.6551 |
| 9 | 1.7404 | 1.7274 | 1.7222 | 1.7728 |
| 10 | 1.9994 | 1.9871 | 1.9915 | 1.9956 |
| 11 | 2.1471 | 2.1382 | 2.1500 | 2.1424 |
| 12 | 2.4714 | 2.4837 | 2.4434 | 2.5336 |
| 13 | 2.6810 | 2.6800 | 2.6840 | 2.6754 |
| 14 | 2.7545 | 2.7311 | 2.7118 | 2.7127 |
| 15 | 3.0348 | 3.0137 | 3.0273 | 3.0239 |
| 16 | 3.2471 | 3.2530 | 3.2346 | 3.2953 |
| 17 | 3.3953 | 3.3699 | 3.3523 | 3.3965 |
| 18 | 3.5822 | 3.5654 | 3.6344 | 3.5695 |
| 19 | 3.7599 | 3.9041 | 3.8038 | 3.7826 |
| 20 | 3.9505 | 3.9472 | 3.9534 | 3.9629 |
| 3D-FEM | 3D-FEM | |||||||||
| 1 | 198.416 | 198.176 | 160.153 | 139.672 | 118.718 | 102.625 | 91.032 | 86.574 | 86.125 | 86.218 |
| 2 | 200.943 | 200.889 | 160.357 | 140.862 | 121.181 | 105.629 | 93.010 | 86.921 | 86.257 | 86.440 |
| 3 | 217.121 | 217.108 | 175.692 | 154.648 | 133.197 | 116.204 | 102.277 | 95.447 | 94.692 | 94.809 |
| 4 | 266.782 | 266.724 | 212.676 | 185.125 | 157.180 | 135.718 | 120.251 | 114.302 | 113.710 | 113.803 |
| 5 | 446.760 | 447.020 | 356.855 | 310.736 | 263.795 | 227.520 | 200.911 | 190.299 | 189.225 | 189.113 |
| 6 | 480.164 | 480.532 | 386.917 | 338.160 | 288.685 | 250.297 | 221.188 | 208.735 | 207.435 | 207.348 |
| 7 | 482.571 | 482.751 | 390.175 | 344.231 | 296.158 | 257.088 | 227.140 | 212.461 | 210.670 | 210.696 |
| 8 | 491.482 | 492.270 | 395.554 | 346.281 | 297.307 | 259.873 | 228.446 | 214.083 | 212.707 | 212.296 |
| 9 | 495.069 | 494.055 | 401.002 | 353.707 | 305.419 | 266.924 | 234.671 | 218.299 | 216.465 | 217.250 |
| 10 | 620.312 | 619.549 | 501.924 | 440.961 | 375.498 | 325.102 | 288.585 | 273.130 | 270.962 | 271.596 |
| 3D-FEM | 3D-FEM | |||||||||
| 1 | 198.416 | 198.431 | 160.340 | 139.746 | 118.812 | 102.734 | 91.132 | 86.656 | 86.208 | 86.218 |
| 2 | 200.943 | 200.936 | 160.449 | 141.076 | 121.407 | 105.877 | 93.267 | 87.142 | 86.466 | 86.440 |
| 3 | 217.121 | 217.269 | 175.834 | 154.797 | 133.371 | 116.419 | 102.527 | 95.675 | 94.912 | 94.809 |
| 4 | 266.782 | 266.756 | 212.726 | 185.191 | 157.269 | 135.823 | 120.350 | 114.383 | 113.788 | 113.803 |
| 5 | 446.760 | 446.605 | 356.514 | 310.441 | 263.555 | 227.327 | 200.751 | 190.137 | 189.060 | 189.113 |
| 6 | 480.164 | 480.769 | 386.492 | 337.772 | 288.359 | 250.041 | 220.984 | 208.516 | 207.210 | 207.348 |
| 7 | 482.571 | 482.297 | 390.320 | 344.378 | 295.605 | 256.635 | 226.748 | 212.798 | 210.987 | 210.696 |
| 8 | 491.482 | 491.430 | 394.815 | 345.620 | 297.510 | 260.177 | 228.848 | 213.663 | 212.279 | 212.296 |
| 9 | 495.069 | 494.589 | 401.401 | 354.094 | 305.857 | 267.471 | 235.343 | 218.934 | 217.083 | 217.250 |
| 10 | 620.312 | 619.666 | 501.948 | 440.963 | 375.534 | 325.175 | 288.637 | 273.499 | 271.306 | 271.596 |
| 3D-FEM | 3D-FEM | |||||||||
| 1 | 198.416 | 198.497 | 160.286 | 139.761 | 118.814 | 102.728 | 91.146 | 86.677 | 86.219 | 86.218 |
| 2 | 200.943 | 201.012 | 160.602 | 141.124 | 121.420 | 105.873 | 93.289 | 87.156 | 86.480 | 86.440 |
| 3 | 217.121 | 216.814 | 175.463 | 154.458 | 133.061 | 116.140 | 102.306 | 95.422 | 94.644 | 94.809 |
| 4 | 266.782 | 266.795 | 212.746 | 185.195 | 157.252 | 135.799 | 120.355 | 114.407 | 113.813 | 113.803 |
| 5 | 446.760 | 446.703 | 356.558 | 310.458 | 263.549 | 227.314 | 200.757 | 190.160 | 189.084 | 189.113 |
| 6 | 480.164 | 480.217 | 386.679 | 337.894 | 288.402 | 250.052 | 221.081 | 208.649 | 207.338 | 207.348 |
| 7 | 482.571 | 482.574 | 389.743 | 343.763 | 295.321 | 256.346 | 226.613 | 212.551 | 210.724 | 210.696 |
| 8 | 491.482 | 491.361 | 394.664 | 345.407 | 296.857 | 259.579 | 228.522 | 213.614 | 212.229 | 212.296 |
| 9 | 495.069 | 494.722 | 401.410 | 354.015 | 305.682 | 267.286 | 235.344 | 218.950 | 217.076 | 217.250 |
| 10 | 620.312 | 619.988 | 502.016 | 440.969 | 375.479 | 325.094 | 288.644 | 273.637 | 271.432 | 271.596 |
| 3D-FEM | 3D-FEM | |||||||||
| 1-2 | 258.759 | 258.617 | 240.405 | 224.620 | 210.698 | 198.245 | 185.432 | 177.078 | 176.615 | 176.810 |
| 3-4 | 300.373 | 299.639 | 280.115 | 263.059 | 247.815 | 233.866 | 218.866 | 208.334 | 207.720 | 208.893 |
| 5-6 | 413.931 | 417.080 | 389.716 | 365.832 | 344.512 | 325.038 | 304.168 | 289.593 | 288.745 | 287.997 |
| 7-8 | 464.130 | 464.720 | 432.082 | 403.783 | 378.801 | 356.411 | 333.222 | 317.662 | 316.798 | 316.548 |
| 9 | 469.069 | 469.517 | 435.535 | 406.136 | 380.231 | 357.064 | 333.286 | 318.105 | 317.258 | 317.178 |
| 10 | 591.877 | 591.647 | 551.016 | 515.725 | 484.573 | 456.722 | 428.139 | 409.599 | 408.573 | 409.117 |
| 11-12 | 627.627 | 630.520 | 590.173 | 554.826 | 523.086 | 493.813 | 461.884 | 438.975 | 437.620 | 437.800 |
| 13-14 | 642.576 | 649.611 | 606.264 | 568.470 | 534.806 | 504.184 | 471.639 | 449.223 | 447.931 | 445.365 |
| 15-16 | 762.858 | 765.328 | 712.381 | 666.380 | 625.678 | 589.088 | 551.097 | 525.940 | 524.529 | 524.017 |
| 17-18 | 766.938 | 777.361 | 727.148 | 683.205 | 643.839 | 607.691 | 568.601 | 540.920 | 539.296 | 537.917 |
| 3D-FEM | 3D-FEM | |||||||||
| 1-2 | 258.759 | 258.987 | 240.741 | 224.950 | 211.034 | 198.591 | 185.790 | 177.441 | 176.978 | 176.810 |
| 3-4 | 300.373 | 301.127 | 281.523 | 264.432 | 249.184 | 235.254 | 220.309 | 209.846 | 209.236 | 208.893 |
| 5-6 | 413.931 | 416.628 | 389.282 | 365.465 | 344.249 | 324.918 | 304.274 | 289.924 | 289.092 | 287.997 |
| 7-8 | 464.130 | 464.908 | 432.215 | 403.910 | 378.947 | 356.593 | 332.887 | 317.366 | 316.505 | 316.548 |
| 9 | 469.069 | 469.044 | 435.083 | 405.705 | 379.825 | 356.688 | 333.525 | 318.399 | 317.556 | 317.178 |
| 10 | 591.877 | 593.040 | 552.209 | 516.864 | 485.729 | 457.922 | 429.399 | 410.903 | 409.880 | 409.117 |
| 11-12 | 627.627 | 631.392 | 590.988 | 555.661 | 524.003 | 494.875 | 463.212 | 440.589 | 439.255 | 437.800 |
| 13-14 | 642.576 | 647.280 | 603.986 | 566.321 | 532.845 | 502.471 | 470.314 | 448.284 | 447.018 | 445.366 |
| 15-16 | 762.858 | 765.353 | 712.282 | 666.273 | 625.628 | 589.143 | 551.332 | 526.362 | 524.963 | 524.017 |
| 17-18 | 766.938 | 776.543 | 726.307 | 682.469 | 643.322 | 607.525 | 569.070 | 542.087 | 540.512 | 537.917 |
| 3D-FEM | 3D-FEM | |||||||||
| 1-2 | 258.759 | 258.962 | 240.684 | 224.866 | 210.933 | 198.484 | 185.699 | 177.382 | 176.921 | 176.810 |
| 3-4 | 300.373 | 300.814 | 281.158 | 264.034 | 248.782 | 234.891 | 220.059 | 209.729 | 209.128 | 208.893 |
| 5-6 | 413.931 | 415.246 | 387.757 | 363.872 | 342.688 | 323.525 | 303.292 | 289.383 | 288.578 | 287.997 |
| 7-8 | 464.130 | 464.701 | 431.934 | 403.576 | 378.590 | 356.253 | 332.945 | 317.417 | 316.555 | 316.548 |
| 9 | 469.069 | 469.126 | 551.874 | 405.779 | 379.895 | 356.753 | 333.274 | 318.265 | 317.430 | 317.178 |
| 10 | 591.877 | 592.843 | 588.706 | 516.412 | 485.195 | 457.359 | 428.905 | 410.548 | 409.536 | 409.117 |
| 11-12 | 627.627 | 629.280 | 588.706 | 553.305 | 521.705 | 492.818 | 461.729 | 439.724 | 438.429 | 437.800 |
| 13-14 | 642.576 | 645.025 | 601.445 | 563.638 | 530.207 | 500.129 | 468.713 | 447.491 | 446.276 | 445.365 |
| 15-16 | 762.858 | 764.507 | 711.247 | 665.120 | 624.452 | 588.071 | 550.591 | 526.011 | 524.638 | 524.017 |
| 17-18 | 766.938 | 771.504 | 720.824 | 676.826 | 637.897 | 602.830 | 566.017 | 540.724 | 539.253 | 537.917 |
| 3D-FEM | 3D-FEM | |||||||||
| 1-2 | 258.759 | 258.613 | 240.398 | 224.609 | 210.684 | 198.226 | 185.408 | 177.050 | 176.586 | 176.810 |
| 3-4 | 300.373 | 299.525 | 279.937 | 262.807 | 247.480 | 233.443 | 218.346 | 207.769 | 207.154 | 208.893 |
| 5-6 | 413.931 | 416.744 | 389.199 | 365.100 | 343.530 | 323.779 | 302.583 | 287.814 | 286.958 | 287.997 |
| 7-8 | 464.130 | 464.649 | 431.973 | 403.629 | 378.594 | 356.145 | 332.951 | 317.660 | 316.796 | 316.548 |
| 9 | 469.069 | 469.517 | 435.534 | 406.134 | 380.229 | 357.063 | 333.220 | 317.726 | 316.878 | 317.178 |
| 10 | 591.877 | 591.644 | 551.012 | 515.718 | 484.563 | 456.708 | 428.119 | 409.574 | 408.549 | 409.117 |
| 11-12 | 627.627 | 630.043 | 589.434 | 553.779 | 521.691 | 492.040 | 459.687 | 436.554 | 435.192 | 437.800 |
| 13-14 | 642.576 | 648.980 | 605.299 | 567.108 | 532.987 | 501.858 | 468.718 | 445.944 | 444.636 | 445.365 |
| 15-16 | 762.858 | 765.045 | 711.951 | 665.777 | 624.875 | 588.065 | 549.817 | 524.505 | 523.086 | 524.017 |
| 17-18 | 766.938 | 775.983 | 725.041 | 680.234 | 639.870 | 602.616 | 562.226 | 533.765 | 532.106 | 537.917 |
| 3D-FEM | 3D-FEM | |||||||||
| 1-2 | 258.759 | 258.963 | 240.728 | 224.935 | 211.005 | 198.536 | 185.689 | 177.296 | 176.830 | 176.810 |
| 3-4 | 300.373 | 300.965 | 281.320 | 264.171 | 248.851 | 234.841 | 219.807 | 209.301 | 208.691 | 208.893 |
| 5-6 | 413.931 | 416.333 | 388.828 | 364.811 | 343.356 | 323.752 | 302.776 | 288.216 | 287.373 | 287.997 |
| 7-8 | 464.130 | 464.824 | 432.116 | 403.770 | 378.741 | 356.297 | 332.883 | 317.362 | 316.501 | 316.548 |
| 9 | 469.069 | 469.043 | 435.080 | 405.702 | 379.822 | 356.684 | 333.100 | 317.869 | 317.020 | 317.178 |
| 10 | 591.877 | 592.952 | 552.191 | 516.851 | 485.664 | 457.750 | 429.034 | 410.350 | 409.315 | 409.117 |
| 11-12 | 627.627 | 630.906 | 590.271 | 554.669 | 522.695 | 493.226 | 461.189 | 438.388 | 437.048 | 437.800 |
| 13-14 | 642.576 | 646.806 | 603.217 | 565.181 | 531.260 | 500.376 | 467.591 | 445.150 | 443.864 | 445.366 |
| 15-16 | 762.858 | 765.091 | 711.933 | 665.769 | 624.908 | 588.149 | 549.968 | 524.717 | 523.303 | 524.017 |
| 17-18 | 766.938 | 775.448 | 724.603 | 680.015 | 639.981 | 603.183 | 563.533 | 535.821 | 534.213 | 537.917 |
| 3D-FEM | 3D-FEM | |||||||||
| 1-2 | 258.759 | 258.865 | 240.627 | 224.839 | 210.923 | 198.480 | 185.681 | 177.334 | 176.870 | 176.810 |
| 3-4 | 300.373 | 300.592 | 281.015 | 263.948 | 248.733 | 234.859 | 220.025 | 209.683 | 209.081 | 208.893 |
| 5-6 | 413.931 | 414.608 | 387.359 | 363.651 | 342.582 | 323.471 | 303.214 | 289.240 | 288.431 | 287.997 |
| 7-8 | 464.130 | 464.466 | 431.795 | 403.506 | 378.562 | 356.237 | 332.939 | 317.410 | 316.548 | 316.548 |
| 9 | 469.069 | 469.124 | 435.158 | 405.777 | 379.891 | 356.748 | 333.228 | 318.159 | 317.319 | 317.178 |
| 10 | 591.877 | 592.375 | 551.601 | 516.281 | 485.155 | 457.355 | 428.850 | 410.365 | 409.342 | 409.117 |
| 11-12 | 627.627 | 628.374 | 588.121 | 552.961 | 521.528 | 492.734 | 461.672 | 439.664 | 438.370 | 437.800 |
| 13-14 | 642.576 | 643.860 | 600.729 | 563.248 | 530.024 | 500.032 | 468.555 | 447.193 | 445.969 | 445.366 |
| 15-16 | 762.858 | 763.806 | 710.833 | 664.910 | 624.365 | 588.024 | 550.470 | 525.743 | 524.359 | 524.017 |
| 17-18 | 766.938 | 769.235 | 719.464 | 676.136 | 637.643 | 602.773 | 565.883 | 540.380 | 538.896 | 537.917 |
| 3D-FEM | 3D-FEM | |||||||||
| 1 | 195.111 | 194.845 | 174.963 | 159.475 | 147.115 | 137.106 | 127.206 | 119.404 | 118.948 | 118.910 |
| 2 | 198.883 | 198.938 | 179.165 | 163.287 | 150.067 | 138.712 | 127.679 | 121.391 | 121.008 | 121.123 |
| 3 | 238.283 | 238.321 | 214.347 | 195.038 | 178.939 | 165.127 | 151.239 | 141.995 | 141.463 | 141.494 |
| 4 | 271.427 | 270.265 | 242.773 | 221.328 | 204.198 | 190.322 | 177.265 | 168.602 | 168.076 | 168.298 |
| 5 | 298.882 | 299.997 | 268.916 | 244.224 | 223.933 | 206.837 | 190.111 | 179.369 | 178.763 | 177.985 |
| 6 | 334.441 | 335.047 | 299.637 | 271.201 | 247.526 | 227.269 | 207.188 | 194.433 | 193.731 | 193.330 |
| 7 | 385.418 | 386.448 | 346.686 | 315.520 | 290.447 | 269.960 | 250.626 | 238.139 | 237.405 | 236.270 |
| 8 | 419.503 | 419.592 | 375.550 | 341.051 | 313.364 | 290.860 | 269.835 | 256.432 | 255.649 | 255.202 |
| 9 | 429.229 | 428.002 | 384.359 | 350.244 | 323.001 | 301.005 | 280.465 | 266.925 | 266.104 | 266.854 |
| 10 | 524.643 | 524.255 | 469.817 | 427.378 | 393.594 | 366.442 | 341.308 | 324.961 | 323.977 | 323.225 |
| 3D-FEM | 3D-FEM | |||||||||
| 1 | 195.111 | 195.473 | 175.471 | 159.898 | 147.470 | 137.412 | 127.327 | 119.584 | 119.132 | 118.910 |
| 2 | 198.883 | 198.821 | 179.050 | 163.206 | 150.038 | 138.746 | 127.973 | 121.732 | 121.354 | 121.123 |
| 3 | 238.283 | 238.253 | 214.233 | 194.929 | 178.860 | 165.094 | 151.279 | 142.107 | 141.580 | 141.494 |
| 4 | 271.427 | 271.356 | 243.673 | 222.090 | 204.846 | 190.884 | 177.806 | 169.223 | 168.705 | 168.298 |
| 5 | 298.882 | 298.974 | 267.925 | 243.281 | 223.044 | 206.010 | 189.391 | 178.790 | 178.196 | 177.985 |
| 6 | 334.441 | 334.405 | 299.058 | 270.675 | 247.042 | 226.824 | 206.790 | 194.088 | 193.390 | 193.330 |
| 7 | 385.418 | 385.514 | 345.753 | 314.610 | 289.560 | 269.105 | 249.872 | 237.585 | 236.868 | 236.270 |
| 8 | 419.503 | 419.180 | 375.026 | 340.468 | 312.755 | 290.275 | 269.409 | 256.271 | 255.507 | 255.202 |
| 9 | 429.229 | 429.396 | 385.395 | 351.069 | 323.694 | 301.641 | 281.188 | 267.868 | 267.063 | 266.854 |
| 10 | 524.643 | 523.758 | 469.103 | 426.514 | 392.623 | 365.438 | 340.481 | 324.523 | 323.570 | 323.225 |
| 3D-FEM | 3D-FEM | |||||||||
| 1 | 195.111 | 194.806 | 175.253 | 159.979 | 147.714 | 137.676 | 127.331 | 119.605 | 119.156 | 118.910 |
| 2 | 198.883 | 198.906 | 179.134 | 163.286 | 150.104 | 138.785 | 128.103 | 121.790 | 121.413 | 121.123 |
| 3 | 238.283 | 238.385 | 214.368 | 195.063 | 178.980 | 165.178 | 151.289 | 142.082 | 141.556 | 141.494 |
| 4 | 271.427 | 271.747 | 244.065 | 222.444 | 205.111 | 190.982 | 177.635 | 168.987 | 168.477 | 168.298 |
| 5 | 298.882 | 299.133 | 267.974 | 243.250 | 222.956 | 205.887 | 189.263 | 178.716 | 178.127 | 177.985 |
| 6 | 334.441 | 334.489 | 299.137 | 270.744 | 247.097 | 226.859 | 206.790 | 194.064 | 193.366 | 193.330 |
| 7 | 385.418 | 385.655 | 345.817 | 314.599 | 289.462 | 268.889 | 249.489 | 237.196 | 236.489 | 236.270 |
| 8 | 419.503 | 419.996 | 375.674 | 340.978 | 313.139 | 290.524 | 269.510 | 256.423 | 255.671 | 255.202 |
| 9 | 429.229 | 429.836 | 386.063 | 351.908 | 324.634 | 302.586 | 282.042 | 268.789 | 267.998 | 266.854 |
| 10 | 524.643 | 525.487 | 470.589 | 427.767 | 393.627 | 366.142 | 340.818 | 324.886 | 323.952 | 323.225 |
| 3D-FEM | 3D-FEM | |||||||||
| 1 | 195.111 | 194.417 | 174.592 | 159.130 | 146.764 | 136.715 | 126.998 | 119.208 | 118.983 | 118.910 |
| 2 | 198.883 | 198.769 | 178.995 | 163.111 | 149.881 | 138.513 | 127.198 | 120.846 | 120.655 | 121.123 |
| 3 | 238.283 | 238.123 | 214.142 | 194.820 | 178.703 | 164.866 | 150.941 | 141.676 | 141.411 | 141.494 |
| 4 | 271.427 | 269.211 | 241.714 | 220.222 | 202.998 | 188.972 | 175.675 | 166.849 | 166.586 | 168.298 |
| 5 | 298.882 | 299.905 | 268.805 | 244.095 | 223.786 | 206.673 | 189.934 | 179.201 | 178.900 | 177.985 |
| 6 | 334.441 | 335.016 | 299.602 | 271.162 | 247.482 | 227.221 | 207.134 | 194.371 | 194.021 | 193.330 |
| 7 | 385.418 | 385.910 | 346.136 | 314.937 | 289.804 | 269.227 | 249.750 | 237.176 | 236.810 | 236.270 |
| 8 | 419.503 | 418.787 | 374.723 | 340.174 | 312.403 | 289.771 | 268.552 | 255.042 | 254.651 | 255.202 |
| 9 | 429.229 | 426.953 | 383.297 | 349.130 | 321.786 | 299.631 | 278.844 | 265.174 | 264.766 | 266.854 |
| 10 | 524.643 | 522.524 | 468.056 | 425.524 | 391.573 | 364.164 | 338.633 | 322.054 | 321.562 | 323.225 |
| 3D-FEM | 3D-FEM | |||||||||
| 1 | 195.111 | 194.289 | 174.720 | 159.414 | 147.119 | 137.070 | 126.993 | 119.206 | 118.750 | 118.910 |
| 2 | 198.883 | 198.454 | 178.738 | 162.920 | 149.756 | 138.449 | 127.505 | 121.120 | 120.733 | 121.123 |
| 3 | 238.283 | 237.838 | 213.882 | 194.610 | 178.545 | 164.755 | 150.870 | 141.607 | 141.073 | 141.494 |
| 4 | 271.427 | 270.114 | 242.534 | 220.978 | 203.688 | 189.600 | 176.260 | 167.417 | 166.884 | 168.298 |
| 5 | 298.882 | 298.806 | 267.694 | 243.003 | 222.728 | 205.665 | 189.019 | 178.403 | 177.808 | 177.985 |
| 6 | 334.441 | 334.314 | 298.985 | 270.606 | 246.971 | 226.740 | 206.675 | 193.925 | 193.223 | 193.330 |
| 7 | 385.418 | 384.783 | 345.011 | 313.837 | 288.728 | 268.173 | 248.754 | 236.277 | 235.549 | 236.270 |
| 8 | 419.503 | 418.498 | 374.277 | 339.646 | 311.845 | 289.248 | 268.206 | 254.946 | 254.178 | 255.202 |
| 9 | 429.229 | 427.509 | 383.866 | 349.743 | 322.437 | 300.327 | 279.679 | 266.224 | 265.417 | 266.854 |
| 10 | 524.643 | 522.233 | 467.535 | 424.851 | 390.806 | 363.390 | 338.057 | 321.820 | 320.855 | 323.225 |
| 3D-FEM | 3D-FEM | |||||||||
| 1 | 195.111 | 193.053 | 173.470 | 158.155 | 145.838 | 135.723 | 125.978 | 119.135 | 118.672 | 118.910 |
| 2 | 198.883 | 198.439 | 178.690 | 162.859 | 149.697 | 138.402 | 126.956 | 119.227 | 118.748 | 121.123 |
| 3 | 238.283 | 237.760 | 213.778 | 194.493 | 178.430 | 164.652 | 150.777 | 141.470 | 140.927 | 141.494 |
| 4 | 271.427 | 269.878 | 242.197 | 220.601 | 203.318 | 189.251 | 175.918 | 167.043 | 166.488 | 168.298 |
| 5 | 298.882 | 298.720 | 267.590 | 242.884 | 222.606 | 205.553 | 188.936 | 178.310 | 177.710 | 177.985 |
| 6 | 334.441 | 334.364 | 299.030 | 270.645 | 247.001 | 226.763 | 206.692 | 193.922 | 193.216 | 193.330 |
| 7 | 385.418 | 385.063 | 345.255 | 314.055 | 288.936 | 268.389 | 249.007 | 236.596 | 235.869 | 236.270 |
| 8 | 419.503 | 418.657 | 374.320 | 339.612 | 311.774 | 289.165 | 268.110 | 254.756 | 253.954 | 255.202 |
| 9 | 429.229 | 427.613 | 383.813 | 349.635 | 322.380 | 300.401 | 279.884 | 266.253 | 265.406 | 266.854 |
| 10 | 524.643 | 523.809 | 468.932 | 426.112 | 391.995 | 364.554 | 339.222 | 322.911 | 321.913 | 323.225 |
© 2017 by the authors. Licensee MDPI, Basel, Switzerland. This article is an open access article distributed under the terms and conditions of the Creative Commons Attribution (CC BY) license ( http://creativecommons.org/licenses/by/4.0/).
Share and Cite
Tornabene, F.; Fantuzzi, N.; Bacciocchi, M.; Viola, E.; Reddy, J.N. A Numerical Investigation on the Natural Frequencies of FGM Sandwich Shells with Variable Thickness by the Local Generalized Differential Quadrature Method. Appl. Sci. 2017, 7, 131. https://doi.org/10.3390/app7020131
Tornabene F, Fantuzzi N, Bacciocchi M, Viola E, Reddy JN. A Numerical Investigation on the Natural Frequencies of FGM Sandwich Shells with Variable Thickness by the Local Generalized Differential Quadrature Method. Applied Sciences. 2017; 7(2):131. https://doi.org/10.3390/app7020131
Chicago/Turabian StyleTornabene, Francesco, Nicholas Fantuzzi, Michele Bacciocchi, Erasmo Viola, and Junuthula N. Reddy. 2017. "A Numerical Investigation on the Natural Frequencies of FGM Sandwich Shells with Variable Thickness by the Local Generalized Differential Quadrature Method" Applied Sciences 7, no. 2: 131. https://doi.org/10.3390/app7020131
APA StyleTornabene, F., Fantuzzi, N., Bacciocchi, M., Viola, E., & Reddy, J. N. (2017). A Numerical Investigation on the Natural Frequencies of FGM Sandwich Shells with Variable Thickness by the Local Generalized Differential Quadrature Method. Applied Sciences, 7(2), 131. https://doi.org/10.3390/app7020131

