Reverse Circulation Drilling Method Based on a Supersonic Nozzle for Dust Control
Abstract
:1. Introduction
2. Description of the Suction Process and Nozzle Structure
3. Experimental
3.1. Orthogonal Experimental Design and Experimental Setup
3.2. Schlieren Experiment
4. CFD Method
5. Results and Discussion
5.1. Parameter Analysis
5.2. Influence of the Dominant Effective Parameters
5.3. Observation of Shock Wave Structure
6. Conclusions
- (1)
- The application of a supersonic nozzle can significantly improve the suction performance of reverse-circulation drilling. A high entrainment ratio up to 0.76 was obtained, which implied a strong suction performance for dust control.
- (2)
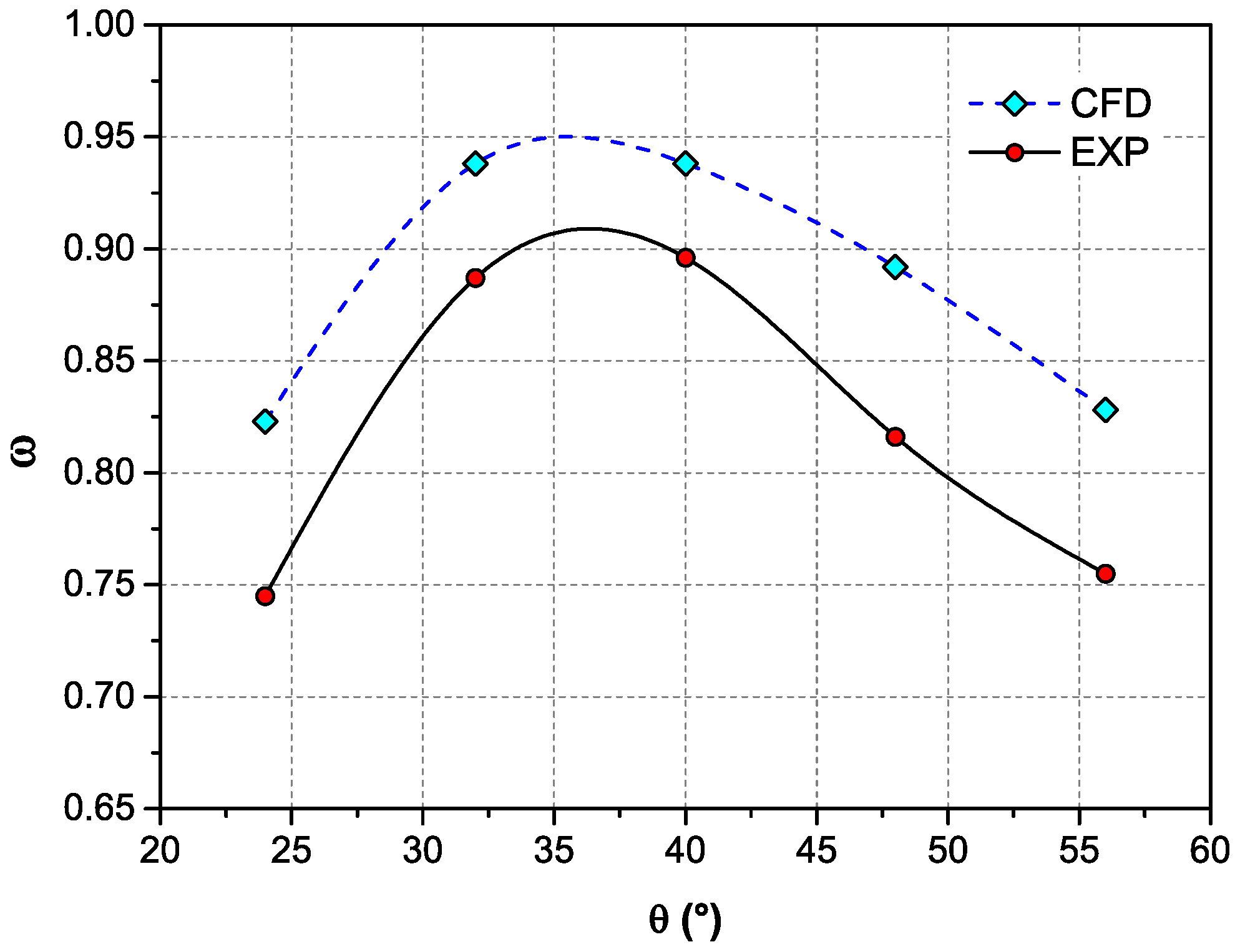
- The length of the divergent section (Ls), spray angle (θ), flushing nozzle diameter (Df), and center passage diameter (Dc) had significant effects on entrainment and suction performance, while the effects of nozzle quantity and height can be ignored. The entrainment ratio decreased with Ls monotonously. There existed an optimum value of θ in the range of 32°–40° for better suction performance. The entrainment ratio increased with the center-passage diameter while presenting a negative relation with Df.
- (3)
- The CFD result agreed well with experimental data with a maximum difference of 17%. The Standard k-e was not proper to describe the details of shockwave, however, it is reliable to predict the entrainment ratio to save time for numerous and complex calculations and is helpful to assisting analysis.
- (4)
- For the unequal-length divergent part, the flow with high speed tended to distribute along the longer side, which was easier to deflect. The shock train length presented a negtive correlation with Ls and a positve correlation with θ. A synthetic consideration of the effects of flow shear and mixture, flow collision, pressure, and the distributary situation is necessary.
Acknowledgments
Author Contributions
Conflicts of Interest
Nomenclature
| Ns | quantity of supersonic nozzle |
| Ls | length of divergent section, mm |
| θ | the spray angle, ° |
| Df | flushing nozzle diameter, mm |
| Dc | center passage diameter, mm |
| Hc | supersonic nozzle height, mm |
| ω | entrainment ratio |
| K | sum of the results |
| SS | sum of squares of deviations |
| df | degree of freedom |
| M | mean square |
References
- Neuman, C.M.; Boulton, J.W.; Sanderson, S. Wind tunnel simulation of environmental controls on fugitive dust emissions from mine tailings. Atmos. Environ. 2009, 43, 520–529. [Google Scholar] [CrossRef]
- National Institute of Occupational Safety and Health. NIOSH Alert: Request for Assistance in Preventing Silicosis and Deaths in Rock Drillers; DHHS Publication No. (NIOSH); US Department of Health and Human Services, Public Health Service, Service, CDC, NIOSH: Cincinnati, OH, USA, 1992; pp. 92–107.
- Fan, S.; Wong, Y.; Shen, L.; Lu, W.; Wang, T.; Yu, A.; Shen, Q. The effectiveness of Dust Bubbles on dust control in the process of concrete drilling. Saf. Sci. 2012, 50, 1284–1289. [Google Scholar] [CrossRef]
- Luo, Y.J.; Peng, J.M.; Li, L.J.; He, J.; Gan, X.; Yin, K. Development of a specially designed drill bit for down-the-hole air hammer to reduce dust production in the drilling process. J. Clean. Prod. 2016, 112, 1040–1048. [Google Scholar] [CrossRef]
- Han, S.; Peddieson, J., Jr.; Gregory, D. Ejector primary flow molecular weight effects in an ejector-ram rocket engine. J. Propuls. Power 2002, 18, 592–599. [Google Scholar] [CrossRef]
- Ferrari, M.L.; Bernardi, D.; Massardo, A.F. Design and testing of Ejectors for High Temperature Fuel Cell Hybird Systems. J. Fuel Cell Sci. Technol. 2006, 3, 284–291. [Google Scholar] [CrossRef]
- Zhou, M.; Wang, X.; Yu, J. Theoretical study on a novel dual-nozzle ejector enhanced refrigeration cycle for household refrigerator-freezers. Energy Convers. Manag. 2013, 73, 278–284. [Google Scholar] [CrossRef]
- Alimohammadi, S.; Persoons, T.; Murray, D.B.; Tehrani, M.S.; Farhanieh, B.; Koehler, J. A Validated Numerical-Experimental Design Methodology for a Movable Supersonic Ejector Compressor for Waste-Heat Recovery. J. Therm. Sci. Eng. Appl. 2013, 6, 021001. [Google Scholar] [CrossRef]
- Wang, M.; Wang, J.; Zhao, P.; Dai, Y. Multi-objective optimization of a combined cooling, heating and power system driven by solar energy. Energy Convers. Manag. 2015, 89, 289–297. [Google Scholar] [CrossRef]
- Timan, T.G.; Paterson, R.W.; Presz, W.M., Jr. Supersonic nozzle mixer ejector. J. Propuls. Power 1992, 8, 513–519. [Google Scholar]
- Kong, F.; Jin, Y.; Setoguchi, T.; Kim, H.D. Numerical analysis of Chevron nozzle effects on performance of the supersonic ejector-diffuser system. J. Therm. Sci. 2013, 22, 459–466. [Google Scholar] [CrossRef]
- Rao, S.M.V.; Jagadeesh, G. Novel supersonic nozzles for mixing enhancement in supersonic ejectors. Appl. Therm. Eng. 2014, 71, 62–71. [Google Scholar] [CrossRef]
- Jia, Y.; Wenjian, C. Area ratio effects to the performance of air-cooled ejector refrigeration cycle with R134a refrigerant. Energy Convers. Manag. 2012, 53, 240–246. [Google Scholar] [CrossRef]
- Eames, I.W.; Ablwaifa, A.E.; Petrenko, V. Results of an experimental study of an advanced jet-pump refrigerator operating with R245fa. Appl. Therm. Eng. 2007, 27, 2833–2840. [Google Scholar] [CrossRef]
- Varga, S.; Oliveira, A.C.; Diaconu, B. Influence of geometrical factors on steam ejector performance—A numerical assessment. Int. J. Refrig. 2009, 32, 1694–1701. [Google Scholar] [CrossRef]
- Rusly, E.; Aye, L.; Charters, W.; Ooi, A. CFD analysis of ejector in a combined ejector cooling system. Int. J. Refrig. 2005, 28, 1092–1101. [Google Scholar] [CrossRef]
- Keenan, J.; Neumann, E. A simple air ejector. ASME J. Appl. Mech. 1942, 64, 75–82. [Google Scholar]
- Keenan, J.; Neumann, E.; Lustwerk, F. An investigation of ejector design by analysis and experiment. ASME J. Appl. Mech. 1950, 72, 299–309. [Google Scholar]
- Huang, B.; Chang, J.; Wang, C.; Petrenko, V. A 1-D analysis of ejector performance. Int. J. Refrig. 1999, 22, 354–364. [Google Scholar] [CrossRef]
- Zhu, Y.; Cai, W.; Wen, C.; Li, Y. Shock circle model for ejector performance evaluation. Energy Convers. Manag. 2007, 48, 2533–2541. [Google Scholar] [CrossRef]
- Bartosiewicz, Y.; Aidoun, Z.; Desevaux, P.; Mercadier, Y. Numerical and experimental investigations on supersonic ejectors. Int. J. Heat Fluid Flow 2005, 26, 56–70. [Google Scholar] [CrossRef]
- Pianthong, K.; Seehanam, W.; Behnia, M.; Sriveerakul, T.; Aphornratana, S. Investigation and improvement of ejector refrigeration system using computational fluid dynamics technique. Energy Convers. Manag. 2007, 48, 2556–2564. [Google Scholar] [CrossRef]
- Hakkaki-Fard, A.; Aidoun, Z.; Ouzzane, M. A computational methodology for ejector design and performance maximisation. Energy Convers. Manag. 2015, 105, 1291–1302. [Google Scholar] [CrossRef]
- Chong, D.; Hu, M.; Chen, W.; Wang, J.; Liu, J.; Yan, J. Experimental and numerical analysis of supersonic air ejector. Appl. Energy 2014, 130, 679–684. [Google Scholar] [CrossRef]
- Dvorak, V.; Safarik, P. Transonic Instability in Entrance Part of Mixing Chamber of High-Speed Ejector. J. Therm. Sci. 2005, 14, 258–264. [Google Scholar] [CrossRef]
- Sugiyama, H.; Tsujiguchi, Y.; Honma, T. Structure and oscillation phenomena of pseudo-shock waves in a straight square duct at Mach 2 and 4. In Proceedings of the 15th AIAA International Space Planes and Hypersonic Systems and Technologies Conference, Dayton, OH, USA, 28 April–1 May 2008. AIAA-2008-2646.
- Zhu, Y.; Jiang, P. Experimental and numerical investigation of the effect of shock wave characteristics on the ejector performance. Int. J. Refrig. 2014, 40, 31–42. [Google Scholar] [CrossRef]
- Zhu, Y.; Jiang, P. Experimental and analytical studies on the shock wave length in convergent and convergent-divergent nozzle ejectors. Energy Convers. Manag. 2014, 88, 907–914. [Google Scholar] [CrossRef]
- Tabernero, I.; Lamikiz, A.; Ukar, E.; de Lacalle, L.N.L.; Angulo, C.; Urbikain, G. Numerical simulation and experimental validation of powder flux distribution in coaxial laser cladding. J. Mater. Process. Technol. 2010, 210, 2125–2134. [Google Scholar] [CrossRef]
- Besagni, G.; Mereu, R.; Chiesa, P.; Inzoli, F. An Integrated Lumped Parameter-CFD approach for off-design ejector performance evaluation. Energy Convers. Manag. 2015, 105, 697–715. [Google Scholar] [CrossRef]
- Sung, H.J.; Sung, H.P.; Jeong, W.H.; Chang, H.L.; Hyung, J.K. Factors of Nozzle Design Affecting on Supersonic Flow in Cold Spray Process. Mater. Sci. Forum 2006, 510, 1046–1049. [Google Scholar]













| Factor | Level 1 | Level 2 | Level 3 |
|---|---|---|---|
| Ns (mm) | 4 | 5 | 6 |
| Df (mm) | 4 | 6 | 8 |
| Ls (mm) | 13 | 25 | 37 |
| θ (°) | 24 | 32 | 40 |
| Hc (mm) | 186 | 198 | 210 |
| Dc (mm) | 56 | 44 | 32 |
| Exp. Number | Ns | Df | (Ns × Df) 1 | (Ns × Df) 2 | Ls | (Ns × Ls) 1 | (Ns × Ls) 1 | θ | Hc | Dc | ω |
|---|---|---|---|---|---|---|---|---|---|---|---|
| 1 | 1 | 1 | 1 | 1 | 1 | 1 | 1 | 1 | 1 | 1 | 0.7551 |
| 2 | 1 | 1 | 1 | 1 | 2 | 2 | 2 | 2 | 2 | 2 | 0.6238 |
| 3 | 1 | 1 | 1 | 1 | 3 | 3 | 3 | 3 | 3 | 3 | 0.0238 |
| 4 | 1 | 2 | 2 | 2 | 1 | 1 | 1 | 2 | 2 | 3 | 0.3554 |
| 5 | 1 | 2 | 2 | 2 | 2 | 2 | 2 | 3 | 3 | 1 | 0.4100 |
| 6 | 1 | 2 | 2 | 2 | 3 | 3 | 3 | 1 | 1 | 2 | 0.5123 |
| 7 | 1 | 3 | 3 | 3 | 1 | 1 | 1 | 3 | 3 | 2 | 0.2500 |
| 8 | 1 | 3 | 3 | 3 | 2 | 2 | 2 | 1 | 1 | 3 | 0.0762 |
| 9 | 1 | 3 | 3 | 3 | 3 | 3 | 3 | 2 | 2 | 1 | -0.0146 |
| 10 | 2 | 1 | 2 | 3 | 1 | 2 | 3 | 2 | 3 | 2 | 0.2611 |
| 11 | 2 | 1 | 2 | 3 | 2 | 3 | 1 | 3 | 1 | 3 | 0.1700 |
| 12 | 2 | 1 | 2 | 3 | 3 | 1 | 2 | 1 | 2 | 1 | 0.6146 |
| 13 | 2 | 2 | 3 | 1 | 1 | 2 | 3 | 3 | 1 | 1 | 0.7123 |
| 14 | 2 | 2 | 3 | 1 | 2 | 3 | 1 | 1 | 2 | 2 | 0.4338 |
| 15 | 2 | 2 | 3 | 1 | 3 | 1 | 2 | 2 | 3 | 3 | −0.0454 |
| 16 | 2 | 3 | 1 | 2 | 1 | 2 | 3 | 1 | 2 | 3 | 0.1792 |
| 17 | 2 | 3 | 1 | 2 | 2 | 3 | 1 | 2 | 3 | 1 | 0.3569 |
| 18 | 2 | 3 | 1 | 2 | 3 | 1 | 2 | 3 | 1 | 2 | −0.0815 |
| 19 | 3 | 1 | 3 | 2 | 1 | 3 | 2 | 3 | 2 | 3 | 0.4054 |
| 20 | 3 | 1 | 3 | 2 | 2 | 1 | 3 | 1 | 3 | 1 | 0.5654 |
| 21 | 3 | 1 | 3 | 2 | 3 | 2 | 1 | 2 | 1 | 2 | 0.2985 |
| 22 | 3 | 2 | 1 | 3 | 1 | 3 | 2 | 1 | 3 | 2 | 0.5369 |
| 23 | 3 | 2 | 1 | 3 | 2 | 1 | 3 | 2 | 1 | 3 | 0.0115 |
| 24 | 3 | 2 | 1 | 3 | 3 | 2 | 1 | 3 | 2 | 1 | 0.2446 |
| 25 | 3 | 3 | 2 | 1 | 1 | 3 | 2 | 2 | 1 | 1 | 0.3823 |
| 26 | 3 | 3 | 2 | 1 | 2 | 1 | 3 | 3 | 2 | 2 | 0.0538 |
| 27 | 3 | 3 | 2 | 1 | 3 | 2 | 1 | 1 | 3 | 3 | −0.1523 |
| K1 | 2.992 | 3.718 | 2.650 | 2.787 | 3.838 | 2.479 | 2.712 | 2.230 | 2.837 | 4.027 | |
| K2 | 2.601 | 3.172 | 2.607 | 3.002 | 2.532 | 2.653 | 2.922 | 3.521 | 2.896 | 2.889 | |
| K3 | 2.346 | 1.050 | 2.682 | 2.150 | 1.40 | 2.807 | 2.305 | 2.188 | 2.206 | 1.024 | |
| Source of Variance | SS | df | MS | F |
|---|---|---|---|---|
| Df | 0.441 | 2 | 0.221 | 14.73 |
| Ls | 0.232 | 2 | 0.116 | 7.733 |
| θ | 0.128 | 2 | 0.064 | 4.267 |
| Dc | 0.511 | 2 | 0.255 | 17.00 |
| Error | 0.273 | 18 | 0.015 | - |
© 2016 by the authors; licensee MDPI, Basel, Switzerland. This article is an open access article distributed under the terms and conditions of the Creative Commons Attribution (CC-BY) license (http://creativecommons.org/licenses/by/4.0/).
Share and Cite
Wu, D.; Yin, K.; Yin, Q.; Zhang, X.; Cheng, J.; Ge, D.; Zhang, P. Reverse Circulation Drilling Method Based on a Supersonic Nozzle for Dust Control. Appl. Sci. 2017, 7, 5. https://doi.org/10.3390/app7010005
Wu D, Yin K, Yin Q, Zhang X, Cheng J, Ge D, Zhang P. Reverse Circulation Drilling Method Based on a Supersonic Nozzle for Dust Control. Applied Sciences. 2017; 7(1):5. https://doi.org/10.3390/app7010005
Chicago/Turabian StyleWu, Dongyu, Kun Yin, Qilei Yin, Xinxin Zhang, Jingqing Cheng, Dong Ge, and Pengfei Zhang. 2017. "Reverse Circulation Drilling Method Based on a Supersonic Nozzle for Dust Control" Applied Sciences 7, no. 1: 5. https://doi.org/10.3390/app7010005
APA StyleWu, D., Yin, K., Yin, Q., Zhang, X., Cheng, J., Ge, D., & Zhang, P. (2017). Reverse Circulation Drilling Method Based on a Supersonic Nozzle for Dust Control. Applied Sciences, 7(1), 5. https://doi.org/10.3390/app7010005
