Failure Mode Analysis and Dynamic Response of a Coal Mine Refuge Chamber with a Gas Explosion
Abstract
:1. Introduction
2. The Finite Element Model
2.1. Finite Element Code and Arbitrary Lagrange-Euler (ALE) Method
2.2. Model Description
2.3. Modeling Approaches
2.4. Material Models and Equation of State
3. Simulation Results and Discussion
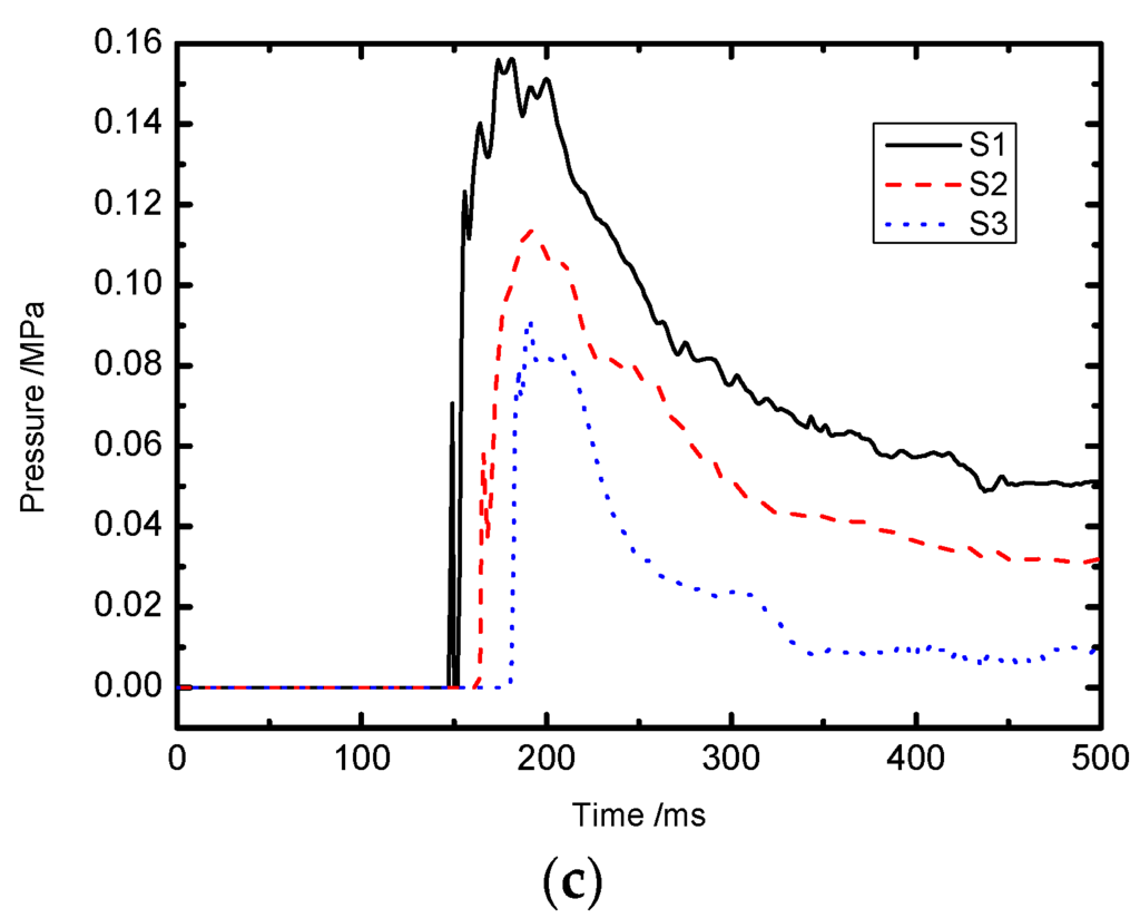
3.1. Fluid-Structure Interaction Effect
3.2. Failure Mode of Refuge Chamber Structure
(a) Failure mode I
(b) Failure mode II
4. Conclusions
Acknowledgments
Author Contributions
Conflicts of Interest
References
- Wang, S.; Jin, L.Z.; Li, J. The present statns of overseas mine emergency refuge chamber technology. J. Saf. Sci. Technol. 2010, 6, 119–123. (In Chinese) [Google Scholar]
- Yang, D.M. The construction and development of the emergency refuge system in coal mine. Coal Sci. Technol. 2010, 11, 6–9. (In Chinese) [Google Scholar]
- Mitchell, M.D. Analysis of Underground Coal Mine Refuge Shelters. Ph.D. Thesis, West Virginia University, Morgantown, WV, USA, 20 April 2008. [Google Scholar]
- Sun, J.P. The function and configuration scheme in coal mine. Ind. Mine Autom. 2010, 11, 1–4. (In Chinese) [Google Scholar]
- Safety, M. Health administration, US department of labor. 30 CFR parts 7 and 75 refuge alternatives for underground coal mines final rule. Natl. Arch. Rec. Adm. 2008, 82, 18–20. [Google Scholar]
- Si, R.J. Research on Coal Mine Gas and Coal Dust Explosion Propagation Law. Ph.D. Thesis, Shandong University of Science and Technology, Tsingtao, China, 5 March 2007. [Google Scholar]
- Jian, C.G.; Lin, B.Q.; Zhai, C. Research on structure changes of shock wave during gas explosion. J. China Univ. Min. Technol. 2003, 32, 363–366. (In Chinese) [Google Scholar]
- Li, F.W.; Jin, L.Z.; Zhan, Z.N. Numerical simulation study of air distribution law of air pressure system in the mine refuge chamber. J. Theor. Appl. Inf. Technol. 2012, 45, 205–211. [Google Scholar]
- Zhao, H.J.; Qian, X.M. Simulation analysis on structure safety of two typical refuge chamber shell forms under explosion load. Procedia Eng. 2012, 5, 910–915. [Google Scholar] [CrossRef]
- Zhao, H.J.; Qian, X.M.; Li, J. Simulation analysis on structure safety of coal mine mobile refuge chamber under explosion load. Saf. Sci. 2012, 50, 674–678. [Google Scholar] [CrossRef]
- Li, Y.M.; Wu, W.T. Design of integrated protective performance test platform for coal mine portable hardware. Autom. Ind. Min. 2012, 4, 64–66. (In Chinese) [Google Scholar]
- Zhang, B.Y.; Zhao, W.; Wang, W.; Zhang, X.H. Pressure characteristics and dynamic response of coal mine refuge chamber with underground gas explosion. J. Loss Prev. Process Ind. 2014, 30, 37–46. [Google Scholar] [CrossRef]
- Mei, R.B.; Li, C.S.; Cai, B.; Liu, X.H. Finite element analysis of the antiknock ability of the coal mine refuge chamber under explosion finite element. J. Northeast. Univ. 2013, 1, 85–94. (In Chinese) [Google Scholar]
- Xu, Y.; Cui, J.K.; Han, Y.; Li, R. Structure optimization of removable hardware mine refuge chamber. Saf. Coal Mines 2012, 43, 81–83. (In Chinese) [Google Scholar]
- Ma, L.D.; Pan, H.Y.; Wang, Y.; Meng, Z.J. Numerical simulation of explosion shock resistance of the underground refuge chamber. J. Vib. Shock. 2012, 20, 172–176. (In Chinese) [Google Scholar]
- Zeng, Y.Y.; Bai, C.H.; Li, J.P.; Chen, J.; Wang, Z.Q. Numerical simulation of anti-impact of the refuge chamber in the tunnel. J. China Coal Soc. 2010, 37, 1705–1708. (In Chinese) [Google Scholar]
- Zhao, H.J.; Huang, P.; Qian, X.M. Structure safety analysis and optimization of refuge chamber shell under explosion load. J. China Coal Soc. 2013, 38, 1095–1100. (In Chinese) [Google Scholar]
- Fan, X.T. Study on blast performance of refuge chamber. Min. Saf. Environ. Prot. 2010, 37, 25–30. [Google Scholar]
- Jia, Z.W.; Jing, G.X.; Cheng, L. Study on propagation regulation about shock wave of gas explosion at laneway area break. China Saf. Sci. J. 2007, 17, 92–94. [Google Scholar]
- LSTC. LS-DYNA Keyword User’s Manual Version 971; Livermore Software Technology Corporation: Livermore, CA, USA, 2007. [Google Scholar]
- Tabatabaei, Z.S.; Volz, J.S. A Comparison between Three Different Blast Methods in LS-DYNA: LBE, MM-ALE, Coupling of LBE and MM-ALE. In Proceedings of the 12th International LS-DYNA Users Conference, Dearborn, MI, USA, 3–5 June 2012.
- Lu, S.Z. Research on failure mechanism of large-scale steel oil storage tanks under combustible gas blast. Harbin Inst. Technol. 2014, 46, 23–30. (In Chinese) [Google Scholar]
- Liew, J.Y.R. Survivability of steel frame structures subject to blast and fire. J. Constr. Steel Res. 2008, 64, 854–866. [Google Scholar] [CrossRef]
- Cowper, G.R.; Symonds, P.S. Strain-Hardening and Strain-Rate Effects in the Impact Loading of Cantilever Beams; Brown University: Providence, RI, USA, 1957. [Google Scholar]











| Failure Mode | Specimen Number | Front Door Stiffeners | Front Door Thickness (mm) | Forehand Plate Thickness (mm) | Connecting Element |
|---|---|---|---|---|---|
| Failure mode I | A1 | Yes | 10 | 20 | No |
| A2 | 15 | ||||
| A3 | 20 | ||||
| B1 | No | 10 | 20 | No | |
| B2 | 15 | ||||
| B3 | 20 | ||||
| C1 | Yes | 20 | 10 | No | |
| C2 | 15 | ||||
| C3 | 20 | ||||
| D1 | No | 20 | 10 | No | |
| D2 | 15 | ||||
| D3 | 20 | ||||
| Failure mode II | E | Yes | 20 | 20 | Yes |
| Material | Density (kg/m3) | C0 (Pa) | C1 | C2 | C3 | C4 | C5 | C6 | E (J/m3) | V0 |
|---|---|---|---|---|---|---|---|---|---|---|
| Air | 1.29 | −1.0 × 105 | 0 | 0 | 0 | 0.4 | 0.4 | 0 | 2.5 × 105 | 1.0 |
| Methane/air mixture | 1.235 | 0 | 0 | 0 | 0 | 0.274 | 0.274 | 0 | 3.408 × 105 | 1.0 |
| Steel | Elastic Modulus (MPa) | Poisson’s Ratio μ | Density (Kg/m3) | σy (MPa) | γ (s−1) | m | Tangent Modulus Etan (MPa) | Failure Strain |
|---|---|---|---|---|---|---|---|---|
| Q235-B | 2.0 × 105 | 0.3 | 7850 | 235 | 40.4 | 0.5 | 2.0 × 103 | 0.2 |
| Q345-B | 2.0 × 105 | 0.3 | 7850 | 345 | 40.4 | 0.5 | 2.0 × 103 | 0.2 |
| Q460-B | 2.0 × 105 | 0.3 | 7850 | 460 | 40.4 | 0.5 | 2.0 × 103 | 0.2 |
© 2016 by the authors; licensee MDPI, Basel, Switzerland. This article is an open access article distributed under the terms and conditions of the Creative Commons Attribution (CC-BY) license (http://creativecommons.org/licenses/by/4.0/).
Share and Cite
Zhang, B.; Zhai, D.; Wang, W. Failure Mode Analysis and Dynamic Response of a Coal Mine Refuge Chamber with a Gas Explosion. Appl. Sci. 2016, 6, 145. https://doi.org/10.3390/app6050145
Zhang B, Zhai D, Wang W. Failure Mode Analysis and Dynamic Response of a Coal Mine Refuge Chamber with a Gas Explosion. Applied Sciences. 2016; 6(5):145. https://doi.org/10.3390/app6050145
Chicago/Turabian StyleZhang, Boyi, Dongxian Zhai, and Wei Wang. 2016. "Failure Mode Analysis and Dynamic Response of a Coal Mine Refuge Chamber with a Gas Explosion" Applied Sciences 6, no. 5: 145. https://doi.org/10.3390/app6050145
APA StyleZhang, B., Zhai, D., & Wang, W. (2016). Failure Mode Analysis and Dynamic Response of a Coal Mine Refuge Chamber with a Gas Explosion. Applied Sciences, 6(5), 145. https://doi.org/10.3390/app6050145
